Материал: ЛР №5 Excel. Основы работы

Внимание! Если размещение файла нарушает Ваши авторские права, то обязательно сообщите нам

Тогда значения Y будут расположены по вертикали.

Задайте новые (уникальные) имена диапазонам со значениями и поправьте формулу.

3.7.Оформите созданные таблицы (границы, заливка, шрифт и т.п.) по вашему усмотрению.

3.8.Сохраните файл.

Задание 4 Форматы отображения данных

4.1.Перейдите на лист «Задание 4».

4.2.Создайте на листе таблицу для расчѐта размера возвращаемой суммы краткосрочной ссуды (для трех вариантов исходных данных):

Перед занесением в таблицу исходных данных нужно задать ячейкам столбцов B, C и D нужные форматы данных. Формат данных ячейке можно задать при помощи вкладки «Число» панели «Главная» или при помощи вкладки «Число» окна «Формат ячеек». Для открытия этого окна выделите левой кнопкой мыши требуемые ячейки и щѐлкните на них правой кнопкой мыши. В появившемся контекстном меню выберите пункт «Формат ячеек».

Для ячеек строки 1 задайте формат «Общий» или «Текстовый». Для ячеек строки 2 задайте формат «Денежный», укажите обозначение «русский». Для ячеек строк 3 и 4 задайте формат «Дата». Для ячеек строки 5 задайте формат «Процентный».

После этого занесите в таблицу заданные исходные данные.

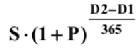
4.3.В ячейку A6 запишите текст «Сумма возврата». В ячейки B6 – D6 занесите формулу расчѐта возвращаемой суммы

,

где S - первоначальный размер ссуды, D1 - дата выдачи,

D2 - дата возврата ссуды, P - процентная ставка.

Формула должна начинаться с символа «=». Для обозначения арифметических операций используются знаки «+», «-», «*» и «/». Для обозначения возведения в степень используется символ «^». Для изменения очерѐдности вычислений выражений в формуле используются скобки.

Задайте ячейкам B6 – D6 нужный формат данных.

4.4.Оформите таблицу (границы, заливка, шрифт и т.п.) по вашему усмотрению.

4.5.Сохраните файл.

Задание 5 Использование функций в формулах

5.1.Перейдите на лист «Задание 5».

5.2.Создайте таблицу для вычисления гипотенузы прямоугольного треугольника, заданного длинами своих катетов.

Для этого в крайнем левом столбце и крайней верхней строке нужно записать длины катетов треугольника (прогрессия от 1 до 10 с шагом 1), как показано на рисунке:

В ячейку A2 напишите формулу вычисления гипотенузы. Для нахождения квадратного корня использовать функцию «КОРЕНЬ». Для вставки функции в ячейку на вкладке «Формулы» нужно нажать «Вставить функцию». В появившемся окне нужно выбрать из списка требующуюся функцию, после чего задать еѐ аргументы. Так же можно прописать название функции и поставить скобки вручную.

Скопируйте формулу вниз по столбцу автозаполнением, после чего выделите получившийся столбец и скопируйте его автозаполнением во все остальные столбцы. Для того чтобы при копировании формулы автозаполнением закрепить строки и/или столбцы, упомянутых в ней ячеек, в ссылках на них нужно указать символ «$» перед обозначением нужных строки и/или столбца.

Альтернативный вариант: задать имена диапазонам, содержащим исходные значения и в формуле использовать эти имена.

5.3.Оформите таблицу (границы, заливка, шрифт и т.п.) по вашему усмотрению.

5.4.Перейдите на лист «Задание 2».

2.6.Настройте для таблицы успеваемости автоматический расчѐт среднего балла в столбце H.

Для этого воспользуйтесь функцией СРЗНАЧ().

5.5.Сохраните файл.