Материал: ЛР №5 Excel. Основы работы

Внимание! Если размещение файла нарушает Ваши авторские права, то обязательно сообщите нам

Лабораторная работа «Основы работы в Excel»

Цель работы: научиться создавать таблицы и редактировать таблицы, производить простейшие выражения.

Порядок выполнения работы

Задание 1. Работа с окном программы Excel

1.1.Через главное меню запустите MS Excel.

1.2.Ознакомьтесь со структурой окна программы. Используя всплывающие подсказки и контекстные меню, ознакомьтесь с назначением новых элементов.

1.3.Рассмотрите рабочую область окна. Найдите обозначения столбцов и строк, ярлычки с названиями листов рабочей книги, полосы прокрутки.

1.4.Используя контекстное меню для ярлычка листа или с помощью двойного щелчка на ярлычке левой кнопкой мыши, переименуйте «Лист 1» в «Задание 2», «Лист 2» в «Задание 3», а «Лист 3» в «Задание 4». Для переключения между листами достаточно один раз щелкнуть левой кнопкой мыши по ярлычку или нажать <Ctrl> + <PageUp>, <Ctrl> + <PageDown>. Для изменения порядка листов можно воспользоваться контекстным меню или перетащить их ярлычки, зажав левую кнопку мыши.

1.5.Добавьте новый лист, нажав <Shift> + <F11> или соответствующую кнопку. Переименуйте новый лист в «Задание 5».

1.6.Для всех листов настройте формат шрифта: Times New Roman, размер 12. Для этого выделите все ячейки листа нажав кнопку в верхнем левом углу таблицы или <Ctrl> + <A>, после чего выберите требующиеся настройки шрифта на панели инструментов «Главная» во вкладке «Шрифт».

1.7.Сохраните файл.

Задание 2 Создание таблицы

2.1.Перейдите на лист «Задание 2».

2.2.Оформите шапку таблицы успеваемости по образцу:

Все настройки отображения данных в ячейках можно задать при помощи соответствующего окна. Для открытия этого окна выделите левой кнопкой мыши требуемые ячейки и щѐлкните на них правой кнопкой мыши. В появившемся контекстном меню выберите пункт «Формат ячеек».

Так же для установки отдельных настроек отображения данных можно воспользоваться вкладкой «Выравнивание» панели инструментов «Главная». Для выравнивания текста в ячейке по горизонтали или по вертикали нужно

нажать соответствующую кнопку или .Для объединения ячеек

можно нажать кнопку

«Объединить». Для изменения направления текста

в ячейке можно нажать кнопку

«Ориентация». Для отображения

длинного текста в ячейке в нескольких строках можно нажать кнопку «Перенос текста».

При наборе текста в ячейке для принудительного перехода на следующую строку нужно нажимать «Alt» + «Enter».

Изменить ширину столбцов и строк можно с помощью мыши или выбрав пункт «Ширина столбца» или «Высота строки» в контекстном меню нужного столбца или строки соответственно.

2.3.Заполните таблицу успеваемости данными по образцу (фамилии и оценки напишите произвольные):

Всего в таблице должно быть не менее 10 строк с фамилиями и оценками.

Для заполнения последовательными числами ячейки в столбце A поставьте число 1 в ячейку A3 и число 2 в ячейку A4. Затем выделите эти ячейки и растяните выделенную область вниз (нужно установить курсор на маркер автозаполнения (правый нижний угол) ячейки и перетащить курсор вниз).

2.4.При помощи кнопок , и во вкладке «Шрифт» панели «Главная» оформите созданную таблицу, как показано на рисунке ниже:

2.5.Сохраните файл.

Задание 3 Имена ячеек и диапазонов при вычислениях

3.1.Перейдите на лист «Задание 3».

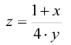
3.2.Настройте вычисление значения для различных значений х и у, задаваемых пользователями.

Для этого в ячейки A1, A2, A3 занесите обозначения переменных «X», «Y», «Z». Значения переменных X, Y будут храниться в ячейках

садресами B1 и B2.

Вячейку B3 занесите формулу =(1+B1)/(4*B2) для вычисления значения Z. Если формула длинная, занести еѐ в ячейку будет

удобнее с помощью строки формул . Ввод адресов ячеек со значениями X и Y можно выполнить, просто указав их левой кнопкой мыши.

Если числовое значение в ячейку не занесено, считается, что оно равно нулю. Для проверки правильности вычислений задайте значения:

а) X=1, Y=2. Чему равно значение Z?

б) X=10,5, Y=-3,7. Чему равно значение Z?

Примечание: в нелокализованной версии Excel для обозначения дробной части числа вместо «,» используется «.».

3.3.Выделите и скопируйте получившуюся таблицу на свободное место в этот же лист.

3.4.Для новой таблицы задайте имена «X», «Y» и «Z» ячейкам со значениями X, Y и Z. Для задания имѐн ячейкам или диапазонам нужно щѐлкнуть на них правой кнопкой мыши и в появившемся контекстном меню выбрать пункт «Имя диапазона».

Вновой таблице поправьте формулу для вычисления значения Z, чтобы вместо адресов ячеек теперь фигурировали их имена. Указание имѐн ячеек «X» и «Y» можно также выполнить с использованием мыши.

Для проверки правильности вычислений снова задайте вышеуказанные значения.

3.5.На этом же листе на свободном месте создайте ещѐ таблицу для вычисления значений Z для пар значений X и Y, заданных таблицей:

Диапазонам, содержащим значения X и Y, присвойте имена DX и DY.

Водну из ячеек строки со значениями Z скопируйте формулу из предыдущей таблицы, заменив «X» на «DX» и «Y» на «DY». Скопируйте эту формулу на соседние ячейки строки со значениями Z, используя автозаполнение.

3.6.На этом же листе месте создайте ещѐ таблицу для вычисления для всех возможных пар значений Х и Y, изменяющихся следующим

образом: X изменяется от –4 до 6 с шагом 2, Y изменяется от 1 до 16 с шагом 3.

Задание выполняется по аналогии с предыдущими. Значения X расположите по горизонтали, а значения Y - по вертикали.

Значения X и Y можно скопировать с предыдущей таблицы. При вставке значений Y выберите специальную вставку «Транспонирование».