Материал: Лекция 4

Внимание! Если размещение файла нарушает Ваши авторские права, то обязательно сообщите нам

Установочная лекция 4 (2 ч.) комплексный метод анализа электрических цепей

Дидактические единицы:

4.1. Комплексный метод расчета цепей синусоидального тока.

4.2. Резонансные явления в цепях синусоидального тока.

4.3. Понятие «индуктивно связанные цепи».

4.4. Понятие «четырехполюсники».

4.1А. Комплексный метод расчета цепей синусоидального тока

Ком­плексный (называемый также символический) метода расчёта, применяют обычно для расчёта сложных элек­­три­че­ских цепей синусоидального тока в установившихся режимах.

Порядок расчёта выходной синусоидальной функ­ции f1(t) линейной элек­трической цепи с п ветвями комплексным методом пред­ставлен в табл. 4.1.

Таблица 4.1

Пользуясь комплексным методом, определить выходную синусоидальную функ­цию f1(t) линейной цепи с n ветвями

Область синусоидальных функций

времени t

Область функций комплексного переменного j

Записывают посредством зако­нов Кирх­го­фа для независимых узлов и контуров цепи систему из n ал­ге­бра­и­че­ских и интег­­раль­но-диф­фе­рен­ци­аль­ных урав­­нений, в ко­то­рую вхо­­дит иско­мая фун­к­­ция f1(t)

Получают систему из n ком­­­­­плек­с­ных алгебраичес­ких урав­­не­ний, за­писанных по законам Кирх­­го­фа для не­за­ви­симых уз­лов и контуров цепи

Получают искомую синусоидальную фун­к­­цию f1(t)

Решают систему алгебра­и­­­че­­ских ура­внений относи­тельно ком­­­пле­кса функции F1(j)

Широкое применение комплексного метода расчёта цепей синусо­и­даль­ного тока в установив­ших­ся режимах объясняется следующими сооб­раже­ниями:

метод предельно формализован, что упрощает расчёт элек­три­че­ских цепей синусоидального тока сложной конфигурации;

рассмотренные в лекции 2 методы расчёта цепей постоянного то­ка (ЗК, МУН, МКТ, МЭГ и др.) применимы к расчёту цепей синусоидального тока комплексным методом. По вне­ш­­ним признакам они очень схожи: сох­ра­няются все правила составления систем уравнений, однако при их записи посредством комплексных чисел используют комплексные соп­ротивления Zk ветвей цепи (вместо сопротивлений Rk), а вместо синусоидальных электрических величин (ЭДС e, напряжения u, тока i) их комплексы: E, U, I;

посредством комплексного метода рассчитывают частотные зави­си­мости (ха­рак­теристики) электрических величин.

Пассивный элемент электрической цепи характеризуется своим ком­­плексным сопротивлением = компле­к­сным числом, рав­ным отношению комплекса напряжения на зажимах данного элемента к комплексу тока этого элемента при t = 0, т.е.

.

Зная компонентные уравнения uC = пассивных элемен­тов R, L и С элек­­три­че­ской цепи, и операции дифференцирования и интег­ри­рования комплек­с­ного тока I(j) = I путём несложных преобразований получают комплексы сопро­тивлений и компонентные уравнения пассивных элементов в комплексной форме (табл. 4.2).

Таблица 4.2

Эле-

мент

Комплексные ток и

напряжение элемента

Комплексное сопротивление и компонентное уравнение элемента


R


ZR =

UR = RIR

L

ZL =

UL = jLIL = jXLIL

C

IС(j) = IС e ,

UС (j) =

ZС =

UС = jXСIС.

4.1Б. Комплексная схема замещения электрической цепи

Компонентные уравнения пассивных элементов в комплексной фор­ме дают возможность изобразить комплексную схему заме­ще­ния электри­ческой цепи, составить и решить алгебраические уравнения относитель­но комплексов электрических величин, затем осуществить обратный переход от ком­пле­­к­сов к синусоидальным функциям.

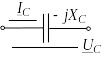
Найдём комплекс сопротивления и ток последовательной RLC-це­пи (рис. 4.1а), к зажимам которой приложено напряжение u = Um sin(t + u).

Воспользовавшись компонентными уравнениями элементов, вычертим комплексную схе­му замещения цепи (рис. 4.1б). За­пишем соответствия электрических величин для схем рис. 4.1а, б:

u(t) , где U = ,

uR(t) , где I = ,

uL(t) UL(j) = jLI = jXLI ,

uС(t) UС(j) = j I = jXСI ,

где jXL и jXС комплексы индуктивного и ёмкостного сопротивлений.

Согласно вто­рому закону Кирхгофа для схемы рис. 4.1а имеем

uR + uL + uC = Ri + L + = u = Umsin(t + u).

Подставив в уравнение вместо напряжения u, тока i, его производной d[(t)]/dt и инте­грала соответствующие комплексные выражения, получим

RI(j) + jXLI(j) jXCI(j) = U(j) ,

RI + jLI I = U .

Сократив левую и правую части на множитель и преобразовав, получим выражение тока в комплексной форме

,

в котором все ком­плексные величины (I, U и Z) не зависят от времени.

Итак, комплекс тока I последовательной RLC-цепи равен комплексу напря­жения U, делённому на комплексное число

Z = R + jXL jXC = R + jX = Zej,

носящее название комплекс сопротивления последовательной RLC-цепи, где:

Z = и =u i = arctg

модуль и аргумент комплекса сопротивления Z ; jX = jXL jXC комплекс реактивного сопротивления RLC-цепи.

Оригинал тока i(t) получим, осуществив обратный переход от комплекса то­ка I к его оригиналу, т.е.

I i(t) = sin(t + i) = Imsin(t + i).

Для наглядного отображения соотношений между электрическими величинами комплексной схемы заме­­щения (см. рис. 4.1б) построим диаграмму тока (при i = 0) и напряжений це­пи в комплексной плоскости Re-Im (рис. 4.2а) в соответствии с уравнением

R Ie + jLIe

(без оператора , т.е. при t = 0), в кото­рой вектор напряжения UR = RI сов­па­дает по фазе с век­тором тока I, вектор на­пря­жения UL = jXLI опе­ре­жа­ет его по фазе на угол /2, а вектор напряжения UC = jXCI отстает по фазе от вектора тока I на угол /2. Вектор UX = UL UC.

Вектор напряжения U опережает вектор тока I по фазе на угол .

Поделив комплексы напряжений (см. рис. 4.2а) на комплекс тока I, по­лу­чим тре­угольник сопротивлений RLC-цепи (рис. 4.2б).

Величину, обратную ком­плекс­ному сопротивлению Z, называют комплексной проводимостью Y последовательной RLC-цепи, т.е.

где g = и = bL bC активная и реак­тив­­ная проводимости цепи; bL = и bC = индуктивная и ёмкостная про­водимости RLC-цепи.