Материал: Лекция 2_Негативные факторы

Внимание! Если размещение файла нарушает Ваши авторские права, то обязательно сообщите нам

3. Критерии негативного воздействия в системе «Человек-среда обитания»

В качестве критериев оценки неблагоприятных процессов в окружающей среде (критериев негативного воздействия) предлагается использовать показатели, характеризующие состояние здоровья человека и состояние (качество) окружающей среды. Соответственно, целью процесса обеспечения безопасности является достижение максимально благоприятных показателей здоровья человека и высокого качества окружающей среды.

Здоровье человека – это функциональное состояние его организма, обеспечивающее продолжительность жизни, физическую и умственную работоспособность, самочувствие и функцию воспроизводства здорового потомства.

Общественное здоровье – такой интегральный показатель (характеристика динамической совокупности индивидуальных уровней здоровья членов общества, который отражает степень вероятности достижения максимального уровня здоровья, а также жизнеспособность и рост общества. Продолжительность жизни в различных странах зависит не только от успехов медицины, то и от уровня социально-экономического развития общества и состояния природной среды.

Существуют и другие важные медико-демографические показатели, такие как:

заболеваемость

детская смертность

медико-генетические нарушения

специфические и онкологические экологозависимые заболевания

Так как целью безопасности является не только защита здоровья населения, но и защита окружающей среды, необходимо определить показатель, которые бы количественно оценили состояние и качество последней.

Для непосредственной оценки состояния окружающей среды используются санитарно-гигиенические показатели, такие как:

снижение качества питьевой воды (вследствие изменения ее органолептических свойств и появления веществ, вредных для человека, животных, птиц, рыб, кормовых и промысловых организмов (в зависимости от вида водопользования, а также повышение температуры воды, изменяющей условия для нормальной жизнедеятельности водных организмов).

химическое загрязнение почв,

радиоактивное загрязнение почв,

коллективная эффективная доза облучения,

и собственно экологические показатели, такие как:

критические уровни (максимальные значения концентраций) загрязняющих веществ,

степень истощения водных ресурсов,

степень деградации почв,

степень загрязнения почв,

состояние растительности,

состояние животного мира,

изменение биологического состава среды,

степень деградации наземных экосистем.

Для количественной оценки безопасности труда на предприятиях определяются следующие показатели:

а) показатель частоты производственного травматизма КЧ , который показывает число несчастных случаев, приходящихся на 1000 человек среднесписочного состава работающих на предприятии за отчетный период и определяется по форму

П­Ч = , (1.2.1)

где Т- количество несчастных случаев за отчетный период с потерей трудоспособности свыше трех рабочих дней;

С­Р - среднесписочный состав работающих за тот же отчетный период;

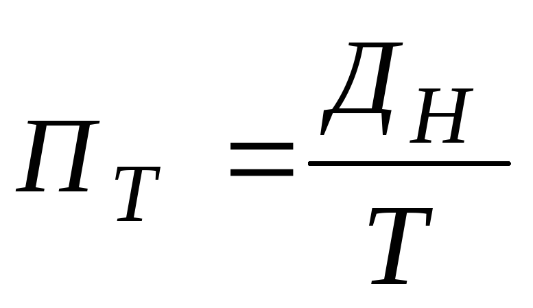
б) показатель тяжести травматизма ПТ , который показывает среднее количество дней нетрудоспособности, приходящееся на одну травму за расчетный период и рассчитывается по формуле:

, (1.2.2)

где Д­Н - общее количество рабочих дней нетрудоспособности из-за несчастных случаев за отчетный период;

в) показатель нетрудоспособности

(2.2)

Контрольные вопросы

  1. Объясните причины негативных воздействий в системе «Человек-среда обитания».

  2. Что такое опасный фактор, вредный фактор? Какой документ определяет эти понятия?

  3. Приведите классификацию опасных и вредных факторов.

  4. Какие факторы можно отнести к физическим? К химическим? К биологическим? К психофизиологическим?

  5. Назовите источники опасных и вредных факторов производственной среды.

  6. Назовите виды и источники опасных и вредных факторов бытовой среды.

  7. Что подразумевается под уровнем негативного фактора?

  8. Что такое поражающий фактор?

  9. Назовите поражающие факторы чрезвычайных ситуаций.

  10. Что такое «огневой шар»?

  11. Что такое «эффект домино»?

  12. Объясните аббревиатуру «АХОВ». Приведите примеры АХОВ.

  13. Поясните термины «здоровье человека», «общественное здоровье».

  14. Назовите медико-демографические показатели негативных воздействий в системе «Человек-среда обитания»

  15. Какие санитарно-гигиенические и экологические показатели используются для оценки состояния окружающей среды?

  16. Какими показателями оценивается безопасность труда на предприятиях?