Лекция 2
Предел функции
Предел функции
Зададим
некоторую функцию
и рассмотрим поведение этой функции
при изменении
,
в частности, при
и т.д.
Когда
и
число, то будем предполагать, что функция
определена в окрестности точки
,
за исключением, быть может, самой точки
.
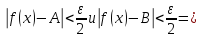
Определение
1.
Число
называется пределом функции
при
,
если
для
любого сколь угодно малого эпсилон
больше нуля найдется дельта, функция
от эпсилон , больше нуля, такое что из
условия,
следует условие для функции
или
запишем определение на языке


или, используя, определение окрестности точки, получим:
Геометрическая интерпретация :
Для
любой эпсилон окрестности предела
найдется дельта окрестность предельной
точки
,
такая что как только
попадает в дельта окрестность предельной
точки
,
так функция
попадает в эпсилон
окрестность предела
.
Аналогично
можно дать определение предела при
предположив, что функция
определена при достаточно больших
значениях аргумента
Определение
2.
Число
называется пределом функции
при
,
если


Геометрическая интерпретация :
Односторонние пределы функции
Введем
понятие одностороннего предела функции
,
предположив при этом , что функция
определена слева ( или справа) от точки
,
то есть в интервале
( или в интервале
)
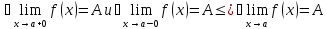
Определение
3.
Число
называется левосторонним пределом
функции
при
,
если


Определение
4.
Число
называется правосторонним пределом
функции
при
,
если


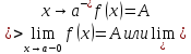
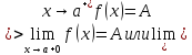
Пример1:Найти
левосторонний
и правосторонний
пределы функции


Данная
функция имеет левосторонний
при
и правосторонний
при
пределы,
но не имеет предела при




Теорема
: Если
функция
имеет в точке
оба односторонних предела( справа и
слева) и эти пределы равны числу
, то функция
в точке
имеет предел, равный
.
Отметим, что справедливо и обратное утверждение:
Из
существования у функции
предела в точке
,
равного числу
, следует существование в этой точке
обоих односторонних пределов , также
равных числу
.

Свойства функции, имеющих предел
Теорема 1( об ограниченности функции, имеющей предел): Если

то
функция
ограничена в окрестности точки
.
Доказательство:



Обозначим
через
, тогда

то
есть функция
ограничена в окрестности точки
.
Теорема 2( о сохранении знака предела): Если

то
в некоторой окрестности предельной
точки
функция
сохраняет знак предела, т.е. знак числа

Доказательство:



Возьмём
, тогда
имеют знак совпадающий со знаком числа

Для этого


функция
одного знака с числом
в
некоторой окрестности предельной точки
.
Теорема
3(
о единстве предела): Если
у функции


то этот предел единственный.
Доказательство(
методом от противного):
Предположим, что у функции
существует два предела
при
различных
между собой, т.е.

В силу определения пределов это означает, что


Обозначим
через
тогда при
будут выполняться оба неравенства:



где
любое число, например возьмем

получили противоречие, значит наше предположение было не верно, а

Теорема
4(
о пределе промежуточной функции): Если
в окрестности точки

определены
три функции
, причем выполняется соотношение
и

Доказательство:
из
существования пределов у функций


Обозначим
через
тогда при
будут выполняться оба неравенства:




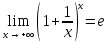
Замечательные пределы
Первый замечательный предел:

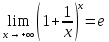
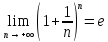
Второй замечательный предел:

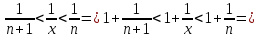
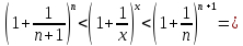
Доказательство: нам известно

Пусть

,
где целое положительное число

Найдем пределы последовательностей, стоящих по краям неравенства.


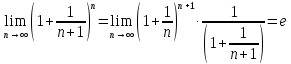
Тогда по теореме о пределе промежуточной функции

Пусть
теперь
,
введем переменную

