Материал: Лабораторная работа №3

Внимание! Если размещение файла нарушает Ваши авторские права, то обязательно сообщите нам

ФЕДЕРАЛЬНОЕ ГОСУДАРСТВЕННОЕ БЮДЖЕТНОЕ ОБРАЗОВАТЕЛЬНОЕ УЧРЕЖДЕНИЕ ВЫСШЕГО ОБРАЗОВАНИЯ "САНКТ-ПЕТЕРБУРГСКИЙ ГОСУДАРСТВЕННЫЙ УНИВЕРСИТЕТ ТЕЛЕКОММУНИКАЦИЙ ИМ. ПРОФ. М. А. БОНЧ-БРУЕВИЧА"

Факультет инфокоммуникационных сетей и систем Кафедра сетей связи и передачи данных

ЛАБОРАТОРНАЯ РАБОТА №3

«Принятие решения по оптимизации размещения узла доступа на сети связи района» по дисциплине

«Оптимизация и математические методы принятия решений» Вариант 10

Выполнил:

студент 2-го курса дневного отделения группы ИКПИ-81 Коваленко Л. А.

Преподаватель:

Владимиров С. А.

Санкт-Петербург

2020

Цель работы

Изучить варианты постановки задач размещения объектов связи, освоить применение критериев оптимальности, решить задачу размещения узла радиодоступа с точки зрения оптимизации расстояний до самых удаленных населенных пунктов, решить задачу размещения узла проводного (кабельного) доступа с точки зрения оптимизации строительства линейных сооружений.

Постановка задачи

Необходимо разместить узел доступа (объект связи) таким образом, чтобы расстояние до абонентов сети было оптимально с учетом двух задач: для радиосети и

для проводной или кабельной сети.

1. Радиосети= (. ) = ≠ = .

Требуется: минимальное расстояние до наиболее удаленных объектов обслуживания (минимаксная задача).

Критерий оптимальности: минимизация расстояния от узла радиодоступа до наихудшего варианта графа (самого удаленного населенного пункта).

Задача сводится к нахождению центра графа.

Аналогичные задачи: размещение скорой медицинской помощи, пожарной

охраны, полицейских участков, аварийных служб.

2. Проводные= = и кабельные= сетидоступа≠= . .

Требуются: минимальные суммы расстояний от места размещения узла доступа до абонентов (минисуммная задача).

Критерий оптимальности: минимизация суммы всех расстояний с учетом количества абонентов в каждом населенном пункте.

Задача сводится к нахождению медианы графа.

Аналогичные задачи:размещениеподстанций вэлектросетях безснабженияи складов или отделов сортировки почтовой связи в сети дорог.

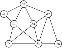
Граф:

Количество абонентов= ( 1, … ,в населенных8) = (90, 100,пунктах110, 70,(50,веса60,узлов80, 100)графа):

2

Расстояния между населенными пунктами (длины ребер графа).

 

 

 

 

 

 

 

 

 

 

 

 

 

 

 

 

 

 

 

 

 

 

 

 

 

 

 

 

 

 

 

 

 

 

 

 

 

 

 

 

0

 

 

7.07

 

9.04

 

 

 

 

 

 

 

 

 

 

 

 

 

 

 

 

 

 

 

 

 

 

 

 

 

7.07

 

0

 

10.28

 

5

 

 

7

 

 

9.86

 

 

 

 

 

 

 

 

 

 

 

 

 

 

9.04

 

10.28

 

0

 

10.25

 

 

 

 

 

 

 

 

 

8.94

 

 

 

 

 

 

 

 

 

 

 

 

 

5

 

10.25

 

0

 

 

9.93

 

6.97

 

7.07

 

 

 

 

 

 

 

 

 

 

 

 

 

7

 

 

 

 

 

 

9.93

 

0

 

 

9.83

 

 

 

 

 

 

 

 

 

 

 

 

 

 

 

 

 

 

9.86

 

 

 

 

 

6.97

 

9.83

 

0

 

 

11.85

 

5.6

 

 

 

 

 

 

 

 

 

 

 

 

 

8.94

 

7.07

 

 

 

 

 

11.85

 

0

 

11.86

 

 

 

 

 

 

 

 

 

 

 

 

 

 

 

 

 

 

 

 

 

 

 

 

 

5.6

 

 

11.86

 

0

 

 

 

 

 

 

 

 

 

 

 

 

 

 

 

 

 

 

 

 

 

 

 

 

 

 

 

 

 

 

 

 

 

 

 

 

 

 

 

 

 

 

 

 

 

 

 

 

 

 

 

 

 

 

Ход работы

 

 

 

 

 

 

 

 

 

 

 

 

 

 

 

 

1. Нахождение кратчайших расстояний между вершинами графа.

 

 

 

 

 

 

 

 

 

 

 

 

 

 

 

 

 

 

 

 

 

 

 

 

 

 

 

 

 

 

 

 

 

 

 

 

 

 

 

 

 

 

 

 

0

 

 

7.07

 

9.04

 

 

12.07

 

14.07

 

16.93

 

17.98

 

 

22.53

 

22.53

 

 

7.07

 

 

0

 

10.28

 

5

 

 

7

 

 

 

9.86

 

12.07

 

 

15.46

 

 

15.46

 

 

 

9.04

 

10.28

 

0

 

 

10.25

 

17.28

 

17.22

 

 

8.94

 

 

20.8

 

 

 

 

 

 

 

 

 

 

 

 

 

 

 

 

 

20.8

 

 

 

12.07

 

 

5

 

10.25

 

0

 

 

9.93

 

 

 

6.97

 

 

7.07

 

 

12.57

 

12.57

 

 

 

14.07

 

 

7

 

17.28

 

9.93

 

 

0

 

 

 

9.83

 

 

17

 

 

15.43

 

17.28

 

 

 

16.93

 

 

9.86

 

17.22

 

6.97

 

 

9.83

 

 

 

0

 

11.85

 

 

5.6

 

17.22

 

 

 

17.98

 

12.07

 

8.94

 

 

7.07

 

 

17

 

 

11.85

 

 

0

 

 

11.86

 

17.98

 

 

 

22.53

 

15.46

 

20.8

 

 

12.57

 

15.43

 

 

5.6

 

11.86

 

 

0

 

22.53

 

 

 

 

 

 

 

 

 

 

 

 

 

 

 

 

 

 

 

 

 

 

 

 

 

 

 

 

 

 

 

 

 

 

 

 

 

2. Решение первой задачи (минимаксная задача).

Используя полученную матрицу кратчайших расстояний, определяем максимумы в каждой строке и минимум по столбцу. Находим оптимальную вершину — центр2 графа — населенный пункт для размещения узла радиодоступа , который соответствует критерию оптимальности минимаксной задачи.

1

 

= 0 90 + 7.07 100 + 9.04 110 + 12.07 70 + 14.07 50 + 16.93 60

3. Решение второй задачи (минисуммная задача).

2

 

+ 17.98 80 + 22.53 100 = 7957

 

= 7.07 90 + 0 100 + 10.28 110 + 5 70 + 7 50 + 9.86 60 + 12.07

 

 

80 + 15.46 100 = 5570.3

3 = 9.04 90 + 10.28 100 + 0 110 + 10.25 70 + 17.28 50 + 17.22 60

 

 

+ 8.94 80 + 20.8 100 = 7251.5

 

= . + + . + + . + .

5

 

+ . + . = .

= 14.07 90 + 7 100 + 17.28 110 + 9.93 70 + 0 50 + 9.83 60 + 17

6

80 + 15.43 100 = 8055

= 16.93 90 + 9.86 100 + 17.22 110 + 6.97 70 + 9.83 50 + 0 60

 

 

+ 11.85 80 + 5.6 100 = 6891.3

 

 

3

7 = 17.98 90 + 12.07 100 + 8.94 110 + 7.07 70 + 17 50 + 11.85 60 + 0 80 + 11.86 100 = 7050.5

8 = 22.53 90 + 15.46 100 + 20.8 110 + 12.57 70 + 15.43 50 + 5.660 + 11.86 80 + 0 100 = 8797.9

4. Ответ: узел радиодоступа необходимо разместить во второй вершине графа; проводной или кабельный узел доступа необходимо разместить в четвертой вершине графа.

Ответы на вопросы:

1.Кзадачамразмещенияобъектовотносятся:размещениескороймедицинской помощи, пожарной охраны, полицейских участков, аварийных служб, подстанций в электросетях без снабжения и складов или отделов сортировки почтовой связи в сети дорог.

2.Формулировка задачи размещения в общем виде: необходимо разместить узел доступа (объект связи) таким образом, чтобы расстояние до других узлов связи было оптимально.

3.Критерии оптимальности:

Минимизация расстояния от узла радиодоступа до наихудшего варианта графа (самого удаленного населенного пункта).

Минимизация суммы всех расстояний с учетом количества абонентов в каждом населенном пункте.

4