Лабораторна робота № 3
Тема: «Символьні обчислення в MATLAB».
Мета роботи: знайомство з основними положеннями пакету символьних обчислень
Symbolic Matli Toolbox; робота з символьними змінними, матрицями,
математичними виразами; освоєння символьних аналітичних обчислень - спрощення
виразів. вирішення рівнянь алгебри, вирішення системи лінійних рівнянь,
обчислення суми ряду; освоєння символьної інтеграції і символьного
диференціювання; отримання практичних навиків роботи в діалоговому режимі.
Хід роботи
Завдання № 1
Вирішити рівняння алгебри, використовуючи команду solve:
![]()

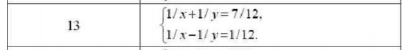
Завдання № 2
Вирішити систему рівнянь алгебри, використовуючи команду solve. Вибратирівняння згідно своєму варіанту з табл.


Завдання № 3
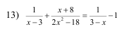
Спростити вирази, використовуючи команду simplify:
![]()

Завдання № 4
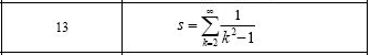
Обчислити суму ряду, використовуючи команду symsum. Вибрати рівняння згідно своєму варіанту з табл.


Завдання № 5
Обчислити похідну функції по х, використовуючи команду diff. Вибрати
функцію згідно своєму варіанту з табл.
![]()

Завдання 6
Використовуючи функцію int підготувати і організувати обчислення певного
інтеграла: Підінтегральна функція f(х) визначена і безперервна на інтервалі а <= х <= b. Вид підінтегральної функції f(х), а також інтервал інтеграції [а b] визначається номером варіанту з табл.
![]()

Конрольні запитання.
Перерахуєте пакети розширення MATLAB.
Partial Differential Equation Toolbox (пакет для вирішення диференціальних рівнянь
в приватних похідних, залежних від двох змінних):
- Statistic Toolbox (вирішення завдань статистики):
- Femlab Toolbox (вирішення тривимірних рівнянь математичної фізики):
- Image Processing Toolbox (вирішення завдань обробки зображень);
- Fuzzy Logic Toolbox (вирішення завдань методами нечіткої логіки):
- Wavelet Toolbox (вирішення завдань обробки сигналів і зображень методом
вэйвлет-претворень);
- Simulink (пакет для моделювання динамічних систем) та ін.;
- Symbolic Math Toolbox призначений для виконання символьних обчислень;
- Пакет Symbolic Math Toolbox розроблений фірмою Waterloo Maple Software.
Як отримати довідку по командах пакету.
- Для отримання довідки по командах пакету Symbolic Math Toolbox (рис.1) слід
відкрити відповідний розділ Help, або отримати допомогу по команді:
Яка функція використовується для створення символьних змінних і служить для звернення до стандартних функцій?
Для створення символьних змінних використовується функція sym, у якої наступний
синтаксис:
ім'я змінної = sym(' ім'я змінної’)
Яка команда використовується для вирішення рівнянь алгебри?
Для вирішення системи рівнянь алгебри використовується команда solve
Яка команда використовується для спрощення виразів алгебри?
Для спрощення виразів використовується команда simplify.
Яка команда використовується для обчислення сум рядів?
Для вирішення рівнянь алгебри використовується команда symsum.
Що необхідно зробити для обчислення похідної функції?
Для обчислення похідної функції f ( х ) необхідно:
- задати вираз, що описує функцію;
- звернутися до функції diff.
Перерахуєте функції, службовці для обчислення інтегралів в символьному
вигляді.
Дня обчислення інтегралів в символьному вигляді використовується функція int.