Лабораторна робота №8
Тема: Циклічні структури: while, do while.
Мета: ознайомитися з циклічними операторами, що дозволяють виконати відповідну послідовність дій кількаразово. Отримати практичні навички викоритсання циклічних конструкцій мови РНР та створити відповідні скрипти.
Теоретичний розділ
У програмуванні часто необхідно повторити той самий блок коду кілька разів. Це можна реалізувати за допомогою операторів циклу. Мова PHP містить кілька типів операторів циклу. Даний розділ розглядає цикл while.
Оператор while циклічно повторює блок коду, поки зазначена умова має значення true. Інакше кажучи, оператор while буде виконувати блок коду, якщо і поки умова буде істинною.
Базовий синтаксис циклу while показаний нижче.
while (умова) {
виконуваний код;
}
Код у циклі while буде повторно виконуватися, поки умова на початку циклу має значення true. Блок коду, пов'язаний з оператором while, завжди укладається у фігурні дужки.
Наступний приклад демонструє цикл while, що буде виконуватися, поки значення змінної $number буде більше або рівне 2.
<?php
$number = 5;
while ($number >= 2) {
echo $number . "<br/>";
$number -= 1;
}
?>
У наведеному вище прикладі змінна $number одержує початкове значення, рівне 5. Цикл while виконується, поки умова ( $number >=2 ), або значення $number більше або дорівнює 2, і друкує у вікні браузера значення $number. Наприкінці блоку циклу значення $number зменшується на 1.
Нижче показаний вивід, створюваний прикладом циклу.
5
4
3
2
При першому виконанні значення $number дорівнює 5. Тому що 5 більше 2, використовується оператор echo для виводу значення 5. При виводі приєднується <br/>, щоб здійснити повернення каретки після кожного виконанні циклу. Потім значення $number зменшується на 1. Під час другої ітерації значення $number дорівнює 4. Тому що 4 більше 2, то оператор echo виводить значення 4. Цей процес триває, поки значення $number дорівнює 3 й 2. Коли $number дорівнює 2, оператор echo виводить значення 2, а значення $number потім зменшується на 1. Тому що 1 не більше й не дорівнює 2, то умова більше не виконується, і цикл while закінчується.
Оператор do...while повторює циклічно блок коду, поки певна умова приймає значення true. Інакше кажучи, оператор do...while буде виконувати блок коду, якщо і поки умова буде виконуватися (тобто оцінюватися як true ).
Цикл do...while аналогічний по своїй природі циклу while, розглянутому в попередньому розділі. Ключове розходження полягає в тому, що тіло циклу do...while буде обов'язково виконане як мінімум один раз. Це пов'язане з тим, що оператор умови оцінюється наприкінці оператора циклу після виконання тіла циклу.
Базовий синтаксис циклу do...while показаний нижче.
do {
виконуваний код;
}
while (умова);
Виконання коду усередині циклу do...while буде повторюватися, поки умова наприкінці циклу буде оцінюватися як true. Блок коду, пов'язаний з оператором do...while, завжди розміщається усередині фігурних дужок.
Наступний приклад демонструє цикл do...while, що продовжує виконуватися, поки змінна $number буде більше або дорівнює 2.
$number = 5;
do {
echo $number . "<br/>";
$number -= 1;
}
while ($number >= 2);
У наведеному вище прикладі змінна $number ініціалізується значенням 5. Цикл do...while виконується доти, поки справедлива умова ( $number >=2 ) або $number більше або дорівнює 2, виводячи значення $number у вікні браузера. Наприкінці блоку циклу значення $number зменшується на 1.
Нижче показаний вивід, створюваний прикладом циклу:
5
4
3
2
Під час першого виконання значення $number дорівнює 5. Оскільки умова для виконання циклу не перевіряється, поки цикл не буде виконаний один раз, то виводиться значення $number, рівне 5. Потім значення $number зменшується на 1, стаючи рівним 4. Тому що 4 більше 2, знову виконується цикл, і під час другої ітерації використовується оператор echo для виводу значення 4. У вивід додається <br/>, щоб створити повернення каретки при кожнім виконанні циклу. Цей процес триває, поки значення $number дорівнює 3 й 2. Коли $number стає рівним 2, оператор echo виводить значення 2, і значення $number зменшується потім до 1. Тому що 1 не більше й не дорівнює 2, то умова більше не виконується, і цикл do...while закінчується.
Практичний розділ
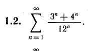
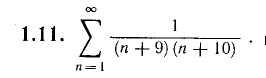
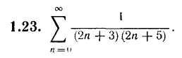
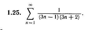
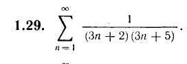
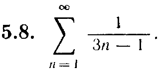
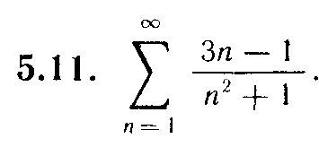
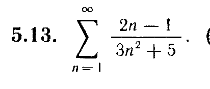
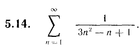
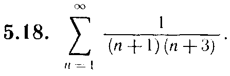
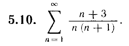
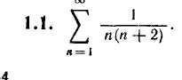
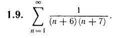
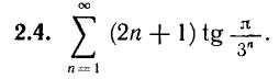
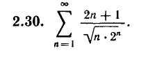
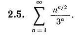
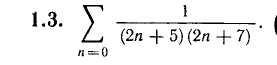
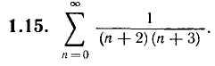
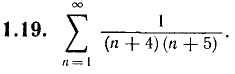
Згідно номера за списком виконати завдання до роботи. В таблиці наведені формули, що використовуються для розрахунку в залежності від значення, введеного користувачем з вікна форми.
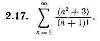
Завдання 1. цикл з передперевіркою умови.
![]()

![]()

![]()

![]()
![]()
![]()
![]()

![]()


![]()
![]()
![]()
![]()
![]()


![]()

![]()


![]()
![]()

![]()
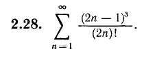
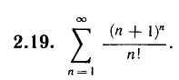
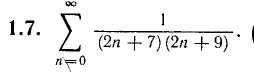
Завдання 2. цикл з передперевіркою умови.



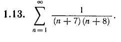
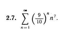
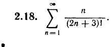
Завдання 3. цикл з післяперевіркою умови.
|
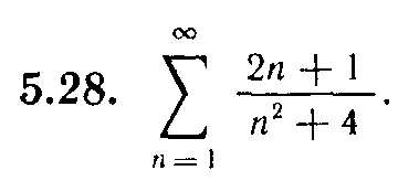
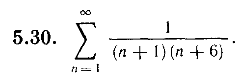
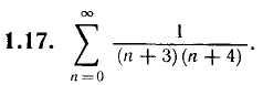
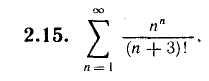
1 |
|
13 |
|
|
2 |
|
14 |
|
|
3 |
|
15 |
|
|
4 |
|
16 |
|
|
5 |
|
17 |
|
|
6 |
|
18 |
|
|
7 |
|
19 |
|
|
8 |
|
20 |
|
|
9 |
|
21 |
|
|
10 |
|
22 |
|
|
11 |
|
23 |
|
|
12 |
|
24 |
|
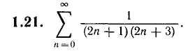
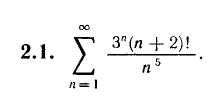
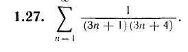
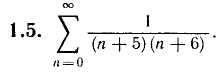
Завдання 4. цикл з післяперевіркою умови.



![]()





![]()

![]()


















Контрольні питання
Що таке цикл з точки зору мови РНР?
Які цикли ви можете назвати?
Що спільного в механізмах їх роботи?
Які відмінності можна виділити?
Опишіть механізми роботи і формальний синтаксис циклу while.
Опишіть механізми роботи і формальний синтаксис циклу do...while.
Опишіть механізми роботи і формальний синтаксис циклу for.
Які циклічні оператори з розглянутих властив виключно мові РНР? В чому особливість їх роботи?