Тема: Реалізація алгоритмів, що розгалужуються.
Мета: вивчити операції порівняння, логічні операції, оператори передачі управління if, switch, break, навчитися користуватися простими компонентами організації перемикань (СheckBox, RadioGroup). Написати і відлагодити програму з розгалуженнями.
Для вибору однієї з гілок обчислень застосовується оператор умовного переходу :
if (вираз) оператор 1;
else оператор 2;
обчислюється вираз, і якщо його значення не дорівнює 0 (істинно), то виконується оператор 1, інакше - оператор 2,
наприклад:
if(x>y) max = x;
else max = y;
Якщо оператори 1, 2 містять більше одного оператора, то вони полягають у фігурні дужки { }, тобто застосовується блок.
Конструкція else може бути відсутня і таку форму називають скороченою, тоді у разі помилковості умови управління передається на оператор, що йде за if.
Якщо оператори 1, 2 у свою чергу є операторами if, то такий оператор називають вкладеним, при цьому ключове слово else належить найближчому передуванню if.
Наприклад, знайти найбільше значення з трьох чисел x, y, z:
if (x>y)
if (x>z) max=x;
else max=z;
else if(y>z) max=y;
else max=z;
Операції порівняння : < (менше) <= (менше або рівно) > (більше) >= (більше або рівно) != (не рівно) = = (рівно). Пари символів розділяти не можна.
Операції порівняння бінарні, їх загальний вигляд:
Операнд 1 знак операції Операнд 2
Операндами операцій порівняння можуть бути дані будь-яких базових типів, значення яких перед порівнянням перетворяться до одного типу.
Логічні операції використовуються в якості умов при складанні складніших виразів. Приведемо їх перелік в порядку спадання пріоритету :
! (заперечення або логічне НЕ - унарна операція) && (кон'юнкція або логічне І) || (диз'юнкція або логічне АБО).
Наприклад:(x<=100)
((!x((z==1)&&(k>0))
Вирази обчислюються зліва направо, причому їх обчислення припиняється, як тільки результат стає відомий.
Тернарная (умовна) операція ?:
Її загальна форма:
Операнд 1 ? Операнд 2: Операнд 3
Якщо значення операнда 1 істинно (не рівне 0), то результатом операції є операнд 2, інакше - операнд 3.
Наприклад, знайти найбільше з двох чисел: max = a>b ? a: b;
Загальна форма оператора вибору (перемикача) :
switch(вираз){
case const_1: оператори; break;
…
case const_N: оператори; break;
default: оператори;
}
Обчислюється вираз і перевіряється, чи співпадає його результат зі значенням однієї з констант. При збігу виконуються оператори цього блоку case. Значеннями const_1,., const_N можуть бути тільки цілі або символьні константи. Конструкція default виконується, якщо результат виразу не співпав ні з однією з констант, і може бути відсутнім. Оператор break виконує достроковий вихід з switch (після виконання гілки case усі інші будуть опущені). Якщо оператор break в case не записаний, то виконуватимуться оператори наступних гілок case до появи оператора break, або до завершення оператора switch.
Наприклад:
switсh(i){
case 1: f=pow(x, 2); break;
case 2: f=fabs(x); break;
case 3: f=sqrt(x); break;
default: printf("Помилка"!); exit(1);
}
f=f+5;
При створенні віконного застосування для організації розгалужень використовуються компоненти у вигляді кнопок-перемикачів. Стан такої кнопки (включено/вимкнено) візуально відбивається на формі. На формі (мал. 3.1) представлені кнопки-перемикачі двох типів TCheckBox і TRadioGroup.
Компонент CheckBox створює кнопку незалежного перемикача, за допомогою якої Користувач може вказати своє рішення типу так або ні. У програмі стан кнопки пов'язаний зі значенням булевої змінної, яка перевіряється за допомогою оператора if.
Компонент Radiogroup створює групу кнопок - залежних перемикачів. При натисненні однієї з кнопок групи усі інші кнопки відключаються. У програму передається номер включеної кнопки (0,1,2,.), який аналізується за допомогою оператора switсh.
У мові C++ використовуються змінні типу bool, які можуть набувати тільки два значення - true і false (істина - 1, брехня - 0).
Ввести початкові дані x, y, z. Вичислити значення u залежно від вибору: sin(x), cos(x) або tg(x), після чого визначити максимальне або зі значень u, y, z, або з їх модулів - |u|, |y|, |z|.
Реалізація прикладу віконного застосування
Cоздать форму, представлену на мал. 3.1, скоректувати текст написів, положення вікон Edit і написати відповідну програму.
У меню Standard
виберіть піктограму
,
помістите її в потрібне місце форми,
зміните заголовок Caption
на «max модулів», після чого в тексті
програми з'явиться змінна CheckBox1
типу TСheckBox.
Залежно від того, зроблений вибір або
ні, булева змінна CheckBox1
->Checked
набуватиме значення true
або false.
У меню Standard
виберіть піктограму
,
помістіть її в потрібне місце форми. На
формі з'явиться облямований лінією
чистий прямокутник із заголовком
RadioGroup1.
Замініть заголовок (Caption)
на «Вибір функції».
У інспекторові об'єктів у властивості Items викличте рядковий редактор списку заголовків кнопок і наберіть три рядки з іменами вибираних функцій (cos(x), sin(x), tg(x)), натисніть ОК. Після цього усередині компонента з'являться три кнопки-перемикачі з введеними написами.
У тексті Unit1.h з'явилася змінна RadioGroup1 типу TRadioGroup. Тепер при натисненні однієї з кнопок групи в змінній цілого типу RadioGroup1 ->ItemIndex знаходитиметься номер вибраного рядка (відлічується від нуля).
У функції FormCreate() бажано встановити початкове значення цієї змінної, наприклад, RadioGroup1 ->ItemIndex = 0.
Підготувавши форму, створіть функції-обробники подій FormСreate і Botton1Сlick аналогічно першій роботі. Текст функцій приведений в прикладі.
Запустіть програму і переконайтеся в тому, що усі гілки алгоритму виконуються правильно. Форма приведена на мал. 3.1.

Мал. 3.1
Текст програми може бути наступним:
//---------------------------------------------------------------------------
#include <vcl.h>
#pragma hdrstop
#include "Unit 1.h"
#include "math.h"
//---------------------------------------------------------------------------
#pragma package(smart_init)
#pragma resource "*.dfm"
TForm1 *Form1;
//---------------------------------------------------------------------------
__fastcall TForm1::TForm1(TComponent* Owner)
: TForm(Owner)
{
}
//---------------------------------------------------------------------------
void __fastcall TForm1::FormCreate(TObject *Sender)
{
Edit1 ->Text="0, 1";
Edit2 ->Text="0, 356";
Edit3 ->Text="-3,5";
Memo1 ->Clear();
Memo1 ->Lines ->Add("Лабораторна робота 2");
RadioGroup1 ->ItemIndex = 0;
}
//---------------------------------------------------------------------------
void __fastcall TForm1::Button1Click(TObject *Sender)
{
double x, y, z, u, ma;
x=StrToFloat(Edit1 ->Text);
y=StrToFloat(Edit2 ->Text);
z=StrToFloat(Edit3 ->Text);
// Перевірка номера натиснутої кнопки і вибір відповідної функції
switch(RadioGroup1 ->ItemIndex){
case 0: u=cos(x);
Memo1 ->Lines ->Add("Cos(x)= "+FloatToStrF(u, ffFixed, 8,6));
break;
case 1: u=sin(x);
Memo1 ->Lines ->Add("Sin(x)= "+FloatToStrF(u, ffFixed, 8,6));
break;
case 2: u=tan(x);
Memo1 ->Lines ->Add("Tg(x)= "+FloatToStrF(u, ffFixed, 8,6));
break;
}
// Перевірка стану кнопки CheckBox1
if (CheckBox1 ->Checked){
u = fabs(u);
y = fabs(y);
z = fabs(z);
}
// Знаходження максимального з трьох чисел
if (u>y) ma=u;
else ma=y;
if (z>ma) ma=z;
if (CheckBox1 ->Checked)
Memo1 ->Lines ->Add("Max модулів= "+FloatToStrF(ma, ffFixed, 8,6));
else Memo1 ->Lines ->Add("Max= "+FloatToStrF(ma, ffFixed, 8,6));
}
Текст програми може мати вигляд
//---------------------------------------------------------------------------
#include <vcl.h>
#include <conio.h>
#include <stdio.h>
#include <math.h>
#pragma hdrstop
//---------------------------------------------------------------------------
#pragma argsused
int main(int argc, char* argv[])
{
double x, y, z, u, ma;
int kod;
puts("Input x, y, z");
scanf("%lf%lf%lf",&x, &y, &z);
puts("Function U(x) :\n 0 - cos(x)\n 1 - sin(x)\n 2 - tan(x)");
scanf("%d", &kod);
switch(kod){
case 0: u=cos(x); printf("\n\tCos(x)= %8.6lf", u); break;
case 1: u=sin(x); printf("\n\Sin(x)= %8.6lf", u); break;
case 2: u=tan(x); printf("\n\Tg(x)= %8.6lf", u); break;
}
puts("\nMax ABS - 1, Else - Max");
scanf("%d", &kod);
if (kod == 1){
u = fabs(u);
y = fabs(y);
z = fabs(z);
}
if (u>y) ma=u;
else ma=y;
if (z>ma) ma=z;
if (kod==1) printf("Max ABS = %8.6lf", ma);
else printf("Max = %8.6lf", ma);
puts("\nPress any key ... ");
getch();
return 0;
}
Результати виконання програми :

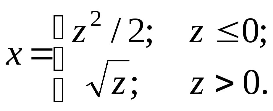
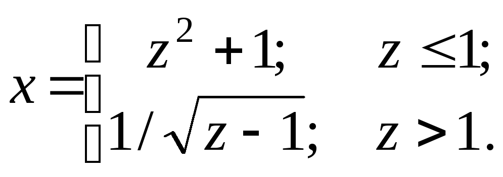
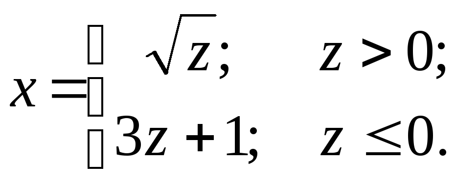
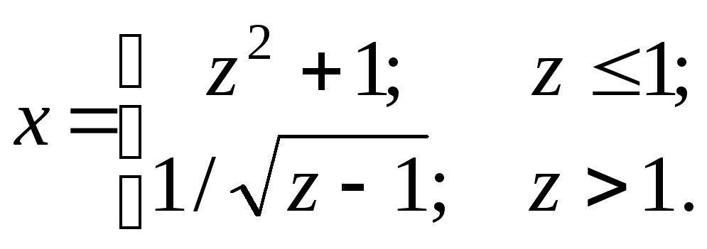
Обчислити значення y залежно від вибраної функції від (x), аргумент якої визначається з поставленої умови. Можливі значення функції від (x) : 2x, x2, х/3 (у віконному додатку вибір виконати за допомогою компоненти RadioGroup). Передбачити виведення повідомлень, що показують, за якої умови і з якою функцією проводилися обчислення у.
,
де
, де
,
де
![]()
,
де
![]()
, де
,
де
, де
![]()
, де
![]()
, де
![]()
,
де
, де

, де
![]()
, де
![]()
, де
![]()
, де
![]()
, де
![]()