Материал: Лаб4. Нуртазин

Внимание! Если размещение файла нарушает Ваши авторские права, то обязательно сообщите нам

МИНОБРНАУКИ РОССИИ

Санкт-Петербургский государственный

электротехнический университет

«ЛЭТИ» им. В.И. Ульянова (Ленина)

Кафедра САУ

отчет

по лабораторной работе № 4

по дисциплине «СУСЭЭСМТ»

Тема: «Математическое моделирование судового синхронного генератора и изучение его статических характеристик»

Вариант 12

Студент гр. 6408

Нуртазин И.

Преподаватель

Абдуллаева З. М.

Санкт-Петербург

2020

Лабораторная работа № 4

Математическое моделирование судового синхронного генератора и изучение его статических характеристик

Цель работы:

Расчет численных величин коэффициентов связи и постоянных времени полной системы уравнений судового синхронного генератора и разработка расчетной математической модели для построения статических характеристик судового синхронного генератора.

Задачи:

  1. Изучить полное математическое описание судового синхронного генератора;

  2. Рассчитать значения коэффициентов связи и постоянных времени полной системы уравнений судового синхронного генератора;

  3. Разработать расчетную систему уравнений для построения статических характеристик судового синхронного генератора;

  4. Построить внешнюю и регулировочную характеристики судового синхронного генератора.

Структурная схема математической модели (рисунок 1):

Рисунок 1 – Структурная схема изучаемой модели

СГ – синхронный генератор;

ОВ – обмотка возбуждения;

– напряжение и ток возбуждения;

– сопротивление нагрузки

– ЭДС фазных обмоток статора;

– ток статора СГ.

Ход работы:

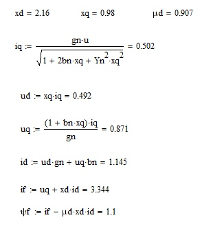
  1. Расчет численных величин коэффициентов связи и постоянных времени полной системы уравнений судового синхронного генератора. Исходные данные представлены ниже:

Расчет численных величин и постоянных времени осуществляется по формулам ниже:

Полученные результаты используются в системе уравнений синхронной машины

  1. Разработка системы расчетных уравнений для построения статических характеристик судового синхронного генератора МСК

Упрощенная система уравнений судового синхронного генератора для случая, когда пренебрегаем апериодическими составляющими в статоре, принимаем активное сопротивление статора равным нулю, а скорость вращения первичного двигателя считается неизменной и равной синхронной скорости машины.

Рассчитаем все составляющие напряжения, тока статора и тока возбуждения судового генератора при условии, что напряжение на зажимах генератора равно номинальной величине. Зададимся полной номинальной нагрузкой генератора (при cosφ=0.8)

Параметры машины МСК 92-4:

Проверка:

Полученные результаты сходятся с исходными данными.

В таблице 1 представлены полученные значения при Sn = 1.25

Таблица 1 – Составляющие тока и напряжения

cosϕ

0,1

0,2

0,3

0,4

0,5

0,6

0,7

0,8

0,9

iq

0,055

0,11

0,166

0,223

0,282

0,345

0,413

0,488

0,579

uq

0,998

0,994

0,985

0,973

0,957

0,935

0,905

0,865

0,803

id

1,249

1,245

1,239

1,23

1,218

1,201

1,18

1,151

1,108

ud

0,056

0,113

0,171

0,23

0,291

0,356

0,425

0,502

0,596

if

3,633

3,621

3,599

3,568

3,526

3,469

3,395

3,293

3,141

На рисунке 2 изображены составляющие тока и напряжения при изменении cosφ от 0.1 до 0.9

Рисунок 2 – Составляющие тока и напряжения

Параметры для построения регулировочной характеристики представлены ниже.

cos φ = 0.1

sn

0,25

0,5

0,75

1

1,25

i3

0,05

0,15

0,35

0,6

0,9

cos φ = 0.8

sn

0,25

0,5

0,75

1

1,25

i1

0,15

0,35

0,55

0,8

1,1

cos φ = 1

sn

0,25

0,5

0,75

1

1,25

i2

0,25

0,5

0,75

1

1,25

Регулировочная характеристика представлена на рисунке 3.

Рисунок 3 – Регулировочная характеристика

  1. Расчет внешних характеристик генератора:

Параметры для построение внешних характеристик генератора представлены ниже

cosϕ

0,8

Yn

0,25

0,5

0,75

1

1,25

u

2,4

2

1,6

1,2

0,8

i

0,601

0,909

1,079

1,182

1,25

cosϕ

1

Yn

0,25

0,5

0,75

1

1,25

u

2,332

1,686

1,284

1,024

0,847

i

0,583

0,843

0,963

1,024

1,058

cosϕ

0,1

Yn

0,25

0,5

0,75

1

1,25

u

2,539

2,109

1,826

1,621

1,464

i

0,635

1,054

1,369

1,621

1,83

На рисунке 4 приведены внешние характеристики генератора.

Рисунок 4 – Внешние характеристики

Выводы:

  1. В ходе работы был произведен расчет численных величин коэффициентов связи и постоянных времени полной системы уравнений судового синхронного генератора, а также разработана расчетная математическая модель для построения статических характеристик судового синхронного генератора.

  2. При увеличении cosφ происходит уменьшении составляющих токов if и id, но возрастает iq, а также составляющая напряжения uq уменьшается, а ud возрастает.

  3. Ток нагрузки практически линейно увеличивается при возрастании sn, при увеличении cosφ график смещается на значения выше.