б) От снеговой односторонней нагрузки на левой половине ригеля(рис. 6.)
Определение вертикальных опорных реакций:
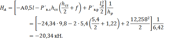
Распор
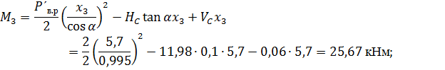
Усилия и изгибающие моменты в элементах левой
полурамы
вертикальное усилие
в шарнире;
Усилия и изгибающие моменты в элементах правой
полурамы:
в) От ветровой нагрузки слева(рис. 7.)
Опорные реакции определяем из условия равенства нулю моментов всех сил относительно опор рамы. Для упрощения вычисления заменим распределенные нагрузки от ветра, действующие нормально к скатам, их составляющими.
Тогда из уравнения
определим
величину левой опорной реакции:
Величину правой опорной реакции определим из
уравнения
:
Из уравнения
для
левой полурамы определим величину распора у опоры А:
Аналогично найдем величину распора у опоры А
:
Вертикальные и горизонтальные усилия в шарнире С определим из условия равенства нулю проекций всех сил на оси х и у для каждой полурамы. Для левой полурамы:
Соответственно для правой полурамы будем иметь
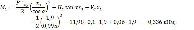
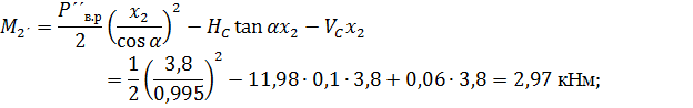
Усилия и изгибающие моменты в элементах левой
полурамы:
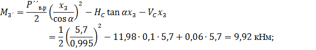
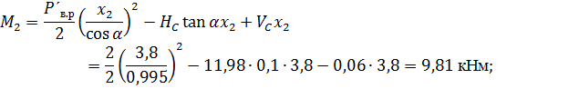
Усилия и изгибающие моменты в элементах правой
полурамы:
.Подбор сечения
Подбор сечений элементов рамы производим по расчетным усилиям (табл. 3.).
Ригель
Ригель принимаем прямоугольного сечения с переменной высотой по его длине с учетом изменения эпюры расчетных изгибающих моментов. Наружное очертание ригеля принято прямолинейным с заданным уклоном для кровли i=1:10.
Ширину сечения ригеля назначаем 190 мм (после острожки). Размеры склеиваемых досок в черновой заготовке - 200х40мм с двухсторонней острожкой их по ширине и толщине до 190х33 мм. Влиянием продольных усилий в ригеле при предварительном подборе сечений пренебрегаем ввиду незначительной их величины. Принятые сечения затем проверяем на сжатие с изгибом.
Требуемую высоту сечения ригеля в узле Вв месте
примыкания подкоса к ригелю (М=-455,04 кНм) определяем из условия прочности его
на изгиб:
где
коэффициент
условий работы на изгиб для клееных конструкций;
М- расчетный изгибающий момент;
ширина сечения.
Высоту сечения принимаем в сечении В равной h=118,8 см. Количество досок по высоте сечения nд=36 шт. Сечение ригеля в коньковом узле и на концах консолей назначено конструктивно высотой h=46,2 см из nд=14 досок.
Проверку принятых сечений ригеля производим в местах, где момент и продольная сила имеют наибольшие значения (узел В), а также где стойка примыкает к ригелю.
Проверка ригеля в месте примыкания к нему
подкоса (узел В) (рис.8):
а) от собственного веса и снега М=-455,04 кНм; N=-149,08 кН.
|
Элементы рамы |
Обозначения сечений |
Вид усилия |
Собственный вес |
Снег |
Ветер (продольная стена по стойке ригеля) |
|||
|
|
|
|
|
Слева |
Справа |
С двух сторон |
Слева |
Справа |
|
Ригель |
С |
M |
0 |
0 |
0 |
0 |
0 |
0 |
|
|
|
N |
-32,1 |
-47,74 |
-54,72 |
-102,46 |
11,91 |
11,91 |
|
|
1 |
M |
-2,15 |
+47,57 |
-54,5 |
-6,93 |
+1,26 |
-0,336 |
|
|
|
N |
-32,96 |
-50,5 |
-54,72 |
-105,22 |
11,91 |
11,91 |
|
|
2 |
M |
-20,8 |
+42,15 |
-109 |
-66,85 |
+9,81 |
+2,97 |
|
|
|
N |
-33,83 |
-53,27 |
-54,72 |
-107,99 |
11,91 |
11,91 |
|
|
3 |
M |
-56,2 |
-11,87 |
-163,5 |
-175,37 |
+25,67 |
+9,92 |
|
|
|
N |
-34,69 |
-56,04 |
-54,72 |
-170,76 |
11,91 |
11,91 |
|
|
В |
M |
-109,24 |
-127,8 |
-218 |
-345,8 |
+49,23 |
+20,51 |
|
|
|
Nв |
-35,56 |
-58,8 |
-54,72 |
-113,52 |
11,91 |
11,91 |
|
|
|
Nн |
4,72 |
0,131 |
9,501 |
-6,73 |
3,72 |
|
|
|
4 |
M |
-70,2 |
-76,14 |
-109 |
-185,14 |
+26,29 |
+11,09 |
|
|
|
N |
4,23 |
3,72 |
9,37 |
13,09 |
-6,73 |
3,99 |
|
|
Б |
M |
-36,72 |
-42,27 |
0 |
-42,27 |
+5,81 |
+2,91 |
|
|
|
Nв |
3,75 |
2,16 |
9,37 |
11,53 |
-6,73 |
4,27 |
|
|
|
Nн |
1,09 |
3,49 |
0 |
3,49 |
0 |
0 |
|
|
5 |
M |
-3,31 |
-10,56 |
0 |
-10,56 |
+0,275 |
+0,276 |
|
|
|
N |
0,55 |
1,74 |
0 |
1,74 |
0 |
0 |
|
|
Д |
N |
---- |
---- |
---- |
---- |
---- |
---- |
|
Стойка |
V |
M |
0 |
0 |
0 |
0 |
+7,29 |
-5,46 |
|
|
|
N |
26,85 |
-13,42 |
98,04 |
84,62 |
-14,02 |
-3,2 |
|
Подкос |
D |
N |
-88,9 |
-141,48 |
-141,48 |
-282,96 |
41,16 |
16,85 |
|
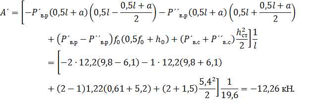
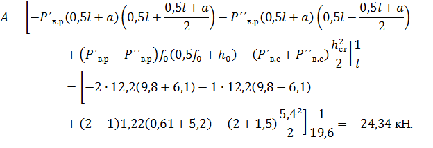
Опорная реакция |
A |
|
56 |
145,28 |
33,82 |
179,1 |
-24,34 |
-12,26 |
|
Распор |
H |
|
32,27 |
51,63 |
51,63 |
103,26 |
-20,34 |
-2,07 |
|
Поперечная сила в коньковом шарнире |
Vc |
|
---- |
33,82 |
-33,82 |
---- |
-0,06 |
0,06 |
|
Распор в коньковом шарнире |
Hc |
|
-32,27 |
-51,63 |
-51,63 |
-103,26 |
11,98 |
-11,98 |
Таблица 3. Усилия N в кН и моменты
Расчетную гибкость сжато-изгибаемого переменного
по высоте ригеля определяем приближенно по усредненному значению радиуса
инерции:
где
средняя
высота сечения между узлами В и С;
Тогда
Здесь
усредненная
площадь сечения;
расчетная площадь
сечения ригеля в узле В;
дополнительный
разгружающий момент от переноса продольной силы с оси a-aна нейтральную ось
сечения x0- x0.
коэффициент
условий работы клееной балки на изгиб.
Проверка принятого сечения ригеля на скалывание при изгибе по клеевому шву в узле В.
Расчетная нагрузка на раму
Поперечная сила в узле В
где 0,5- коэффициент, учитывающий возможный непроклей шва.
б) от собственного веса, снега и ветра:
М=-504,27кНм; N=-160,99 кН;
Стойка
Стойка рассчитывается как сжато- изгибаемый элемент от воздействий собственного веса, снега и ветра: М=6,56кНм; N=90,39 кН. Длина стойки lст=5,4 м.
Задаемся предварительно сечением стойки из
цельного бруса черновой заготовки 200х200 мм и после четырехсторонней острожки
190х190 мм. Прогоны по продольным стенам крепятся к стойке болтами dб=20 мм.
Для принятого поперечного сечения стойки имеем:
Тогда
Напряжение в расчетном сечении стойки
коэффициент
повышения расчетного сопротивления древесины при учете ветровой нагрузки.
Подкос
Принимаем подкос клееным сечением 190х561 ммиз
семнадцати досок толщиной 33 мм. Длина подкоса lп=6,8 м. Гибкость подкоса
тогда
Подкос рассчитывается на центральное сжатие:
а) от собственного веса и снега:
где
б) от собственного веса, снега и ветра:
.Расчет и конструирование узлов
Узел В сопряжения подкоса с ригелем рамы
Соединение подкоса с ригелем выполняем лобовым упором ввиду того, что в подкосе рамы возникают только сжимающие силы. Для обеспечения боковой жесткости узла, а также для восприятия растягивающих усилий в подкосе при монтаже рамы по обе стороны подкоса и ригеля ставим накладки сечением190х66 мм, которые прикрепляются к подкосу и ригелю четырьмя болтами dб=20 мм. Проверяем на смятие ригель в месте примыкания подкоса:
а) от собственного веса и снега
Угол смятия древесины ригеля подкосом
Расчетное сопротивление древесины смятию под
углом к волокнам:
где
б)
от собственного веса, снега и ветра
Расчетное сопротивление древесины смятию под
углом к волокнам
где
и
коэффициенты,
учитывающие влияние ветровой нагрузки.
Узел соединения стойки с ригелем рамы
Соединение стойки рамы с ригелем выполняется
лобовым упором и перекрывается парными накладками сечением 190х66 ммна восьми
болтах диаметром 20 мм, которые воспринимают расчетное усилие растяжения при
воздействии собственного веса и снега
.
Несущая способность болтов, соединяющих накладки с ригелем и стойкой, при
направлении растягивающего усилия, передаваемого со стойки на ригель под углом
определяется
по меньшему из всех трех условий: