получили исходный элемент ![]()
.
4. Получение вертикальных плоскостей
симметрии:
получили исходный элемент симметрии ![]()
Сведем все новые элементы симметрии,
полученные матричным методом в таблицу:
Таблица 4
Новые элементы симметрии, полученные матричным методом
|
Элемент симметрии |
Преобразование кристаллофизических осей |
Матричное представление |
|
Центр инверсии |
|
|
|
Горизонтальная
плоскость симметрии |
|
|
|
Горизонтальная
поворотная ось второго порядка |
|
|
Горизонтальная поворотная ось
второго порядка ![]()
|
|
|
|
Горизонтальная поворотная ось
второго порядка ![]()
|
|
|
|
|
Вертикальная
плоскость симметрии |
|
|
|
Вертикальная
плоскость симметрии |
|
|
|
Вертикальная
плоскость симметрии |
|
|
Часть 4. Оценка возможности возникновения
эффектов
При оценке возможности возникновения тех или иных эффектов будем пользоваться принципом Кюри:
) В присутствии внешнего воздействия кристалл изменяет свою симметрию;
) Результирующая симметрия кристалла
содержит те элементы симметрии, которые идентичны для воздействия и для
кристалла (включая направления).
. Пироэлектрический эффект
Пироэлектричество - это свойство некоторых диэлектрических кристаллов изменять величину электрической поляризации при изменении температуры. В результате нагревания или охлаждения пироэлектрического кристалла на его гранях появляются электрические заряды.
Если в кристалле нет единичных
полярных направлений, то пироэлектрического эффекта наблюдаться не будет. Из 32
классов симметрии полярные единичные направления могут существовать лишь в 10
классах симметрии, а именно в тех, где есть либо одна-единственная ось
симметрии, либо одна ось и продольные плоскости симметрии. Пироэлектрический
эффект может проявляться только в диэлектрических кристаллах, принадлежащих к
одному из десяти полярных классов симметрии: 1, 2, 3, 4, 6, m, mm2, 3m, 4mm, 6mm![]()
Класс симметрии 4/mmm не содержит
полярных направлений, поэтому пироэлектрический эффект наблюдаться не будет.
2. Пьезоэлектрический эффект
Пьезоэффект - эффект возникновения
поляризации диэлектрика
<#"821708.files/image076.gif">
, где ![]()
и ![]()
- компоненты вектора поляризации и
тензора механических напряжений соответственно, а ![]()
- компоненты тензора
пьезоэлектрических модулей.
Пьезоэлектрическому эффекту
соответствует предельная группа симметрии ![]()
, которая представлена элементами: ![]()
. Группа изображается покоящимся
цилиндром.
Таблица 5
Оценка возникновения пьезоэффекта
|
Неэквивалентные направления в кристалле |
Общие элементы симметрии |
Результирующая симметрия кристалла |
Вероятность возникновения эффекта |
|
[001] |
|
|
эффект невозможен |
|
[100] или [110] |
|
|
эффект невозможен |
|
[hk0] |
|
|
эффект невозможен |
|
[hkl] или [h0l] |
|
|
эффект невозможен |
|
[hkl] |
|
|
эффект невозможен |
. Эффект поляризации в электрическом поле
Поляризация кристалла в
электрическом поле можно описать при помощи тензоров 2-го ранга -
диэлектрической проницаемости ![]()
или диэлектрической восприимчивости
![]()
. Уравнение, описывающее данный
эффект: ![]()
, где ![]()
вектор электрического смещения, ![]()
вектор электрического поля.
Эффекту поляризации в электрическом
поле соответствует предельная группа симметрии ![]()
, которая представлена элементами: ![]()
Группа изображается покоящимся
конусом.
Таблица 6
Оценка возникновения эффекта поляризации в электрическом поле
|
Направление, параллельное оси бесконечного порядка |
Общие элементы симметрии |
Результирующая симметрия кристалла |
Вероятность возникновения эффекта |
|
[001] |
|
|
возможен продольный эффект |
|
[100] или [110] |
|
|
возможен продольный эффект |
|
[hk0] |
|
|
возможен поперечный и продольный эффект |
|
[hhl] или [h0l] |
|
|
возможен поперечный и продольный эффект |
|
[hkl] |
|
|
эффект невозможен |
. Эффект электропроводности
Электропроводность описывается тензором второго ранга - тензором удельной проводимости или обратным ему тензором удельного электрического сопротивления.
Уравнение, описывающее явление
электропроводности, связывает между собой два вектора - вектор плотности тока и
напряжённости электрического поля: ![]()
. Принципиальное отличие между
явлением электропроводности и поляризации в электрическом поле отсутствует. В
обоих случаях явление и воздействие являются векторными, симметрия воздействия
совпадает. Поэтому все результаты, полученные для предыдущего случая,
распространяются и на данный эффект.
Часть 5. Расчет дифрактограммы кварца
Для расчета рентгенограммы поликристаллического
вещества необходимо определить положение дифракционных пиков и вычислить
относительную интегральную интенсивность.
. Расчет межплоскостных расстояний
Исходными данными для расчета являются периоды решетки, находимые в литературе, и индексы интерференции, определяемые из пространственной группы по законам погасаний.
Расчет следует проводить до тех пор,
пока вычисленные межплоскостные расстояния не станут меньше половины длины
волны того излучения, для которого рассчитывается диаграмма, так как на
рентгенограмме получаются отражения от плоскостей, для которых ![]()
Расчет брэгговских углов
производится по данным о межплоскостных расстояниях по формуле Вульфа-Брэгга: ![]()
.
Заданный материал относится к тригональной
сингонии. Расчёт межплоскостных расстояний производится по формуле для
гексагональной системы координат:
. Вычисление относительной
интегральной интенсивности
Вычисление относительной
интегральной интенсивности производится не только при расчете рентгенограмм,
часто оно представляет собой основную цель исследования, например при
определении структуры вещества, искажений кристаллической решетки,
характеристической температуры, изучении сверхструктуры и др. Интегральная
интенсивность линий рентгенограммы является функцией ряда факторов. Эта
зависимость выражается уравнением:
где ![]()
- интенсивность первичных лучей; ![]()
- постоянная для данного вещества и
данных условий съемки величина; ![]()
- угловой множитель интенсивности; ![]()
- множитель повторяемости; ![]()
- абсорбционный множитель; ![]()
- температурный множитель
интенсивности; ![]()
- структурный множитель
интенсивности.
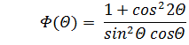
Угловой множитель ![]()
учитывает поляризацию, происходящую
при рассеянии рентгеновых лучей, а также конечную величину пучка рассеянных
лучей и геометрию съемки рентгенограммы:
Множитель повторяемости ![]()
равен числу семейств плоскостей в
их совокупности, имеющих одинаковое межплоскостное расстояние и одинаковый
структурный множитель. В нашем случае граням (0001) отвечает множитель 2,
граням (100), (110) и (h0l) - 6, для
остальных граней (hki0), (hhl) и (hkil) множитель
равен 12.
Абсорбционный множитель ![]()
учитывает ослабление лучей в
образце при данной геометрии съемки.
Температурный множитель ![]()
учитывает разность фаз рассеянных
лучей, возникшую вследствие тепловых колебаний.
Расчёт интенсивности в данной работе производится в рамках приближения Брэдли, согласно которому можно без потери точности принять произведение абсорбционного и температурного множителей равным единице (для материалов с достаточно сильным поглощением рентгеновского излучения).
Структурный множитель ![]()
учитывает зависимость интенсивности
рентгеновых лучей от расположения атомов в элементарной ячейке и определяется
базисом решетки:
Структурный множитель представляет
собой, таким образом, взятую по всем атомам базиса сумму произведений атомного
множителя ![]()
на комплексную экспоненту, в
аргумент которого входит сумма парных произведений индексов интерференции ![]()
на одноименные координаты базиса ![]()
и ![]()
Обращение структурного множителя в нуль свидетельствует о погасании соответствующего отражения, поэтому при отсутствии данных о пространственной группе выражение структурного множителя можно использовать для определения индексов наблюдаемых интерференций.
fj- атомный множитель (или фактор)
рассеяния рентгеновских лучей, его значения были получены эмпирическим путём, с
помощью справочных данным был построен график зависимости атомного множителя от
![]()
, с помощью его полиномиальной
аппроксимации был получен полином 4-го порядка= 0,0018x4 - 0,0594x3 + 0,5761x2
- 3,1976x + 14,047, с помощью полиномы были рассчитаны значения ![]()
.