Введение. Описание и применение кристаллических модификаций кварца
диоксид титан дифрактограмма кристаллический
Кварц - один из самых распространённых минералов в земной коре. Химическая формула: SiO2, природный диоксид кремния. Кремнезём, наиболее распространённой формой нахождения которого в природе является кварц, обладает развитым полиморфизмом.
Две основные полиморфные кристаллические модификации кварца: кристаллы a- кварца (низкотемпературная модификация кварца) относятся к тригонально-трапецоэдрическому классу 3:2 тригональной системы, кристаллы b- кварца (высокотемпературная модификация кварца) - к гексагонально-трапецоэдрическому классу 6:2 гексагональной системы. Кристаллическая структура a- кварца - каскадного типа, построена из кремне-кислородных тетраэдров, расположенных винтообразно ( с правым или левым ходом винта) по отношению к главной оси кристалла. В зависимости от этого различают правые и левые структурно-морфологические формы кристаллов кварца, отличимые внешне по симметрии расположения некоторых граней. Отсутствие плоскостей и центра симметрии у кристаллов a- кварца обуславливает наличие у него пьезоэлектрических и пироэлектрических свойств. Твердость кварца - 7 баллов по шкале Мооса - принята за нижнюю границу твердости ювелирных камней. Кварц имеет среднюю плотность (2,65), заметную спайность по ромбоэдру, стеклянный блеск. Окраска его разнообразна и обусловлена либо пигментирующими включениями, либо дефектами кристаллической структуры. В последнем случае окраска может изменяться от нагревания, яркого света, облучения рентгеновскими и гамма-лучами.
Среди всех полезных свойств кварца это является
едва ли не самым важным: оно открыло кварцу обширные применения в радиотехнике
и электронике. Кварц хорошо пропускает ультрафиолетовые лучи и используется в
специальной оптике. Высококачественные кристаллы кварца представляют собой
весьма дорогое «пьезооптическое сырье»; его технические применения обусловлены
также тугоплавкостью, высокой теплопроводностью, малым тепловым расширением.
Таблица 1
Характеристики кристаллической решетки
|
Модификация/ параметр |
a- кварца |
b- кварца |
|
|
Параметры элементарной решетки, Å |
a |
4.9133 |
- |
|
|
b |
- |
- |
|
|
c |
5.4053 |
- |
|
|
a |
90 |
90 |
|
|
b |
90 |
90 |
|
|
g |
120 |
120 |
|
Элементы симметрии |
32 - тригональный- трапецоэдр |
622-гексакональный-трапецоэдр |
|
|
Ступень |
аксиальная |
аксиальная |
|
|
Обозначение вида симметрии |
32, L33L2, D3 |
622, L66L2 |
|
|
Сингония |
тригональная |
гексагональная |
|
В кристаллах кварца, получаемых в щелочных средах, преобладающим типом электрически активных точечных дефектов являются примесные щелочные ионы, входящие в структуру кварца при гетеровалентном изоморфизме. В кварце основными механизмами внутреннего трения являются потери, связанные с точечными дефектами, а также с рассеянием на границах неоднородностей и включений и, наконец, потери, связанные с диффузией междоузельных (щелочных) ионов.
Часть 1.
. Стереографические проекции элементов симметрии
и общей простой формы рутильной модификации диоксида титана
Исходные элементы симметрии планаксиальной
ступени тетрагональной сингонии представлены на рис. 3, это вертикальная
поворотная ось 4 порядка, горизонтальная поворотная ось второго порядка и
перпендикулярна ей вертикальная плоскость.
Рис. 3.
Стереографическая проекция элементов симметрии и общей простой формы
Данные элементы симметрии порождают другие элементы симметрии. Новые элементы симметрии можно получить с помощью теорем о сочетании элементов симметрии.
Теорема 1. Точка пересечения четной
оси симметрии с перпендикулярной ей плоскостью симметрии есть центр симметрии: ![]()
.
Теорема 2 (обратная теореме 1). Если
есть четная ось симметрии и на ней центр симметрии, то перпендикулярно этой оси
проходит плоскость симметрии: ![]()
.
Теорема 3. Если есть ось симметрии
порядка ![]()
и перпендикулярно этой оси проходит
ось второго порядка, то всего имеется ![]()
осей второго порядка,
перпендикулярных оси -го порядка: ![]()
.
Теорема 4. Если есть ось симметрии
-го порядка и вдоль нее проходит плоскость симметрии, то таких плоскостей
имеется ![]()
: ![]()
.
Таким образом, исходя из приведенных
выше теорем, можно записать: ![]()
. Соответственно
кристаллографическая формула выглядит следующим образом: ![]()
.
. Стандартная установка
кристаллографических и кристаллофизических осей координат. Изображение проекции
заданной грани на сетке Вульфа
На рис. 4 приведена стандартная
установка кристаллографических и кристаллофизических осей координат для класса ![]()
тетрагональной сингонии. Из рисунка
видно, что оси кристаллофизической системы координат (X1, X2, X3) совпадают
с осями кристаллографической системы координат (X, Y, Z).
Для решения количественных задач с помощью стереографической и гномостереографической проекции пользуются обычно градусными сетками. Наиболее употребительна сетка Вульфа. Сетка Вульфа - это стереографическая проекция всей системы меридианов и параллелей, нанесенных на поверхность сферы.
Рис. 4. Кристаллографическая и
кристаллофизическая установки осей координат
Плоскостью проекций является
плоскость одного из меридианов. Положение любой точки на сетке Вульфа
определяется ее сферическими координатами ![]()
и ![]()
.
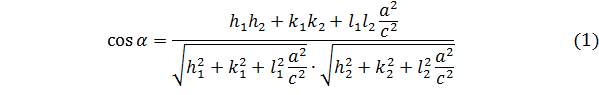
Угол ![]()
между плоскостями ![]()
и ![]()
находится как угол между их
обратными векторами. Косинус угла между этими плоскостями в тетрагональной
сингонии определяется следующим образом:
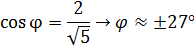
Рассчитаем угол ![]()
. В качестве грани ![]()
выбирается грань ![]()
, а грани ![]()
соответствует грань ![]()
. Соответственно:
Рассчитаем угол ![]()
с проекцией в экваториальной
плоскости. В качестве грани ![]()
выбирается грань ![]()
, а грани ![]()
соответствует грань ![]()
. Соответственно:
Изобразим проекцию грани ![]()
и проекции других граней общей
простой формы на сетке Вульфа, исходя из рассчитанных сферических координат
(рис. 5).
Рис. 5. Проекция грани ![]()
и простой формы на ее основе на
сетке Вульфа
Часть 2. Стереографические проекции частных
простых форм рутильной модификации диоксида титана
Таблица 2
Частные простые формы рутильной модификации диоксида титана
|
Частная простая форма |
Стереографическая проекция |
Название простой формы |
Собственная симметрия грани |
Форма фигур травления |
|
|
|
Пинакоид |
|
Квадрат |
|
|
|
Тетрагональная бипризма |
|
Ромб |
|
|
|
Дитетрагональная призма |
|
Равнобедренный треугольник |
|
|
|
Тетрагональная бипирамида |
|
Равнобедренный треугольник |
Часть 3. Матричные представления преобразований
симметрии
Преобразования симметрии в
кристаллическом пространстве можно описать аналитически как соответствующие
преобразования координат. Для этого выбираем в пространстве прямоугольную
систему координат ![]()
. Точка с координатами ![]()
после преобразования симметрии
займет новое положение с координатами ![]()
, которые определяются уравнениями
преобразования:
![]()
где ![]()
косинусы углов между осями старой и
новой системы координат. Любому преобразованию симметрии можно поставить в
соответствие определитель преобразования ![]()
.
Представим исходные элементы
симметрии в матричном виде.
Таблица 3
Матричные представления исходных элементов симметрии
|
Элемент симметрии |
Преобразование кристаллофизических осей |
Матричное представление |
|
Вертикальная
поворотная ось четвертого порядка |
|
|
|
Элемент симметрии |
Преобразование кристаллофизических осей |
Матричное представление |
|
Горизонтальная
поворотная ось второго порядка |
|
|
|
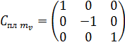
Вертикальная
плоскость симметрии |
|
|
Получим новые элементы симметрии путем перемножения матриц:
. Получение центра инверсии:

2. Получение горизонтальной плоскости
симметрии:
. Получение горизонтальных осей симметрии
второго порядка: