Контрольная «Управление в БТС»
Группа 7501 Фамилия Исаков А.О.
ВОПРОС 5. Задача ЛП с ограничениями-неравенствами. Переход от нее к основной задаче.
Пусть заданы условия:





5.1. Преобразуйте неравенства в уравнения-ограничения.
5.2. Определите набор свободных и базисных переменных.
5.3. Укажите, при каких условиях задача решается геометрическим способом, а при каком вычислительным. В каком случае не требуется применения ЛП?
5.4.
Что изменится, если в третьем неравенстве
вместо знака
будет
.
Пути решения такой изменённой задачи.
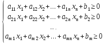
Пусть
имеется задача ЛП с параметрами
Ограничения
имеют вид неравенств

Методом
перестановки приводим к

Тогда ограничения могут принять такой вид:

Обозначим эту систему неравенств как (*)
Требуется
найти такие неотрицательные значения
,
которые удовлетворяют системе неравенств
и обращают в минимум линейную функцию
L.

Используется следующий прием:
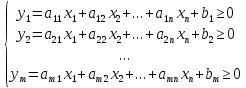
Вводятся следующие переменные

Обозначим эту систему уравнений как (**)
–
добавочные
переменные. Они также, как и исходные,
должны быть неотрицательными
.
Тогда возникает новая ЗЛП в следующей постановке:
Найти
такие неотрицательные значения
переменных
,
чтобы они удовлетворяли системе линейных
неравенств (**) и, кроме того, обращали
бы функцию
.
В
такой подстановке
– рассматриваются
как свободные переменные.
А переменные
–
рассматриваются
как базисные.
Перешли к классической подстановке.
Отличие:
Функция L сразу выражена через свободные переменные.
Если их только 2, то используют геометрический метод (n-m=2, m – число уравнений, n – число переменных).
Если их больше 2-х, то используют вычислительные методы (n-m>2).
Если
– линейные ограничения на элементы
решения
,
то чаще используют методы
линейного программирования. Если
исследуется динамика
некоторой системы,
т.е. развитие ее состояния во времени и
удается выделить некоторые промежуточные
состояния системы, то используют методы
динамического
программирования.
будет
.
Пути решения такой изменённой задачи.Пусть
имеется задача ЛП с n
переменными
,
в которой ограничения, наложенные на
эти переменные, имеют вид линейных
неравенств. В некоторых из них знак
неравенства может быть ≥, в других ≤.
Второй
вид сводится к первому переменой знака
в обеих частях неравенства. Поэтому
задаем все ограничения в стандартной
форме.

После введения дополнительных переменных:

Задача
сводится к тому, чтобы найти неотрицательные
значения переменных
удовлетворяющие уравнениям (*) и обращающие
в минимум линейную функцию
.
Мы показали, как от задачи ЛП с ограничениями-неравенствами можно перейти к задаче с ограничениями-равенствами (ОЗЛП).
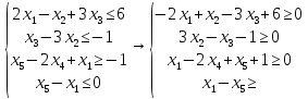
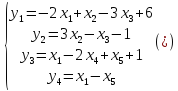
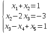
Пример
Заданы 3 уравнения:

Требуется:
Записать эту задачу как задачу ограничения неравенств
Решить основную задачу
Решение:
n=5 (кол-во переменных)
m=3 (кол-во уравнений)
n-m=2=k
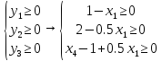
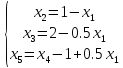
Пусть
и
свободные переменные

Осуществили обратный переход

и
свободные


Штриховка
так, чтобы





Получили открытую ОДР, следовательно, решение на [AB]
(если
бы по условию
,
то решения не было бы)
Решение
в опорной точке (.)А:
