4.2 Расчет на прочность диска
Расчет производится для диска первой ступени турбины высокого давления.
Исходные данные для расчета.
Материал диска и лопатки одинаковы ХН73МБЮТ
ρ1=8320кг/мᵌ
=0
=0
=1
=0
ρ2=8320кг/мᵌ
μ=0,3
Таблица 9 Расчет диска на прочность
|
Аn |
Bn |
Cn |
Dn |
Ϭr, Па |
Ϭϕ, Па |
Ϭэ, Па |
Кᵀτ |
Ϭᵀ |
|
0 |
0 |
1 |
0 |
6,2E+08 |
3E+08 |
5,3E+08 |
2,137 |
1200000000 |
|
0,104477612 |
-4E+06 |
0,895522 |
-1E+06 |
6E+07 |
3E+08 |
2,3E+08 |
4,983 |
1201455075 |
|
0,189995966 |
-9E+06 |
0,810004 |
-3E+06 |
1,1E+08 |
2E+08 |
2E+08 |
5,704 |
1180561791 |
|
0,250484558 |
-1E+07 |
0,715288 |
-5E+06 |
1,4E+08 |
2E+08 |
1,8E+08 |
6,244 |
1159668508 |
|
0,359370249 |
-2E+07 |
0,630191 |
-1E+07 |
2E+08 |
2E+08 |
1,8E+08 |
5,796 |
1125716922 |
|
0,449649587 |
-3E+07 |
0,628124 |
-1E+07 |
2,4E+08 |
2E+08 |
2,1E+08 |
4,909 |
1107435299 |
|
0,53645074 |
-4E+07 |
-2E+07 |
2,9E+08 |
1E+08 |
2,5E+08 |
4,193 |
1094376996 |
|
|
0,634531034 |
-6E+07 |
0,529172 |
-2E+07 |
3,3E+08 |
1E+08 |
2,9E+08 |
3,508 |
1081318694 |
|
0,771147984 |
-7E+07 |
0,479061 |
-3E+07 |
4E+08 |
1E+08 |
3,6E+08 |
2,809 |
1068260392 |
|
0,857944993 |
-9E+07 |
0,535477 |
-4E+07 |
4,4E+08 |
1E+08 |
3,9E+08 |
2,508 |
1042143787 |
|
0,774342132 |
-1E+08 |
0,59127 |
-6E+07 |
3,6E+08 |
1E+08 |
3,2E+08 |
2,802 |
950735672 |
|
0,763544849 |
-2E+08 |
0,590145 |
-8E+07 |
3,2E+08 |
8E+07 |
2,9E+08 |
3,133 |
943220339 |
|
0,702601807 |
-2E+08 |
0,554904 |
-1E+08 |
2,6E+08 |
6E+07 |
2,3E+08 |
2,752 |
671327684 |
|
0,57832077 |
-2E+08 |
0,515468 |
-1E+08 |
2E+08 |
5E+07 |
1,8E+08 |
3,102 |
573446328 |
|
0,520222016 |
-2E+08 |
0,490075 |
-9E+07 |
1,7E+08 |
4E+07 |
1,5E+08 |
3,257 |
508192090 |
|
0,283856202 |
-9E+07 |
0,409697 |
-8E+07 |
8,3E+07 |
4E+07 |
7,2E+07 |
6,134 |
464689266 |
|
0,305253185 |
-1E+08 |
0,3986 |
-8E+07 |
7E+07 |
3E+07 |
6E+07 |
5,421 |
345056497 |
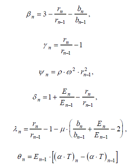
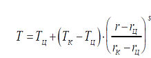
Алгоритм расчета диска на прочнсть от растягивающих центрабежных сил с примерами расчета для сечения И1 с радиусом 0,074м
Температура по радиусу диска
=273+(300+(700-300))*((0,082-0,0695)/0,177)^2=273,4524562
Коэффициенты форм и упругих свойств материала
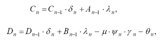
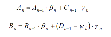
=0*0,86+1*0,10448=0,104477612
=0*0,816+(0-37348480)*0,10448=0,104477612
Коэффициенты температурных и центробежных
нагрузок диска
=1*0,895+0*0,094=0,895
=0*0,895+0*0,09-0,3*37348480*0,104-0=-1170624
=3-1,104-1,03448=0,861039629
=1,104-1=0,104
=8320*(1000^2)*(0,074^2)= 37348480
=1+1-1,104=0,895522388
=1,104-1-0,3*(1,03+1-2)= 0,094132784
=1*((11111*273)-(111111*273))=
-28406083,82
Значения радиальных контурных нагрузок
60 377 899,20
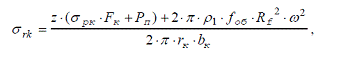
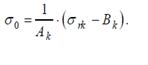
Напряжения в корневом сечении
=1/0,104*(60377899-(-3902080))=
615251229,5Па
Радиальные напряжения в сечениях
=0,104*615251229-3902080=60377899,15
Окружные напряжения в сеченях
=0,895*284053657,4+27235459=281611869,4
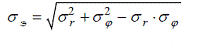
Эквивалентные растягивающие напряжения в
сечениях
=((60377899,15^2)+(281611869,4^2)-
60377899,15*281611869,4)^0,5=256802653,1Па
Коэффмциент запаса длительной прочности
=(1212908755/256802653,1)*0,95=4,487
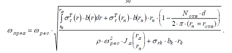
Коэффициент запасса по разрушающей частоте вращения
Коэффициент запаса по меридиальному сечению по разрушающей частоте.
Предельная угловая скорость
=1570,680628*(5555843,262/(8320*1570,680628^2*0,012608795+60
377 899,20*0,058*0,067)^0,5)=542194,1 рад/с
Момент инерции половины поперечного сечения
=Σ
((bn*rn^2+b(n-1)*r(n-1)^2)/2)*(rn-r(n-1))= 0,012608795 м⁴
Коэффициент запаса по цилендрическому сечению для сечений.
Для нулевого сечения
=
=1570*=((487200+12*10^8*0,058*0,067)/(0,000261273*1570^2+60377899*0,058*0,067))^0,5=4,67880419
Напряжения в нулевом сечении
=615251229
Па
Радиальные контурные напряжения
60
377 899,20 Па
Таблица 10. Результаты расчета коэффициента запаса прочности по разрушающей частоте
|
№ сеч. |
r,м |
b,м |
Ϭ,Па |
Jд |
Крв |
|
0 |
0,067 |
0,058 |
1200000000 |
0,000261273 |
4,678804 |
|
1 |
0,074 |
0,06 |
1201455075 |
0,000329471 |
4,980021 |
|
2 |
0,082 |
0,06 |
1180561791 |
0,000404754 |
5,20151 |
|
3 |
0,09 |
0,06 |
1159668508 |
0,000487614 |
5,377194 |
|
4 |
0,103 |
0,05 |
1125716922 |
0,000533609 |
5,260467 |
|
5 |
0,11 |
0,04 |
1107435299 |
0,000485857 |
4,687985 |
|
6 |
0,115 |
0,033 |
1094376996 |
0,000437635 |
4,2879 |
|
7 |
0,12 |
0,027 |
1081318694 |
0,000389891 |
3,935825 |
|
8 |
0,125 |
0,021 |
1068260392 |
0,000329097 |
3,519492 |
|
9 |
0,135 |
0,018 |
1042143787 |
0,000329691 |
3,398935 |
|
10 |
0,17 |
0,018 |
950735671,6 |
0,000525941 |
3,85617 |
|
11 |
0,2 |
0,0175 |
943220339 |
0,000707803 |
4,007656 |
|
12 |
0,225 |
0,0184 |
671327683,6 |
0,00094025 |
3,610118 |
|
13 |
0,234 |
0,0215 |
573446327,7 |
0,001181446 |
3,551402 |
|
14 |
0,24 |
0,0236 |
508192090,4 |
0,001362892 |
3,520952 |
|
15 |
0,244 |
0,0343 |
464689265,5 |
0,002044804 |
4,061145 |
|
16 |
0,255 |
0,0324 |
345056497,2 |
0,002118041 |
3,521188 |
|
|
|
|
Σм⁴ |
0,012608795 |
|
Вывод
Расчеты диска первой ступени турбины показали что конструкция работоспособна, в целом имеет запасы прочности удовлетвояющие потребным.
Запас прочности по меридиальному сечению равен 36 что в более чем 25 раз превышает потребный запас прочности. В связи с этим следует пересмотреть профиль диска и уменьшить площади сечений до такого уровня прикотором напряжения в сечениях будут соответствовать нужному запасу прочности k=1,3
5. Индивидуальное задание курсового
проектирования
Предложить конструктивные и технологические мероприятия по повышению эксплуатационной надежности камеры сгорания.
Чтобы предложить действительно что-то стоющее в данном вопросе, нужно очень хорошо представлять и понимать процессы которые происходят в КС и их физическую картину, «перелопатить» большую гору информации о повреждаемости КС, которая известна по прошлому опыту эксплуатации. Поэтому рассмотрим успехи и предложения ведущих двигателестроительных организаций.
Успешное решение задачи по созданию перспективной конструкции КС невозможно без применения новыхматериалов и технологий изготовления. В первую очередь это относится к жаровой трубе. Так, для повышения эффективности системы охлаждения требуется материалы с высокой рабочей температурой (1200 С и более), например такие как интерметаллиды и композиционные материалы на основе керамики.
Фирма Rolls-Royce применяет систему охлаждения типа «трансплай» с «толстым» (δ=500…600 мкм) теплозащитным покрытием стенок жаровой трубы. От исходного уровня расход воздуха на охлаждение уменьшается почти в два раза.
Фирма General Electric и Pratt&Whitney внедрили технологию конвективного охлаждения так же с «толстым» теплозащитным покрытием, что дало возможность исключить расход воздуха на пленочное охлаждение, используя его в процессе низкотемпературного горения.
Наиболее радикальным способом снижения расхода охлаждающего воздуха является применение керамики. Фирма Siemens на своих больших цилиндрических камерах сгорания применяет керамические плитки, не связанные жестко с основной конструкцией, а в газосборнике - металлические плитки, покрытые керамикой.
В результате межремонтный ресурс достиг уровня 100000 часов.
Несмотря на очевидные положительные стороны внедрения керамики в конструкцию КС, ее применение ограничивается такими свойствами как:
малые запасы прочности на изгиб и растяжение;
растрескивание при часто повторяющихся тепловых ударах;
трудности неразрушающего контроля деталей перед
поставкой на двигатель.
Использованная литература
1. Б.П. Умушкин, Б.А. Чичков КПАД Пособие по выполнению курсового проекта.
. Б.А. Чичков.. Расчет на прочность дисков турбомашин с использованием численных методов.
. Л.П. Лозицкий, А.Н. Ветров. Конструкция и прочность авиационных газотурбинных двигателей.
. А.А. Иноземцев, Е.А. Коняев, В.В. Медведев. ПС-90А. Авиационный двигатель.