![]()
,
![]()
|
|
|
|
|
6 |
|
|
|
– |
0 |
– |
0 |
+ |
|
|
|
|
|
–442 |
|
|
|
|
|
|
min |
|
![]()
![]()
6. Исследование на выпуклость/вогнутость:
![]()
![]()
,
![]()
|
|
|
|
|
4 |
|
|
|
+ |
0 |
– |
0 |
+ |
|
|
вогн. |
|
выпукл. |
-266 |
вогн. |
![]()
7. Асимптоты
Вертикальные: нет
Горизонтальные и наклонные:
– нет
8. График функции:

III вариант
1. Найти производную функции:
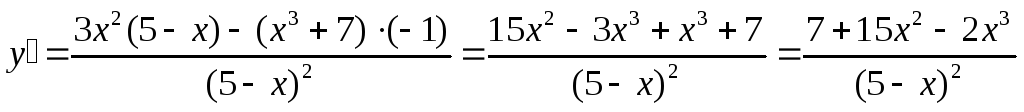
1)
![]()
2)
![]()
3)
![]()
4)
![]()
5)
![]()
6)
![]()
7)
![]()
![]()
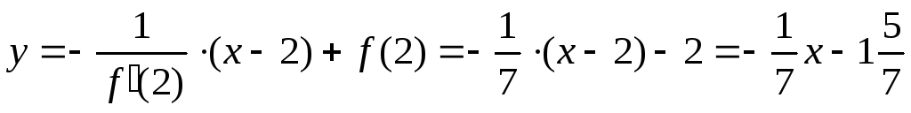
2. Найти уравнения касательной и нормали к графику функции в точке Х0
![]()
![]()
![]()
![]()
![]()
![]()
Уравнение касательной:
![]()
![]()
![]()
Уравнение нормали:
![]()
3. Найти наибольшее и наименьшее значения функции на интервале
![]()
![]()
![]()
,
![]()
![]()
![]()
![]()
Ответ:
,
.
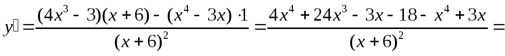
4. Исследовать функцию и построить её график
![]()
1. Область определения функции:
![]()
2. Исследование функции на четность/нечетность:
– функция общего вида
3. Исследование функции на периодичность:
Непериодическая функция
4. Точки пересечения функции с осями координат:
С осью Ох: не знаю, умеете ли вы решать такие уравнения и какой из способов учили…
С осью Оу:
![]()
5. Исследование на возрастание/убывание:
![]()
![]()
,
![]()
|
|
|
|
|
2 |
|
|
|
+ |
0 |
– |
0 |
+ |
|
|
|
3 |
|
–1 |
|
|
|
|
max |
|
min |
|
![]()
![]()
6. Исследование на выпуклость/вогнутость:
![]()
![]()
![]()
|
|
|
1 |
|
|
|
– |
0 |
+ |
|
|
выпукл. |
1 |
вогн. |
![]()
7. Асимптоты
Вертикальные: нет
Горизонтальные и наклонные:
– нет
8. График функции:

IV вариант
1. Найти производную функции:
1)
![]()
2)
![]()
3)
![]()