Материал: Исследование методов заряда аккумуляторных батарей

Внимание! Если размещение файла нарушает Ваши авторские права, то обязательно сообщите нам

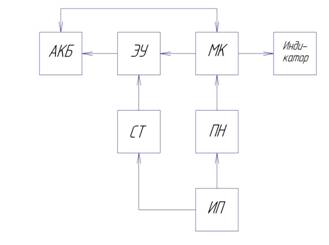
Рисунок 2 - Структурная схема зарядного устройство для NiCd аккумуляторных батарей постоянным током, где: АКБ - аккумуляторная батарея, ЭУ- элементы управления, МК - микроконтроллер, СТ - стабилизатор тока, ПН - преобразователь напряжения, ИП - источник питания

1.4.2 Быстрый заряд

Ускорение процесса заряда стало возможным как в результате модернизации самих источников тока, так и благодаря изучению возможности контроля процесса при больших его скоростях и успехами электронной техники, позволявшим реализовать этот контроль.

Для значительной части современных аккумулятор допускается ускоренный заряд: током 0,3 Сн с контролем по времени (но не более 4 часов). Необходимостью уменьшения степени перезаряда при таком режиме заряда связана с более быстрым ростом давления в аккумуляторе в конце процесса, так как скорость выделения кислорода увеличивается, а скорость переноса его к отрицательному электроду и поглощения остается практически неизменной. Разрядная емкость аккумулятора при указанных плотностях тока заряда не уменьшается. Заряд в ускоренном режиме допускается в диапазоне температур от +5 до +50 0С.

Следует отметить, что многие современные аккумуляторные батареи выдерживают достаточно длительный перезаряд стандартными токами заряда без повреждения, поэтому их можно заряжать и при наличии остаточной емкости. Но систематические перезаряды значительно сокращают срок службы. Поэтому, если нет уверенности в полном исчерпании емкости батареи, перед зарядом целесообразно разрядить ее до 1 В. Процесс переподготовки при этом удлиняется. Однако доразряд перед каждым зарядом не только мало удобен в эксплуатации, но и вреден, поскольку приводит к сокращению срока службы.

Проведение заряда в ускоренном режиме с существенным увеличением зарядного тока связывается с жестким ограничением сообщаемой емкости, контролем давления, а так же температуры, так как данный метод имеет тенденцию к перегреву аккумулятора, особенно при заряде током близким к 1Сн.

1.4.3 Ускоренный заряд

Наиболее точным и надежным способом управления процессом заряда никель - кадмиевых аккумуляторных батарей является способ управления зарядом при помощи микроконтроллера, который осуществляет мониторинг напряжения батареи и отключает ее при его характерном измерении. Таким характерным изменением является резкое незначительное снижение напряжения на батарее в конце заряда. Его называют отрицательным дельта V. В отечественной литературе такой метод заряда называют методом отрицательного ∆V - заряда, подчеркивая небольшое падение напряжения в конце заряда, или просто методом ∆V - заряда. Снижение напряжения в конце заряда для никель - кадмиевых батарей составляет 10…30 мВ на элемент.

Метод ∆V - заряда особенно хорошо использовать для определения времени конца заряда в зарядных устройствах герметичных никель - кадмиевых аккумуляторных батарей, поскольку он обеспечивает быстрое время отклика. Хороших результатов при его использовании добиваются и при подзарядке частично или полностью заряженных батарей. При включении на зарядку, например, полностью заряженной батареи напряжение на ней сначала резко возрастет, а затем сразу же резко снизится, что приведет к прерыванию процесса заряда. Такой цикл продлится всего лишь несколько минут, в течении которых батарея не успеет нагреться. Чем лучше зарядное устройство «чувствует» ∆V , тем качественнее произойдет процесс заряда. На рисунке 6 изображена временная характеристика ∆V - заряда.

Рисунок 3 - Временная характеристика ∆V - заряда

Чтобы падение напряжения на батарее в конце заряда было достаточным для определения этого порога, ток заряда должен составлять не менее 0,5 Сн. Если оно меньше 0,5 Сн, падение напряжения становится таким незначительным, что его трудно измерить, перепад напряжения ∆V становиться менее ярко выраженным, процесс заряда не останавливается, и в результате батарея перегревается, происходит ее перезаряд. Поэтому, кроме анализа ∆V, в зарядном устройстве, должны быть предусмотрены и другие способы прерывания процесса заряда (например, при нагреве батареи до пороговой температуры должно сработать устройство термозащиты). К тому же медленное изменение зарядных характеристик батарей, выражающееся, как правило, в увеличении крутизны зарядной кривой, приводит к постепенному снижению емкости из-за недозаряда. Кроме того, стремление исключить возможность перезаряда ведет к выбору несколько заниженных значений установок. В результате этого фактический уровень заряженности при ограничении заряда по датчикам напряжения даже с использованием термозависимых датчиков в ходе эксплуатации составляет в среднем 60 - 80% фактической емкости. Для восстановления характеристик и повышения уровня заряженности при ограничении длительности заряда по датчикам напряжения рекомендуется периодически проводить глубокие разряды батареи.

Тем не менее, благодаря простоте и надежности схем контроля заряда с контролем по напряжению достаточно широко используется в автономных системах электропитания, особенно при работе батареи в буферном режиме с основным генератором тока, когда невозможно обеспечить контроль снимаемой и сообщаемой емкости.

Как правило, данный метод комбинирован с быстрым методом заряда, что позволяет устранить главный недостаток последнего - отсутствие надежного критерия окончания заряда.

2. АКТУАЛЬНОСТЬ ТЕМЫ

В повседневной жизни невозможно обойтись без аккумуляторных батарей и значение их трудно недооценить. Без них невозможна работа различных мобильных устройств, электроники различного направления, транспортных средств.

Актуальность темы диссертации обусловлена следующим:

·                      заряд химических источников тока является одним из ключевых направлений современной промышленности, основой высокотехнологичных устройств и изделий многих отраслей промышленности;

·        широким применением аккумуляторных батарей;

·        Государственная программа Российской федерации Развитие электронной и радиоэлектронной промышленности на 2013-2025 годы.

2.1    Цель и задачи диссертации

аккумуляторный батарея заряд температура

Данная диссертация посвящена исследованию методов заряда аккумуляторных батарей. Необходимым также считается и определение преимуществ и недостатков различных методов заряда.

В связи с тем, что на данный момент развитие технологий по тематике работы находится на высоком уровне, то сейчас большое количество предприятий и организаций которые разрабатывают зарядные устройства.

Предприятия города Омска такие как, ОАО «ОНИИП», ОАО «ОмПО ИРТЫШ», ОАО «ОПЗ Им. Козицкого» занимаются разработками по данной тематике.

Цель диссертационной работы: исследование методов заряда аккумуляторных батарей.

Задачи :

) исследовать методы заряда АКБ

) выявить новые закономерности, позволяющие ускорить процесс заряда, не нанося вреда батареи.

Для чего необходимо решить следующие задачи:

сбор материалов (ПРОВЕДЕНИЕ АНАЛИЗА ИНФОРМАЦИИ) по вопросам способов, методов заряда аккумуляторных батарей;

оценка особенностей различных методов заряда.

В рамках выполнения работ проводились обзорно-аналитические исследования.

Ученые, занимающиеся этой проблемой:

·        Федухин А.В. Контроль процесса заряда никель-кадмиевых аккумулятоных батарей;

·        Владимир Пранович, к. т. н. Моделирование химических процессов в никель-кадмиевых аккумуляторных батареях:

·        Закирова Э.А. Исследование методов заряда источников тока на основе никеля в нормальных условиях

В дальнейшем результаты полученного анализа рекомендуется внедрить в методические пособия для студентов по дисциплинам :

1)      «Основные проблемы отрасли и пути их решения» можно включить те материалы исследований, в которые входит глава по обзору методов, их недостатки и преимущества;

2)      «Физические основы функциональной электроники»

3)      «Устройства генерирования и формирования сигналов» можно включить в главу «Источники питания»

2.2    Перечень диссертаций кандидатов наук и докторов по проблеме диссертации

.        Каусс Янис Янович Выбор режимов заряда щелочных никель-железных тепловозных батарей, кандидат технических наук

.        Сметанкин Георгий Павлович Научные основы автоматизированных технологий заряда никель-кадмиевых аккумуляторов переменным асимметричным током, доктор наук

.        Бурдюгов Александр Сергеевич Способы автоматизированного ускоренного заряда герметичных никель-кадмиевых аккумуляторных батарей, кандидат технических наук

.        Сазанов Алексей Борисович Моделирование процессов заряда-разряда никель-водородных батарей в системе управления испытательного стенда, кандидат технических наук

.        Матекин Сергей Семенович Формирование и восстановление емкости никель-кадмиевых аккумуляторов и батарей, кандидат технических наук

.        Галушкин Николай Ефимович Моделирование работы щелочных аккумуляторов в стационарных и нестационарных режимах, доктор технических наук

.        Галушкин Дмитрий Николаевич Нестационарные процессы деградации в щелочных аккумуляторах, закономерности и технологические рекомендации, доктор технических наук

.        Сушко, Олег Викторович Ускоренный заряд герметичных никель-кадмиевых аккумуляторов и зарядные устройства для них, кандидат технических наук

.        Паскаленко Р. В. Повышение надежности аккумуляторных батарей с использованием адаптивных режимов заряда рефрижераторных контейнерах, кандидат технических наук

2.3 Перевод иностранной статьи

Charging Nickel-cadmiummanufacturers recommend that new batteries be slow-charged for 16 to 24 hours before use. A slow charge brings all cells in a battery pack to an equal charge level. This is important because each cell within the nickel-cadmium battery may have self-discharged at its own rate. Furthermore, during long storage the electrolyte tends to gravitate to the bottom of the cell and the initial trickle charge helps redistribute the electrolyte to eliminate dry spots on the separator.manufacturers do not fully format the batteries before shipment. The cells reach optimal performance after priming that involves several charge/discharge cycles. This is part of normal use and can also be done with a battery analyzer. Early readings are often inconsistent and a battery may require 50-100 charge/discharge cycles to reach the best formation. Quality cells are known to perform to full specifications after only 5-7 cycles. Peak capacity occurs between 100-300 cycles, after which the performance starts to drop gradually.rechargeable cells include a safety vent that releases excess pressure if incorrectly charged. The vent on a NiCd cell opens at 1,000-1,400kPa (150-200psi). Pressure release through a re-sealable vent causes no damage; however, with each venting, some electrolyte escapes and the seal may begin leaking. The formation of a white powder at the vent opening makes this visible, and multiple venting will eventually result in a dry-out condition. A battery should never be stressed to the point of venting.charge Detection by Temperaturecharge detection of sealed nickel-based batteries is more complex than that of lead acid and lithium-ion. Low-cost chargers often use temperature sensing to end the fast-charge, but this can be inaccurate. The core of a cell is several degrees warmer than the skin where the temperature is measured, and the delay that occurs causes over-charge. Charger manufacturers use 50°C (122°F) as temperature cut-off. Although any prolonged temperature above 45°C (113°F) is harmful to the battery, a brief overshoot is acceptable as long as the battery temperature will drop quickly when the “ready” light appears.microprocessors, advanced chargers no longer rely on a fixed temperature threshold, but sense the rate of temperature increase over time, also known as delta Temperature over delta time, or dT/dt. Rather than waiting for an absolute temperature to occur, this method uses the rapid temperature increase towards the end of charge to trigger the “ready” light. The delta Temperaturemethod keeps the battery cooler than a fixed temperature cut-off, but the cells need to charge reasonably fast to trigger the temperature rise. Charge termination occurs when the temperature rises 1°C (1.8°F) per minute. If the battery cannot achieve the pace of temperature rise, an absolute temperature cut-off set to 60°C (140°F) terminates the charge.relying on temperature inflict harmful overcharges when a fully charged battery is removed and reinserted. This is the case with chargers in vehicles and desktop stations where a two-way radio is being removed with each use. Every reconnection initiates a fast-charge cycle that raises the battery temperature to the triggering point again. Li-ion systems have an advantage in that state-of-charge is being detected by voltage. Reinserting a fully charged Li-ion battery pushes the voltage to the full-charge threshold, and the charger turns off shortly without needing to create a temperature signature.charge Detection by Voltage Signaturechargers terminate charge when a defined voltage signature occurs. This provides more precise full-charge detection of nickel-based batteries than temperature-based methods. Monitoring time and voltage, a microcontroller in the charger looks for a voltage drop that occurs when the battery has reached full charge. This method is called negative delta V (NDV).is the recommended full-charge detection for “open-lead” nickel-based chargers. “Open-lead” refers to batteries that have no thermistor. NDV offers a quick response time and works well with a partially or fully charged battery. When inserting a fully charged battery, the terminal voltage rises quickly, and then drops sharply to trigger the ready state. The charge in this case lasts only a few minutes and the cells remain cool. NiCd chargers based on the NDV full-charge detection typically respond to a voltage drop of 10mV per cell.obtain voltage drop of 10mV per cell, the charge rate must be 0.5C and higher. Slower charging produces a less defined voltage drop and this becomes difficult to measure, especially if the cells are mismatched. In this case, each cell in a mismatched pack reaches the full charge at a different time and the voltage curve flattens out.to achieve a sufficient negative slope would allow the fast charge to continue. To prevent this, most chargers combine NDV with a voltage plateau detector that terminates the charge when the voltage remains in a steady state for a given time. For additional safety, most advanced chargers also include delta temperature, absolute temperature and a time-out timer.works best with fast charging. A fast charge also improves charge efficiency. At a 1C charge rate, the charge efficiency of a standard NiCd is 91 percent, and the charge time is about an hour (66 minutes at an assumed charge efficiency of 91 percent). A battery that is partially charged or has reduced capacity due to age will have a shorter charge time because there is less to fill. In comparison, the efficiency on a slow charger drops to 71 percent. At a charge rate of 0.1C, the charge time is about 14 hours.the first 70 percent of charge, the efficiency of a NiCd is close to 100 percent; the battery absorbs almost all energy and the pack remains cool. NiCd batteries designed for fast charging can be charged with currents that are several times the C-rating without much heat buildup. Ultra-fast chargers use this quality and charge to 70 percent in minutes. Read more about Ultra-fast Chargers. The full charge must be done with a reduced current.1 illustrates the relationship of cell voltage, pressure and temperature of a charging NiCd. We observe an almost perfect charge behavior up to about 70 percent, after which the battery loses the ability to accept charge. The cells begin to generate gases, the pressure rises and the temperature increases rapidly. One can appreciate the importance of accurate full-charge detection to terminate the fast charge before damaging overcharge occurs. In an attempt to gain a few extra capacity points, however, some chargers allow a limited amount of overcharge.

1: Charge characteristics of a NiCd cellbatteries exhibits similar characteristics to NiCd.

high-capacity NiCd batteries tend to heat up more than standard NiCds when charging at 1C and higher, and this is partly due to the higher internal resistance. Applying a high current at the initial charge and then tapering to a lower rate as the charge acceptance decreases achieves good results with all nickel-based batteries. This moderates excess temperature rise while assuring fully charged batteries.discharge pulses between charge pulses is known to improve charge acceptance of nickel-based batteries. Commonly referred to as a “burp” or “reverseload” charge, this method assists in the recombination of gases generated during charge. The result is a cooler and more effective charge than with conventional DC chargers. There is also the believed benefit of reduced “memory” effect, as the battery is being exercised while charging with pulses. Read about Memory: Myth or Fact? While pulse charging may be valuable for NiCd and NiMH batteries, this type of charge does not apply to lead- and lithium-based systems. These batteries work best with a pure DC charge voltage.full charge, the NiCd battery receives a trickle charge of between 0.05C and 0.1C to compensate for the self-discharge. To reduce possible overcharge, charger designers aim for the lowest possible trickle charge current. Even though the trickle charge is carefully measured, it is best not to leave nickel-based batteries in a charger for more than a few days. Remove them and recharge before use.Flooded Nickel-cadmium Batteriesflooded NiCd is charged with a constant voltage to about 1.55V/cell. The current is then reduced to 0.1C-rate and the charge continues until 1.55V/cell is reached again. At this point, a trickle charge is applied and the voltage is allowed to float freely. Higher charge voltages are possible but this generates excess gas and causes rapid water depletion.

-2012, C. J. Kikkert, through AWR Corp.

Зарядка никель-кадмиевых

Производителями батарей рекомендуем новые батареи медленно заряжаться в течение 16 до 24 часов перед использованием. Медленная зарядка приносит все клетки в аккумуляторной батарее на равном уровне заряда. Это важно, потому что каждая ячейка в никель-кадмиевой батарее могут иметь собственной выгружают на его собственной скорости. Кроме того, при длительном хранении электролит, как правило, стремятся к нижней части клетки и начальной непрерывной подзарядки помогает перераспределить электролита для устранения сухие пятна на сепаратора.

Производителями батарей не полностью отформатировать батареи перед пересылкой. Клетки достичь оптимальной производительности после грунтования, которая включает несколько циклов заряда / разряда. Это является частью нормальной эксплуатации, а также может быть сделано с помощью анализатора батареи. Ранние показания, часто бывают непоследовательны и батарея может требовать циклов 50-100 заряда / разряда до достижения наилучшего образования. Клетки качество, как известно, для выполнения полной спецификации только после 5-7 циклов. Пиковая пропускная способность происходит между 100-300 циклов, после чего производительность начинает постепенно снижаться.

Большинство перезаряжаемых элементов включают в себя защитный клапан, который выпускает избыточное давление, если неправильно заряжен. Вентиляционное отверстие на ячейку NiCd открывается в 1,000-1,400kPa (150-200psi). Сброса давления через закрывающийся вентиляции не вызывает каких-либо повреждений; Однако, с каждым вентиляции, некоторые побеги электролита и уплотнение может начать протекать .Образование белого порошка в вентиляционное отверстие делает это видно, и несколько вентиляции в конечном итоге привести к сухой выход состояния. Батарея не должна быть подчеркнул к точке вентиляции.