|
Таблица 2.2 - Градуировка термопары при 100 °С |
||||
|
Время |
ТЭДС1 |
ТЭДС2 |
ТЭДС3 |
ТЭДС4 |
|
0,375 |
3,3 |
3,3 |
3,3 |
3,3 |
|
1,375 |
3,3 |
3,3 |
3,3 |
3,3 |
|
2,375 |
3,3 |
3,3 |
3,3 |
3,3 |
|
3,375 |
3,3 |
3,3 |
3,3 |
3,3 |
|
4,375 |
3,3 |
3,3 |
3,3 |
3,3 |
|
5,375 |
3,3 |
3,3 |
3,3 |
3,3 |
|
6,375 |
3,3 |
3,3 |
3,3 |
3,3 |
|
7,375 |
3,3 |
3,3 |
3,3 |
3,3 |
|
8,375 |
3,3 |
3,3 |
3,3 |
3,3 |
|
9,375 |
3,3 |
3,3 |
3,3 |
3,3 |
|
10,375 |
3,3 |
3,3 |
3,3 |
3,3 |
|
11,375 |
3,3 |
3,3 |
3,3 |
3,3 |
|
12,375 |
3,3 |
3,3 |
3,3 |
3,3 |
2.2.7 Построение графиков зависимости изменения ТЭДС от температуры
После нахождения ТЭДС термопар были построены графики зависимости изменения ТЭДС от температуры в нескольких точках т. к. характеристики многих термопар являются прямолинейными. Для построения графиков использовались значения полученные после градуировка термопар при 0 °С и 100 °С
Нашли средние значения термо-ЭДС при
и при
и привели
их в таблице 2.3. В результате аппроксимации была получена линейная зависимость
t = 24,39*ТЭДС + 19,512 с целью определения промежуточных значений температуры
с точностью до 0,1 0С.
|
Таблица 2.3 - Зависимость ТЭДС от температуры воды |
|||||
|
Зависимость ТЭДС от температуры воды |
|
||||
|
Градусы |
t2 |
t1 |
t4 |
t3 |
среднее |
|
0,°C |
-0,8 |
-0,8 |
-0,8 |
-0,8 |
-0,8 |
|
100,°C |
3,3 |
3,3 |
3,3 |
3,3 |
3,3 |

Рисунок 2.7 - Результаты тарирования термопар в
точках 1,2,3,4
Полученные результаты эксперимента
В результате поддержания в течении 4 дней постоянных температур внутри климатической камеры воздуха в помещении процесс теплопередачи вышел на стационарный процесс.

Рисунок 2.8 - Распределение температуры по слоям
трёхслойной ограждающей конструкции.
По рисунку 2.8 видно, что процесс теплопередачи вышел на стационарный режим на второй день. Это обусловлено низким коэффициентом теплопроводности второго слоя, выполненного из пенополистирола.
В связи с тем, что температуры внутри слоёв
ограждающей конструкции постоянны, следовательно, значение коэффициентов
теплопроводности, которые определяются с помощью измерительного прибора МИТ-1,
будут удовлетворительны для определения сопротивления теплопередач конструкции.
Значения коэффициентов теплопроводности, определенные экспериментально
представлены на рисунке 2.8.

Рисунок 2.9 - Коэффициенты теплопроводности
слоёв.
В результате эксперимента, значения коэффициентов теплопроводности слоёв составили:
для 2 слоя (пенополистерол) λ2= 0,040333 Вт/(м2*0С),
для 3 слоя (цементно-песчаный раствор) λ3=
0,994167 Вт/(м2*0С).
Таблица 2.4 - Результаты эксперимента
|
Дата |
Гисметео |
Термогигрометр testo 625 |
Датчик |
Термогигрометр testo 625 |
||||||
|
|
|
температура воздуха внутри помещения |
температура воздуха внутри камеры |
отностительная влажность воздуха внутри помещения |
отностительная влажность воздуха внутри камеры |
|||||
|
|
t н,°C |
Погода |
t вн,°C |
t н,°C |
|
|
||||
|
03.06.2016 |
20 |
солнце |
20,5 |
-5,9 |
56 |
69 |
||||
|
04.06.2016 |
15 |
дождь |
20,8 |
-6 |
65 |
67 |
||||
|
06.06.2016 |
15 |
дождь |
20,6 |
-6 |
52 |
59 |
||||
|
Температура на внутренней поверхности 1 слоя |
Температура между 1 и 2 слоем |
Температура между 2 и 3 слоем |
Температура на внутренней поверхности 3 слоя |
Плотность теплового потока на внутренней поверхности 1 слоя |
1 слоя |
2 слоя |
3 слоя |
1 слоя |
2 слоя |
3 слоя |
|
t1,°C |
t2,°C |
t3,°C |
t4,°C |
q1,Вт/м2 |
λ1, Вт/(м·°C) |
λ2 Вт/(м·°C) |
λ3 Вт/(м·°C) |
|
|
|
|
21,951 |
19,512 |
0,149 |
0,00 |
4 |
1,123 |
0,045 |
0,986 |
5 |
0 |
3 |
|
19,512 |
19,512 |
0,00 |
0,00 |
7 |
1,121 |
0,041 |
0,983 |
5 |
0 |
3 |
|
19,512 |
19,512 |
0,00 |
0,00 |
7 |
1,091 |
0,032 |
0,981 |
5 |
0 |
3 |
Анализ микроклимата аудиторий климатической
камеры проведен на базе парка измерительных приборов кафедры
«Теплогазоснабжение и вентиляция» ВоГУ. Для измерения температуры и
относительной влажности внутреннего и наружного воздуха, поверхностей
ограждающих конструкций применялось следующее измерительное оборудование:
пирометр Testo 830-T1 ;термогигрометр Testo 625; измеритель плотности теплового
потока серии ИПП-2; Влагомер ВИМС - 1.У и с помощью измерительного прибора
МИТ-1.
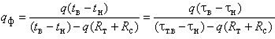
.2.9 Обработка результатов
Среднюю за период измерений фактическую
плотность теплового потока определяем по формуле:
;
q - cредняя за расчетный период
измеренная плотность теплового потока, Вт/м
RT - термическое сопротивление преобразователя теплового потока, определяемого по его паспортным данным, м°С/Вт;- термическое сопротивление слоя, прикрепляющего преобразователь теплового потока, м°С/Вт; определяемое расчетом;в и tн - средние за расчетный период измерений значения температур соответственно внутреннего и наружного воздуха,°С;
н и
в
- средние за расчетный период измерений значения температур соответственно
внутренней и наружной поверхностей ограждающей конструкции, °С;
Сопротивление теплопередаче
для
термически однородной зоны ограждающей конструкции вычисляют по формуле:
Термическое сопротивление отдельных слоев
ограждающей конструкции рассчитывается:
где
-
разность температур на границах слоя, °С;
С целью сопоставления фактических
значений теплопроводности материалов, использованных в конструкции, с
проектными значениями, теплопроводность материала слоя
определяют
по формуле:
.2.10 Результаты расчетов
Результаты получены по методике ГОСТ 26254-84.
[2]
Таблица 2.5 - Результаты расчета
|
Геометрические параметры конструкции |
|
|
Толщина 1 слоя |
0,135 м |
|
Толщина 2 слоя |
0,145 м |
|
Толщина 3 слоя |
0,07 м |
|
Сопротивление теплопередаче и коэффициент теплопроводности |
|
|
Сопротивление теплопередач преобразователя теплового потока |
0,1 м2·°C/Вт |
|
Сопротивление теплопередаче слоя, прикрепляющего преобразователь теплового потока |
0,1 м2·°C/Вт |
|
Средняя за период измерений фактическая плотность теплового потока |
7,39 Вт/м2 |
|
Сопротивление теплопередаче 1 слоя |
0 м2·°C/Вт |
|
Сопротивление теплопередаче 2 слоя |
2,64 м2·°C/Вт |
|
Сопротивление теплопередаче 3 слоя |
0 м2·°C/Вт |
|
Сопротивление теплопередач внутренней и наружной поверхностей (ГОСТ 26254-84) |
0,97 |
|
Сопротивление теплопередач трёхслойной конструкции (ГОСТ 26254-84) |
3,61 м2·°C/Вт |
В результате исследования мы нашли
теплопроводность слоев теплоблока, после чего полученные данные сравнили со
СНиП II-3-79 [4] и фактическими данными производителя. Сравнения представлены
на рисунке 2.9. Результаты теплопроводности СНиП II-3-79, эксперимента и
производителя представлены в таблице 2.6.
|
Таблица 2.6 - Теплопроводность |
|||
|
Теплопроводность |
|||
|
|
СНиП |
Эксперимент |
ОНИКС |
|
λ1 |
0,9300 |
1,1124 |
1,4310 |
|
λ2 |
0,0380 |
0,0403 |
0,0420 |
|
λ3 |
0,9300 |
0,9942 |
1,4310 |

Рисунок 2.10 - Сравнение результатов
теплопроводности
2.3 Проведение испытания кирпича керамического
(полнотелого и пустотелого) и кирпича керамического одинарного по показателю
коэффициент теплопроводности
Коэффициент теплопроводности каждого вида кирпичной кладки определяли экспериментально на фрагменте кладки размерами более 1500x1500 мм, толщиной полтора кирпича с чередованием тычкового и ложкового рядов на цементно-песчаном растворе.
Место проведения - лаборатория строительной
физики кафедры промышленное и гражданское строительство ФГБОУ ВО «Вологодский
государственный университет».
.3.1 Нормативно техническая документация
ГОСТ 530-2012. Кирпич и камень керамические. Общие технические условия.[1]
ГОСТ 26254-84. Здания и сооружения. Методы определения сопротивления теплопередаче ограждающих конструкций.[2]
ГОСТ 25380-82 Здания и сооружения. Метод
измерения плотности тепловых потоков, проходящих через ограждающие
конструкции.[3]
.3.2 Применяемое оборудование
Для определения теплопроводности фрагмента стены в лабораторных условиях использовались:
климатическая камера ХК-17,7 состоящая из холодного и тёплого отсеков, между которыми установлен испытуемый образец кирпичной кладки;
измеритель плотности теплового потока и температуры ИТП-МГ4.03./Х(У) «ПОТОК»;
ИТП МГ4.03 предназначен для измерения плотности тепловых потоков, проходящих через однослойные и многослойные ограждающие конструкции зданий и сооружений по [3], через облицовку и теплоизоляцию энергообъектов при экспериментальном исследовании и в условиях эксплуатации.
Приборы позволяют измерять температуру воздуха внутри и снаружи помещения, а также измерять плотность тепловых потоков.
Приборы обеспечивают выполнение измерений одновременно по пяти измерительным каналам в оперативном режиме, а также в режиме наблюдения с автоматической регистрацией тепловых потоков и температуры через интервалы времени, установленные пользователем. Длительность наблюдения до 360 часов.
Прибор оснащен часами реального времени,
функцией передачи данных на ПК с возможностью документирования и построения
диаграмм. Получаемая в процессе измерений информация автоматически архивируется
и маркируется датой и временем измерения. Питание осуществляется от элемента
6LR61 или от сетевого блока питания.
Рисунок 2.11 - Измеритель плотности теплового
потока и температуры ИТП-МГ4.03
гигрометр психометрический ВИТ-2;
лабораторные термометры;
весы лабораторные BJIP-200;
камера тепла Т-579.
Термогигрометр цифровой ТГЦ-МГ4.01
Предназначен для измерения относительной влажности и температуры в неагрессивных газовых средах производственных и жилых помещений, в сушильных и климатических камерах, вентиляционных системах.
Прибор выполнен в виде электронного блока и выносного зонда с преобразователями влажности и температуры, оснащен функциями оперативных измерений влажности и температуры воздуха, а также определения температуры точки росы.
Прибор ТГЦ-МГ4.01 дополнительно обеспечивает выполнение измерений в режиме наблюдения с автоматической регистрацией влажности и температуры воздуха, температуры точки росы через интервалы времени, установленные пользователем.
Длительность наблюдения - до 24 часов (до 72
часов по спецзаказу). Интервал измерений - от 10 до 120 минут. Объем
архивируемой информации - до 200 результатов измерений. Прибор оснащен часами
реального времени, имеет связь с ПК.
Рисунок 2.12 - Термогигрометр ТГЦ-МГ4.01
.3.3 Методика испытаний
Метод определения теплопроводности в лабораторных условиях основан на создании в ограждающей конструкции стационарного теплового потока между холодным и теплым отсеками климатической камеры. Испытания проводились в соответствии с ГОСТ 530-2012[1], ГОСТ 26254-84[2]. Испытуемый образец устанавливается в климатической камере с автоматическим поддержанием температуры в холодной и тёплой зонах.
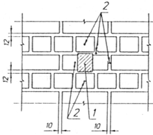
Перед испытанием на наружной и внутренней
поверхностях кладки в центральной зоне устанавливают пять термопар.
Дополнительно на внутренней поверхности кладки устанавливают тепломеры по
действующему нормативному документу. Термопары и тепломеры устанавливают так,
чтобы они охватывали зоны поверхности ложкового и тычкового рядов кладки, а
также горизонтального и вертикального растворных швов. Теплотехнические
параметры фиксируют после наступления стационарного теплового состояния кладки
не ранее чем через 72 ч после включения климатической камеры. Измерение
параметров проводят не менее трех раз с интервалом 2-3 ч.
- тепломер; 2 - термопара
Рисунок 2.13 - Расположение тепломера и термопар
Испытания проводились в два этапа, с предварительной сушкой до влажности не более 6% и дополнительной сушкой образца до 1%-3% влажности. Термопары устанавливались с обеих сторон образца, измерение плотности теплового потока проводилось на тёплой стороне образца. Для измерения температуры и относительной влажности воздуха использовался гигрометр психометрический ВИТ-2. После стабилизации режима теплообмена через 4 дня (достижения постоянства температуры по толщине образца и плотности теплового потока) проводились замеры температур тёплой и холодной поверхностей и плотности теплового потока, проходящего через образец. Результат испытаний приведен в приложении.