Федеральное государственное бюджетное образовательное учреждение
высшего профессионального образования
"Дальневосточный государственный университет путей сообщения"
Естественно научный институт
Кафедра
"Безопасность жизнедеятельности"
Курсовая работа
Инвентаризация
выбросов загрязняющих веществ в атмосферу от стационарных источников на
предприятиях железнодорожного транспорта расчетным методом
Выполнил:
студент 924 группы
Петров К.Е.
Проверила:
кандидат биологических наук,
доцент кафедры "БЖД"
Уфимцева Л.В.
Хабаровск
Содержание
железнодорожный загрязнение атмосфера воздух
Введение
Глава 1. Краткая характеристика предприятия
Глава 2. Характеристика технологических процессов. Структура выбросов
Глава 3. Характеристика физических свойств воздействия на окружающую среду и здоровье человека вредных веществ
Глава 4. Расчет разовых и валовых выбросов загрязняющих веществ
.1 Котельная
.2 Сборочно-разборочный участок
Заключение
Список
литературы
Введение
Вещества, ухудшающие качество окружающей среды, называются загрязнителями. Загрязнителями окружающей среды являются любые инородные поступления (материальные, энергетические), не свойственные для данной среды: это могут быть различные вещества, тепловая энергия, электромагнитные колебания, энергия вибраций, звука, радиации, которые поступают в среду в количествах, достаточных для того, чтобы оказать вредное воздействие на биоту.
Поступление в среду различных загрязнителей называется загрязнением природной окружающей среды. Любая деятельность человека сопровождается большим или меньшим загрязнением окружающей среды.
В ходе данной курсовой работы мне предстоит провести инвентаризацию выбросов загрязняющих веществ в атмосферу от стационарных источников на предприятии железнодорожного транспорта (Щебеночный завод) расчетным методом.
Глобальными источниками загрязнений окружающей природной среды являются производственная и бытовая деятельность человека, а также природные явления, приводящие к возникновению чрезвычайных ситуаций.
Целью моей работы является расчет валовых и максимально разовых выбросов загрязняющих веществ в атмосферный воздух. Основными целями инвентаризации являются:
выявление и достоверный учет всех стационарных источников загрязнения атмосферного воздуха
установление местонахождения источников, состава и объема выбросов
учет поступления вредных веществ в атмосферу
разработка мероприятий по улавливанию, обезвреживанию и сокращению поступления вредных веществ в атмосферный воздух.
Глава 1. Краткая характеристика предприятия
Щебень является продуктом дробления горных пород, а также искусственных каменных материалов. Данный вспомогательный строительный материал на начальном этапе представляет собой каменную горную породу, добываемую в карьере, которая затем проходит процесс механической сортировки (грохочение).
Щебень, являясь нерудным материалом, обладает целым рядом специфических свойств, определяющих его значимость в строительной отрасли.
К числу таких свойств относятся следующие:
Прочность. Данное свойство определяется пределом прочности первичной горной породы в момент сжатия, дробимостью щебня при сдавливании в цилиндре, а также степенью износа в полочном барабане. Полученные показатели будут отражать аналогичное сопротивление материала в момент воздействия движущихся по дороге транспортных средств и оказания механического воздействия строительной техники, использующейся при дорожных работах.
Одним из классификационных признаков щебня является его марка. В соответствии с ней данный материал подразделяется на следующие группы:
высокой прочный (М1200-1400);
прочный (М800-1200);
средней прочности (М600-800);
низкой прочности (М300-600);
самой низкой прочности (М200).
При нормировании содержания зерен слабых пород щебня исходят из предела прочности первичной породы в момент сжатия в водонасыщенном состоянии до уровня в 20 МПА. Согласно ГОСТу 8267-93 "Щебень и гравий из плотных горных пород для строительных работ", щебень, относящийся к маркам М1400, М1200, М1000, не должен включать в свой состав зерна слабых пород в размере более 5%; М800, М600, М400 - более 10%; М300 и М200 - более 15% в своем количестве.
Лещадность. Наряду с нормированием зерен слабых пород, в щебне также нормируют и количество зерен игловатой а также пластинчатой (т. е. лещадной) форм. К таким формам относятся те зерна, ширина или толщина которых составляет меньше их длины в 3 раза и более.
Исходя из формы зерен, щебень подразделяют на такие группы, как:
I группа - менее 10% содержания зерен игловатой и пластинчатой форм в общей массе щебня;
II группа - от 10% до 15%;
III группа - от 15% до 25%;
IV группа - от 25% до 35%;
более 35% до 50%.
Лещадность можно считать одним из важнейших свойств качества щебня. Исходя из этого, качественным считается тот щебень, который обладает меньшей лещадностью.
Применение щебня, обладающего кубовидной формой, обеспечивает достижение наиболее плотной утрамбовки.
Наличие в щебне игловатой и пластинчатой форм способствует увеличению пустотности между зернами в смеси. В дальнейшем это ведет к повышению расхода связующего компонента, что в свою очередь приводит к появлению дополнительных материальных затрат. Помимо этого, кубовидным зернам свойственна большая прочность, чем зернам, относимым к игловатой и пластинчатой форме. Поэтому включение кубовидного щебня в производство является экономически эффективной мерой.
Радиоактивность. Также неотъемлемым свойством щебня является его радиоактивность. Исходя из этого, выделяют два класса его радиоактивности. Класс I определяется величиной, меньшей, чем 370 беккерелей (единица СИ активности радиоактивных изотопов) на килограмм образца. По уровню радиоактивности класс II - более 370 Бк/кг. Щебень класса I используется во всех видах строительных работ. Щебень II класса применяется для дорожного строительства.
Морозостойкость. Данное свойство характеризуется количеством циклов замораживания и последующего оттаивания. Допускается оценка морозостойкости материала исходя из количества циклов насыщения в растворе сернокислого натрия и его высушивания. Так, по степени морозостойкости выделяют такие марки щебня как F15, F25, F50, F100, F150, F200, F300, F400.
Зерновой состав. Данное свойство отдельной фракции щебня должно соответствовать требованию ГОСТа 8267-93, согласно которому, в каждой фракции щебня, направляемой на строительные работы, например, 20-40мм, число зерен, размер которых менее 20мм, не должно быть более 10%, а зерен крупнее 1,25*D (50 мм) не должно превышать 0,5%. Данные требования предназначены для обязательного соблюдения зернового содержания отдельных фракций щебня.
Содержание глинистых и пылевидных частиц. Данное свойство щебня также подвергается нормированию. Размер частиц допускается не более 0,05 мм. Наряду с этим выделяют комки глины, крупность частиц которых составляет от 1,25 мм до наиболее крупного размера зерен щебня конкретной фракции при их смешении. Относительно всех видов и марок щебня по уровню прочности концентрация глины в комках глинястых и пылевидных частиц должно быть не более 0,25% от их массы. Щебень, происходимый из метаморфических и магматических пород, должен содержать менее 1% данных частиц, щебень из осадочных пород марок от М200 до М400 - менее 3%, а марок от М600 до М1200 - менее 2%.
Самым экономичным щебнем, который применяется в строительстве, является известняковый, представляющий собой камни белого или иного цвета в зависимости от примесей. Состав известнякового щебня в основном включает в себя кальцит или карбонат кальция.
Глава 2. Характеристика технологических
процессов. Структура выбросов
Основным специфическим загрязняющим веществом для данного производства является пыль с содержанием кремнезема менее 70%, источником которой будет карьер с отвальным хозяйством и щебеночный завод это следует с очевидностью: суммарная нагрузка на границе СЗЗ достигает ПДК и летом даже в жилой застройке приближается к ней.
По хозяйству пути и сооружений в плане выделяют работы по реконструкции пути, по земляному полотну, усилению и постройке новых искусственных сооружений, путевых зданий, дистанционных и дорожных мастерских, по снегозащитным мероприятиям, а также по открытию балластных карьеров, строительствущебеночных заводов и заводов железобетонных шпал, рельсо-сварочных цехов и поездов, сроки их ввода и объем механизации путевых работ. Различают песчаные и каменные карьеры. В каменных карьерах добывают камень, который затем нащебеночных заводах превращается в щебень.
Щебеночные заводы оснащены дробильными машинами, транспортерами, грохотами и бункерами для погрузки щебня в вагоны. Балластный слой служит для равномерной передачи давления от шпал на возможно большую поверхность основной площадки земляного полотна, чтобы избежать его деформации.
Керамзитовый щебень - легкий заполнитель бетона
и железобетона, производимый, преимущественно угловой формы, с размерами зерен
от 5 до 40 мм в поперечнике; получают путем дробления крупных глыб или кусков
вспученной массы керамзита, обожженного во вращающихся печах
Глава 3 Характеристика физических свойств
воздействия на окружающую среду и здоровье человека вредных веществ
Каждый раз при использовании метила или этилбензола их испарения попадают в окружающую нас природу. Они легко испаряются, смешиваясь с воздухом, которым мы дышим.
Отметим, что толуол и этилбензол довольно быстро испаряются с поверхности воды. Не задерживаются они и в почве, подвергаясь активной переработке многочисленными микроорганизмами. Всё становится сложнее при попадании этих жидкостей в воздух или подземные воды: там содержится недостаточное количество микроорганизмов для их переработки, и человек может легко отравиться толуолом и этилбензолом, как в жидком, так и в газообразном состоянии.
В жидком состоянии данные вещества проникают через кожу и попадают в кровь. А в форме испарений попадают через дыхательные пути в лёгкие, а оттуда - снова в кровь.
Сернистый ангидрид представляет собой бесцветный газ с характерным резким запахом, обладающий удушающим и общеядовитым действием. Перевозят его в сжиженном состоянии под давлением. При выходе в атмосферу он дымит, скапливается в низких участках местности, подвалах, тоннелях, заражает водоемы.
Пыль является наиболее распространенным неблагоприятным фактором производственной среды. Многие технологические процессы и операции в промышленности. Производственная пыль не только отрицательно воздействует на организм человека, но иногда и ухудшает производственную обстановку (видимость, ориентирование) в пределах рабочей зоны и одновременно приводит к быстрому разрушению трущихся частей машины. Кроме того, пыль может быть взрывоопасной, являться источником статических зарядов электричества, а также может быть переносчиком микробов.
Поражающее действие пыли на организм человека во
многом определяется ее физико-химическими свойствами, токсичностью,
дисперсностью, т.е. размером частиц пыли, а также концентрацией в воздухе
рабочей зоны. Степень опасности пыли зависит также от формы ее частиц, их
твердости, волокнистости, электрозаряженности, удельной поверхности и др.
свойств.
Глава 4. Расчет разовых и валовых выбросов
загрязняющих веществ
.1 Котельная
Валовый выброс твердых частиц в дымовых газах
котельных Мт (т/год) определяется по формуле:
Мт =
=13,07
т/год
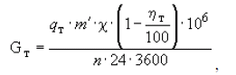
Максимально разовый выброс GТ (г/с) определяется
по формуле:
=
=
2,14г/с
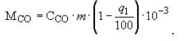
Валовый выброс оксида углерода МСО
рассчитывается по формуле:
Выход окиси углерода при сжигании топлива:
= 0,5*1*16,88=8,44
кг/т
МСО =
=
14,154 т/год
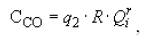
Максимально разовый выброс оксида углерода GСО
(г/с) определяется по формуле:
СО=
=
2,312 г/с
Валовый выброс оксидов азота Маз определяется по
формуле:
Маз = 1700*16,88*0,16*1*10-3 = 4,59 т/год
Максимально разовый выброс диоксида азота (г/с)
определяется по формуле:

= 0,75 г/с
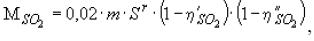
Валовый выброс оксидов серы (т/год) определяется только для твердого и жидкого топлива по формуле:
=
0,02*1700*0,7*(1-0,5)*1=11,9т/год
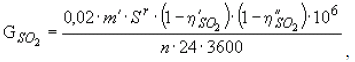
Максимально разовый выброс GSO2 определяется по
формуле:
=
=0,0002 г/с
.2 Сборочно-разборочный участок
Максимально разовые выбросы пыли Gп (г\с), удаляемые аспирационными установками, определяются по формуле
Первичное дробление:
загрузки=
=0,44
г/свыгрузки=
=0,81 г/с
Среднее и мелкое дробление:загрузки=
=0,08
г/свыгрузки=
=14,4 г/с
Сортировка:выгрузки=
=30
г/с
Транспортировка материалов:
а) С ленточного конвеера в бункер конусных дробилок
=
=2,8 г/с
б) С ленточного конвеера в бункер грохотов
корпуса сортировки=
=6,05 г/с
в) С грохота ГИТ 52Н на ленточный конвеер=
=4,95
г/с
Валовые выбросы пыли при транспортироке Мп (т/год) определяются по формуле
Первичное дробление
Мзагрузки
=2,05
т/год
Мвыгрузки=
=6,025
т/год
Среднее дробление
Мзагрузки=
=0,7
т/год
Мвыгрузки=
=114,4
т/год
Сортировка
М=
=19,98
т/год
а) С ленточного конвеера в бункер конусных
дробилок
М=
=21,3
т/год
б) С ленточного конвеера в бункер грохотов
корпуса сортировки
М=
=42,9
т/год
в) С грохота ГИТ 52Н на ленточный конвеер