Материал: Интерполяционная формула Гаусса

Внимание! Если размещение файла нарушает Ваши авторские права, то обязательно сообщите нам

Интерполяционная формула Гаусса

Кыргызский Национальный Университет ИМ. Ж. Баласагына












CPC

на тему: Интерполяционная формула Гаусса


Выполнил: ст.гр. “ПМиИбк-14”

Туляев Т.T.

Преподаватель кафедры “МИиК”

Назарбаев Ф.Т.

Введение

Иоганн Карл Фридрих Гаусс (30 апреля <https://ru.wikipedia.org/wiki/30_%D0%B0%D0%BF%D1%80%D0%B5%D0%BB%D1%8F> 1777 <https://ru.wikipedia.org/wiki/1777_%D0%B3%D0%BE%D0%B4>, Брауншвейг <https://ru.wikipedia.org/wiki/%D0%91%D1%80%D0%B0%D1%83%D0%BD%D1%88%D0%B2%D0%B5%D0%B9%D0%B3> - 23 февраля <https://ru.wikipedia.org/wiki/23_%D1%84%D0%B5%D0%B2%D1%80%D0%B0%D0%BB%D1%8F> 1855 <https://ru.wikipedia.org/wiki/1855_%D0%B3%D0%BE%D0%B4>, Гёттинген <https://ru.wikipedia.org/wiki/%D0%93%D1%91%D1%82%D1%82%D0%B8%D0%BD%D0%B3%D0%B5%D0%BD>) немецкий <https://ru.wikipedia.org/wiki/%D0%93%D0%B5%D1%80%D0%BC%D0%B0%D0%BD%D0%B8%D1%8F> математик <https://ru.wikipedia.org/wiki/%D0%9C%D0%B0%D1%82%D0%B5%D0%BC%D0%B0%D1%82%D0%B8%D0%BA%D0%B0>, механик <https://ru.wikipedia.org/wiki/%D0%9C%D0%B5%D1%85%D0%B0%D0%BD%D0%B8%D0%BA%D0%B0>, физик <https://ru.wikipedia.org/wiki/%D0%A4%D0%B8%D0%B7%D0%B8%D0%BA>, астроном <https://ru.wikipedia.org/wiki/%D0%90%D1%81%D1%82%D1%80%D0%BE%D0%BD%D0%BE%D0%BC> и геодезист <https://ru.wikipedia.org/wiki/%D0%93%D0%B5%D0%BE%D0%B4%D0%B5%D0%B7%D0%B8%D1%81%D1%82>. Считается одним из величайших математиков всех времён, «королём математиков»[3] <https://ru.wikipedia.org/wiki/%D0%93%D0%B0%D1%83%D1%81%D1%81,_%D0%9A%D0%B0%D1%80%D0%BB_%D0%A4%D1%80%D0%B8%D0%B4%D1%80%D0%B8%D1%85>. Лауреат медали Копли <https://ru.wikipedia.org/wiki/%D0%9C%D0%B5%D0%B4%D0%B0%D0%BB%D1%8C_%D0%9A%D0%BE%D0%BF%D0%BB%D0%B8> (1838), иностранный член Шведской <https://ru.wikipedia.org/wiki/%D0%A8%D0%B2%D0%B5%D0%B4%D1%81%D0%BA%D0%B0%D1%8F_%D0%BA%D0%BE%D1%80%D0%BE%D0%BB%D0%B5%D0%B2%D1%81%D0%BA%D0%B0%D1%8F_%D0%B0%D0%BA%D0%B0%D0%B4%D0%B5%D0%BC%D0%B8%D1%8F_%D0%BD%D0%B0%D1%83%D0%BA> (1821) и Российской <https://ru.wikipedia.org/wiki/%D0%A0%D0%BE%D1%81%D1%81%D0%B8%D0%B9%D1%81%D0%BA%D0%B0%D1%8F_%D0%B0%D0%BA%D0%B0%D0%B4%D0%B5%D0%BC%D0%B8%D1%8F_%D0%BD%D0%B0%D1%83%D0%BA> (1824) Академий наук, английского Королевского общества <https://ru.wikipedia.org/wiki/%D0%9B%D0%BE%D0%BD%D0%B4%D0%BE%D0%BD%D1%81%D0%BA%D0%BE%D0%B5_%D0%BA%D0%BE%D1%80%D0%BE%D0%BB%D0%B5%D0%B2%D1%81%D0%BA%D0%BE%D0%B5_%D0%BE%D0%B1%D1%89%D0%B5%D1%81%D1%82%D0%B2%D0%BE>.

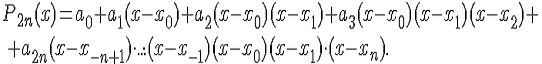
Интерполяционные формулы, формулы, дающие приближённое выражение функции  при помощи интерполяции <#"815178.files/image002.gif"> степени , значения которого в заданных точках  совпадают со значениями  функции  в этих точках. Многочлен  определяется единственным образом, но в зависимости от задачи его удобно записывать различными по виду формулами.

Первая и вторая интерполяционные формулы Гаусса

интерполяционный формула гаусс

Основным недостатком интерполяционных формул Ньютона является то, что они используют лишь односторонние значения функции. На практике часто оказывается полезным использовать формулы, в которых присутствуют как последующие, так и предыдущие значения функции по отношению к ее начальному значению .

Рассмотрим  равноотстоящих узлов , в которых заданы значения некоторой функции  Требуется найти полином степени не выше , такой, чтобы выполнялось условие

 (1)

Будем искать полином в виде

 (2)

Поступая по аналогии с выводом первой интерполяционной формулы Ньютона, для коэффициентов  <#"815178.files/image014.gif"> (3)

Введем новую переменную  <#"815178.files/image016.gif"> (4)

Разности используемые в этой формуле, образуют нижнюю ломаную линию в диагональной таблице разностей 1 (см. далее)

Если полином  искать в виде


то аналогично (4) можно получить вторую интерполяционную формулу Гаусса (для интерполирования назад)

 (5)

Разности , используемые в этой формуле, образуют верхнюю ломаную линию в диагональной таблице разностей 1

Формулы Гаусса применяются для интерполирования в середине таблицы вблизи . При этом первая формула Гаусса (4) применяется при , а вторая (5) - при

Таблица 1

Диагональная таблица разностей

 <#"815178.files/image025.gif"> <#"815178.files/image026.gif"> <#"815178.files/image027.gif"> <#"815178.files/image028.gif"> <#"815178.files/image029.gif"> <#"815178.files/image030.gif"> <#"815178.files/image031.gif"> <#"815178.files/image032.gif"> <#"815178.files/image033.gif"> <#"815178.files/image034.gif"> <#"815178.files/image035.gif"> <#"815178.files/image036.gif"> <#"815178.files/image037.gif"> <#"815178.files/image038.gif"> <#"815178.files/image039.gif"> <#"815178.files/image040.gif"> <#"815178.files/image041.gif"> <#"815178.files/image042.gif"> <#"815178.files/image043.gif"> <#"815178.files/image044.gif"> <#"815178.files/image045.gif"> <#"815178.files/image046.gif"> <#"815178.files/image047.gif"> <#"815178.files/image048.gif"> <#"815178.files/image049.gif"> <#"815178.files/image050.gif"> <#"815178.files/image051.gif"> <#"815178.files/image052.gif"> <#"815178.files/image053.gif"> <#"815178.files/image054.gif"> <#"815178.files/image053.gif"> <#"815178.files/image055.gif"> <#"815178.files/image053.gif"> <#"815178.files/image056.gif"> <#"815178.files/image057.gif"> <#"815178.files/image058.gif"> <#"815178.files/image059.gif"> <#"815178.files/image060.gif"> <#"815178.files/image061.gif"> <#"815178.files/image062.gif"> <#"815178.files/image063.gif"> <#"815178.files/image064.gif"> <#"815178.files/image065.gif"> <#"815178.files/image064.gif"> <#"815178.files/image066.gif"> <#"815178.files/image064.gif"> <#"815178.files/image067.gif"> <#"815178.files/image068.gif"> <#"815178.files/image069.gif"> <#"815178.files/image070.gif"> <#"815178.files/image071.gif"> <#"815178.files/image072.gif"> <#"815178.files/image073.gif"> <#"815178.files/image074.gif"> <#"815178.files/image075.gif"> <#"815178.files/image076.gif"> <#"815178.files/image077.gif"> <#"815178.files/image078.gif"> <#"815178.files/image079.gif"> <#"815178.files/image080.gif"> <#"815178.files/image081.gif"> <#"815178.files/image082.gif"> <#"815178.files/image083.gif"> <#"815178.files/image084.gif"> <#"815178.files/image085.gif"> <#"815178.files/image086.gif"> <#"815178.files/image024.gif"> <#"815178.files/image025.gif"> <#"815178.files/image026.gif"> <#"815178.files/image027.gif"> <#"815178.files/image028.gif"> <#"815178.files/image029.gif"> <#"815178.files/image030.gif"> <#"815178.files/image053.gif"> <#"815178.files/image053.gif"> <#"815178.files/image087.gif"> <#"815178.files/image064.gif"> <#"815178.files/image088.gif"> (0.645)=2.03345+0.19501*((0.645-0.62)/0.05) -

-(-0.06374*((0.645-0.62)/0.05) *((((0.645-0.62)/0.05)-1)/2) =

=2, 1389225

 

Приложение 2


 <#"815178.files/image025.gif"> <#"815178.files/image026.gif"> <#"815178.files/image027.gif"> <#"815178.files/image028.gif"> <#"815178.files/image029.gif"> <#"815178.files/image030.gif"> <#"815178.files/image089.gif"> (0,673)= 1,74926+(-1,12828)*(( 0,673-0.65)/0,07)-

(-1,01551*((0,673-0.65)/0,07)*(((( 0,673-0.65)/0,07)-1)/2)=1,712954


Не нашли материал для своей работы?
Поможем написать уникальную работу Без плагиата!