Материал: Гравитационное поле планет

Внимание! Если размещение файла нарушает Ваши авторские права, то обязательно сообщите нам

Гравитационное поле планет

Введение


В данной работе изучается гравитационное поле планет Солнечной системы. Прикладное значение исследования гравитационного поля планет очень велико. Гравитационное поле отражает характер распределения масс в её недрах и тесно связано с фигурой планеты, её внутреннем строением, топографией и др. Оно также определяет внешнюю баллистику планет, и это является крайне важным аспектом при планировании космических миссий.

Работа состоит из трёх частей. В первой части изучается связь гравитационного поля и фигуры планет Солнечной системы. Второй раздел посвящён описанию измерения коэффициента гравитационного потенциала J2 для Земли с помощью метода лазерной локации. Третья часть содержит изучение временного ряда, описывающего колебания J2 для Земли и выявление в этом ряде отдельных трендов.

Целью первой части работы, связанной с гравитационным полем планет Солнечной системы, является проверка выполнения теоремы Клеро о связи гравитационного поля и фигуры планет. Эта теорема позволяет вычислить сжатие планеты с помощью данных о гравитационном поле. Поэтому решаемая здесь задача - вычисление сжатия планет Солнечной системы по формуле Клеро и сравнение полученных значений с наблюдаемыми.

Также целью этой части является анализ вращения планеты и близости её фигуры к гидростатически равновесному состоянию. Для достижения этой цели производится вычисление периода обращения планет в гидростатически равновесном состоянии по формуле Радо-Дарвина. Полученные значения сравниваются с наблюдаемыми.

Целью второй части является исследование процессов, вызывающих колебания гравитационного поля нашей планеты, в частности, коэффициента J2. Для достижения этой цели производится анализ временного ряда колебаний коэффициента геопотенциала J2 по спутниковым данным и изучение обнаруженных трендов.

Все вычисления производятся в среде MATLAB. Для анализа временного ряда колебаний J2 используются Фурье анализ и сингулярный спектральный анализ (ССА).

Подобные исследования уже проводились другими методами, однако наблюдательный материал был меньше, в некоторых случаях отсутствовали результаты реальных измерений и использовались теоретически полученные значения. За последние годы накопилось дополнительные данные о колебаниях гравитационного поля Земли; также были получены новые результаты спутниковых измерений гравитационного поля других планет. Все эти данные позволяют провести более точное исследование.

В данной работе используется временной ряд колебаний коэффициента J2 для Земли, измеренный с 1976 года до марта 2016 года. Данные о планетах Солнечной системы взяты с сайта NASA, последнее обновление этих данных состоялось 28 января 2016 года. Коэффициенты, не представленные на этом сайте, были взяты из последних печатных работ, в которых они вычислялись на основе наиболее современных небесномеханических моделей.

Вычисления по формулам Клеро и Радо-Дарвина проводил в своих книгах В.Н. Жарков [1]. Колебания коэффициента гравитационного поля J2 исследовались в работе М. Ченга [2], где использовался метод вейвлет-анализа. Также J2 исследовалось с помощью Фурье анализа [3]. Метод сингулярного спектрального анализа применялся для изучения других процессов, протекающих на Земле, к примеру, изменения содержания озона в атмосфере планеты [4] или колебаний глобальной температуры [5]. В данном исследовании проводится сравнение найденных компонентов колебаний коэффициента геопотенциала J2 с другими процессами, происходящими на Земле. В работах [5,13] была предположена связь между колебаниями скорости вращения Земли и глобальными изменениями климата; в представленном нами исследовании с этими процессами сравниваются и колебания гравитационного поля.

Новизна данного исследования заключается в первую очередь том, что для анализа колебаний гравитационного поля применяется сингулярный спектральный анализ. Данный метод может способствовать нахождению новых, ранее необнаруженных трендов и периодичностей в исследуемом процессе. Также новым в этой работе является то, что в ней используются наиболее полные и наиболее современные данные о гравитационных полях планет Солнечной системы. Что касается временного ряда для колебаний коэффициента J2, то в большинстве предыдущих исследований используются данные, полученные начиная с конца 80-х годов прошлого века, тогда как данное исследование использует измерения, производившиеся с 1976 года до весны 2016, что является наиболее полными измерениями на сегодня.

В результате данного исследования проверено соответствие фигур планет Солнечной системы гидростатически равновесным моделям. Разделены и отфильтрованы от шумов компоненты изменчивости коэффициента J2 для Земли.

Наиболее важным итогом работы можно считать предварительное обнаружение 60-ти летнего колебания в коэффициенте J2 гравитационного поля Земли и сопоставление выявленных периодичностей с другими процессами, происходящими на нашей планете.

1.      Гравитационное поле планет

.1 Основные сведения о гравитационном поле и фигуре планеты

Сжатие планеты

Ньютон первым понял, что из-за вращения Земли её фигура должна быть не сферой, а эллипсоидом вращения, т.е. Земля сплющена у полюсов и растянута в экваториальной зоне. Ньютон впервые вычислил сжатие Земли α:


где a - экваториальный радиус, b - полярный радиус планеты. Правда, полученное им число α=1/230 (≈0.00435) было ещё весьма неточным.

Заключение Ньютона о сжатии Земли оспаривалось многими учёными, в числе которых был знаменитый французский астроном Кассини Ж.Д. Для проверки того, сжата Земля у полюсов, или вытянута, в середине XVIII в. академией наук Франции были организованы экспедиции для выполнения градусных измерений на различных широтах нашей планеты. В результате проделанных измерений было подтверждено, что фигура Земли представляет собой сплюснутый сфероид, полярная ось которого примерно на 20 км меньше экваториальной. Точка зрения Ньютона о сплюснутости фигуры Земли получила экспериментальное подтверждение, благодаря чему она была признана другими учёными.

Моменты инерции планеты

Тензор инерции твёрдого тела задаётся матрицей:

- главные (диагональные) моменты инерции,


центробежные моменты (произведения) инерции.

В системе координат главных осей инерции он приобретает диагональный вид:


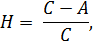
По главной оси расположены осевой С и экваториальные А и B моменты инерции.

Симметричный тензор можно привести к диагональному виду, выбрав такую систему координат, определяемую формой тела, в которой все элементы вне диагоналей будут равны нулю. Соответствующие направления координатных осей называются главными осями инерции.

Пренебрегая трехосностью Земли, можно считать А=B.

Cредний момент инерции при этом даётся выражением


Очевидно, что моменты инерции зависят от распределения масс внутри Земли. Уравнение состояния (зависимость плотности от давления) планеты может быть получено на основе данных сейсмологии, информации о гравитационном и магнитном полях, на основе моделей недр.

Важным дополнительным параметром для определения соотношения между C и А, помимо J2, является постоянная прецессии:


определяющая период прецессии оси планеты и измеряемая на основе астрономических наблюдений ().

Распределение плотности в недрах планеты существенно влияет на средний момент инерции I и, наоборот, значение I, определённое экспериментально, контролирует распределение плотности при модельных расчётах.

Введём ещё одну важную характеристику - безразмерный момент инерции


В случае планеты постоянной равномерно распределённой плотности её безразмерный момент инерции I* равен 0.4. Легко убедиться путём непосредственных численных расчётов, что при росте плотности в недрах планеты от периферии к центру величина I будет принимать значение, меньшее 0.4. Наоборот, если в планете происходит уменьшение плотности c глубиной, то значение I будет превосходить предельное значение, равное 0.4 (полых планет пока не обнаружено).

В недрах планет действуют заметные гравитационные поля, и если в процессе эволюции планеты в её недрах возникают зоны пониженной плотности под областями более высокой плотности, то возникают мощные архимедовы силы, стремящиеся вытолкнуть разуплотненные области ближе к поверхности. В таком случае считается, что в планете нарушено состояние механического равновесия, возникают напряжения. Поэтому средняя плотность является возрастающей функцией глубины, и её возрастание происходит за счёт сжатия под влиянием давления вышележащих слоёв, за счёт роста с глубиной концентрации тяжёлой компоненты и иногда из-за уплотнения при фазовых переходах при высоких давлениях.

В глубинных недрах существуют и процессы, приводящие к понижению плотности. Основные из них являются: повышение температуры, плавление, частичное (или фракционное) плавление с выделением компоненты с меньшей плотностью.

Эти процессы, однако, менее эффективны и оказывают не такое серьёзное воздействие, как процессы, приводящие к росту плотности планеты с глубиной.

Гравитационный потенциал и коэффициент J2

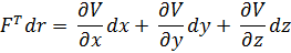
Потенциалом принято называть работу, которую нужно совершить, чтобы переместить материальную точку единичной массы из заданной точки в бесконечно удалённую. Пусть F есть вектор силы (записан в столбец), приложенной к материальной точке, r - радиус-вектор этой точки. Тогда потенциалом в данной точке будет величина:


Выражение под интегралом в данной формуле является полным дифференциалом силовой функции, т.е.


поэтому:

т.к. силовую функцию в бесконечно удалённой точке можно приравнять нулю (V(∞) = 0).

В геофизике под термином гравитационный потенциал понимается силовая функция.

Согласно фундаментальному закону Ньютона, две материальные точки притягиваются друг к другу с силой, прямо пропорциональной их массам и обратно пропорционально квадрату расстояния между ними.

Выберем систему координат так, чтобы одна из материальных точек оказалась в начале координат этой системы. Тогда другая материальная точка будет иметь радиус-вектор r.

Вектор напряжённости гравитационного поля в точке с радиус-вектором r равен силе, которая действует на материальную точку единичной массы. Вектор этой силы можно записать следующей формулой:


Где  - гравитационная постоянная. Абсолютная величина вектора F равна:


Соответственно, гравитационный потенциал точки (силовая функция) равен:


где  - расстояние между притягивающимися точками (скалярная величина).

Исходя из принципа суперпозиции, гравитационный потенциал  точек равен сумме их гравитационных потенциалов:


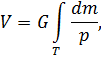
Пусть точек бесконечно много, а массы их бесконечно малы. Тогда:


где  - расстояние между фиксированной точкой P, в которой измеряется потенциал, и элементом притягивающей единичной массы .

Пусть  - координаты точки P, а ξ, η, ζ - координаты текущей точки с массой dm; тогда гравитационный потенциал можно переписать в виде следующей формулы:


Большинство крупных небесных тел имеет форму, близкую к сферической. Поэтому важно определить гравитационный потенциал шара. Для упрощения задачи предполагаем, что плотность шара зависит только от расстояния до его центра. Такой шар имеет силу притяжения точно такую же, как и материальная точка с массой, равной массе шара и находящаяся в его центре. Потенциалом шара будет:


где r - расстояние от центра сферы, GM - планетоцентрическая постоянная.

Однако, поскольку наша планета не является строго сферической, ограничиться при записи её гравитационного потенциала только потенциалом шара можно лишь на больших расстояниях. Основная составляющая отклонения гравитационного поля планеты от сферического вызвано её сжатием у полюсов. Роль играют и другие неоднородности фигуры планеты - её грушевидность и т.д. В данном исследовании мы сосредоточимся именно на сжатии, вносящим наиболее значительный вклад.

Отклонение внешнего гравитационного поля Земли от потенциала шара достаточно мало, порядка одной трёхсотой и меньше. Несмотря на это, его стоит учитывать и изучать, так как оно содержит ценную информацию о колебаниях плотности в недрах планеты, различии моментов инерции планеты относительно её полярной и экваториальной осей и об отклонении планетарных недр от состояния гидростатического равновесия.

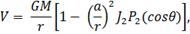
С учётом неоднородностей фигуры планеты, разложение гравитационного поля в ряд Лапласа с последующим переходом к полиномам Лежандра даёт для гравитационного потенциала осесимметричного тела формулу:


Нечетные члены отсутствуют, поскольку поле такой планеты симметрично относительно экватора (теорема Лихтенштейна).

Ограничиваясь первым членом суммы, получаем


- гравитационный момент, a - экваториальный радиус Земли,