Ч1
Мех рух — переміщ тіла у просторі і часі відносно інших тіл (нерухомих)
С-ма відліку — с-ть тіл і звязана з ними с-ма коорд відносно яких вивч рух тіла
Поч відліку — момент часу, з якого почин вивч руху тіла.
Мат точка — тіло розмірами якого можна знехтувати порівнюючи з відстанями які воно проходить.
Траекторія — слід тіла у просторі.
Шлях – довжина траекторії.
Переміщ — вектор з’єднуюючий поч та кін полож тіла.
Поступ рух — рух, при якому всі точки тіла або с-ми мат точок переміщ паралел траекторіями.
Оберт рух - рух тіла, при якому точки описують кола, розміщені в паралел площинах, причому центри.
Шв-сть — фіз величина, що є віднош переміщення тіла до проміжку часу, за який це переміщ відбувалось.
Прискор — зміна шв-сті тіла за одиницю часу.
Кут повороту — скаляр фіз величина, яка характеризує зміну положення тіла в просторі при обертальному русі і вимірюється кутом повороту радіуса, який проведено від осі обертання до певної точки тіла, що обертається.
Кутова шв-сть — віднош зміни кута при оберта до відрізку часу, за який ця зміна відбулася.
Кутове прискор тіла – це шв-сть зміни кутової шв-сті.
Сила — фіз величина, що х-ує ступінь взаємодії тіл.
Деформації тіла - зміна розмірів і форми твердого тіла
Мех напруга - віднош модуля сили пружн до площі поперечного перерізу тіла
Відносн подовж - величина, яка дорівнює відношенню абсолютного подовження тіла до його початкової довжини
Відносн поперечн стиснення — кількісн міра деформ, відношен зменшплощі попереч перерізу до почат площі попереч перерізу.
Напруженість гравітаційного поля – це силова х-ка поля тяжіння
Імпульс — вектор к-ті руху, міра мех руху тіла
Мех робота — переміщ тіла під дією сили.
Потужність — робота, що виконана за одиницю часу,
Енергія – здатність с-ми викон роботу
Кін енергія – енергія рухом. тіла яка вимір роботою яку виконає тіло до зупинки
Потенц енергія - енергія с-ми тіл, яка визнач їх взаємним розміщенням і х-ром сил взаємодії між ними
Консерв с-ма - мех с-ма, для якої має місце закон збереж мех енергії
Замкнута с-ма — с-ть фіз тіл, які не взаємодіють із зовн середовищем.
Дисипат с-ма — відкрита нелінійна с-ма, яка є далекою від стану термодинамічної рівноваги.
Абсолют тверде тіло — тіло, яке ні за яких умов не деформується
Момент сили - величина, що х-ує оберт ефект сили при дії її на тверде тіло
Пара сил — це с-ма двох сил F1 і F2, що діють на тверде тіло, рівних між собою за абсолютною величиною, взаємно-паралельних і спрямованих у протилежні сторони, тобто F1 = -F2.
Момент пари сил - вектор, модуль якого = добутку однієї з сил пари на плече пари, напрямлений перпендикулярно до площини дії пари у той бік, звідки обертання пари сил видно проти ходу стрілки годинника.
Момент інерції тіла - величина, що х-ує розподіл мас в тілі і є поряд з масою мірою інертності тіла при непоступ русі.
Моменту імпульсу тіла - вектор величина, яка х-ує інерційні властивості тіла, що здійснює оберт рух відносно певної точки
Ел заряд — це фіз величина, що х-ує здатність тіла до ел. магн. взаємодій.
Напруж електростат поля — силова х-ка ел. поля, відношен сили, що діє на пробний заряд до величини цього заряду.
Потік вектора електр індукції — к-ть ліній індукції, що проходять через довільну поверхню, проведену в полі.
Поверхнева густина заряду — скалярна фіз величина, що х-ує розподіл електр заряду по поверхні
Об'ємна густина заряду — скалярна фіз величина, що х-ує розподіл електр заряду по об'єму.
Лінійна густина заряду — це величина, яка = віднош заряду, розподіленому вздовж нитки, до довжини нитки
Потенціал електр поля — енергетична х-ка електричного поля
Еквіпотенц поверхня — поверхня, в усіх точках якої однаковий потенціал.
Різниця потенціалів електростатичного поля — х-ка ел. поля, різниця електростат потенціалів у двох точках простору.
Електроємність - фіз величина, яка вимір зарядом, потрібним для зміни його потенціалу на одиницю.
Об’ємна густина енергії електростат поля — потужн ел магн випромінювання, що проходить через одиницю площі поверхні.
Магнітна індукція — векторна фіз величина, основна х-ка величини і напрямку магнітного поля.
Потік вектора індукції магнітного поля — визначає сили, які діють на рухомі заряди в магнітному полі.
Ч2
1 з Н: всяке тіло зберіг стан спокою або рівномірн прямолін рух до тих пір, поки дія інших тіл не виведуть його з цього стану.
2 з Н: прискор мат точки прямо пропорційне силі, що на неї діє, та направлене в бік дії цієї сили. a = F/m
3 з Н: сили, що виникають при взаємодії двох тіл, є рівними за модулем і протилежними за напрямом. F1 = -F2
2 з Н через імпульс: в інерц с-мі відліку шв-cть зміни імпульсу мат точки = рівнодіючої всіх доданих до неї зовн сил.
Закон Гука для деформації розтягу (стиску): сила пружності пропорційна вектору видовження (стиску) і протилежна йому за напрямом: F = -kx
Закон
Гука для деформації зсуву
![]()
Закон
всесвіт тяж: сила
притяг між двома тілами (матточками)
прямо пропорційна добутку їхніх мас,
і обернено пропорційна квадрату відстані
між ними.
![]()
Закон збереж імпульсу у замкненій с-мі: геометр сума імпульсів залишається сталою при будь-яких взаємодіях тіл цієї с-ми між собою
Закон збереж механ енергії: якщо в замкнутій с-мі діють тільки сили тяжіння й пружності, то повна мех енергія системи залишається сталою. Eк + Eп = const
Осн
закон динаміки оберт руху

I = mR2 циліндр відносн осі оберт, перпенд до основ через їхні центри
I = 1/12 ml2 тонк стержн відносно осі, перпенд до нього і через середину стержн
I = 1/3 ml2 тонк стержн відносно осі, перпенд до нього і через край стержн
I = 2/5 mR2 куля
Теорему Штейнера: момент інерції тіла {\displaystyle I_{z}}I відносно довільної осі дорівнює сумі моменту інерції цього тіла I0 {\displaystyle I_{cm}}відносно осі, що проходить через центр маси тіла паралельно до осі, що розглядається і добутку маси тіла {\displaystyle m} m на квадрат відстані {\displaystyle d}d між осями: I = I0 + md2
Закон збереж моменту імпульсу: момент к-ті руху у замкн с-мі зберігпід час еволюції цієї с-ми з часом.
Закон
Кулона: сила
взаємодії F12 двох
точк нерухом зарядів q1 та
q2 у вакуумі прямо
пропорц добутку абсолют значень зарядів
і оберн пропорц квадрату відстані
r12 між
ними.
![]()
Принцип суперпозиції для електростатичного поля
Теорема Остроградського Гауса: повний потік напруженості через довільну замкнену поверхню = алгебрсумі електр зарядів, що містяться всередині цієї поверхні
Індукція електричного поля нескінченної зарядженої площини
Індукція електричного поля нескінченної зарядженої осі
Робота по переміщ заряду в електр полі: dA = Eqdl
Зв’язок
між напруж і потенц електрполя
![]()
Циркуляцією
вектора напруж
магн
поля вздовж замкнутого контуру L
називається
інтеграл вигляду
,
де Hl − складова
вектора Н у
напрямку контура, dl −
елемент довжини контуру.
Електроємн
плоского конденсатора
![]()
Електроємн
послід з’єдн конденсаторів
![]()
Електроємн паралел з’єдн конденсаторів Спар = С1+С2+…+Сn
Густина
енерг електр поля
w
= (1/8
)
E2
Закон
Ампера: сила, що діє на провідник зі
струмом, поміщений в однорідн магн
поле, пропорц довжині провідника,
вектору магн індукції, силі струму і
синусу кута між вектором магн індукції
і провідником.
![]()
Закон
Біо-Савара-Лапласа,
закон, який визначає магнітну індукцію
навколо провідника, в якому протікає
електричний струм.

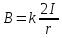
Індукція магнітного поля на осі кругового струму
Індукція магнітного поля прямолінійного провідника із струмом
Індукція магнітного поля довгого соленоїда
Сила Лоренца - сила, що діє на рухомий електр заряд, який перебуває у електромагнполі. FL = q(E+vB)
Закон повн струму: циркуляція вектора напружен магн поля по замкн контуру = повн струму, що пронизує поверхн, обмежену цим контуром.
Робота по переміщ провідника із струмом у магн полі А=І(Ф2−Ф1)=ІΔФ
Закон
Фарадея (закон електромагн індукції):
електроруш сила індукції в контурі
прямо пропорційна швидкості зміни магн
потоку через площу, обмежену контуром
замкнут провідника
Правило Ленца про напрямок індукц струму: індукц струм у замкн провіднику завжди має такий напрям, що створюваний цим струмом власний магн потік протидіє тим змінам зовн магн потоку, які збуджують індукц струм.
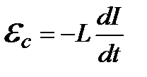
Самоіндукція
— явище виникн електроруш сили в
провіднику при зміні електр струму в
ньому.
![]()
Індуктивність довгого соленоїда L = μ0n2Sl = μ0n2V
Густина
енергії магнітного поля
w
= (1/8
)
B
H
Напруж
магн поля на осі кругового провідника
із струмом
![]()
напруж
магн поля на прямолінійн провідника
із струмом
![]()
напруж
магн поля соленоїда
![]()
Робота
по переміщ провідника із струмом у магн
полі
![]()