Материал: ГИДРАВЛИКаПРИЛОЖЕНИЕ1+

Внимание! Если размещение файла нарушает Ваши авторские права, то обязательно сообщите нам

П р и м е ч а н и е. Для кожухотрубных аппаратов:

при повороте на между ходами 2,5;

при повороте на через перегородку в межтрубном пространстве 1,5;

при повороте на в межтрубном пространстве 1,0;

при повороте на в секционном теплообменнике 2,0.

Таблица 32

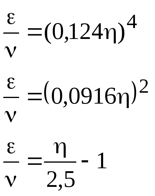
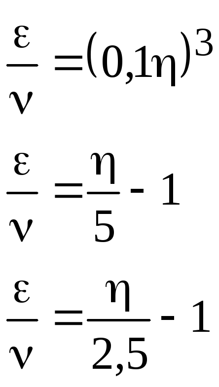
Математические модели затухания турбулентных пульсаций

Вид функции

Границы

изменения

Сте-

пень

зату-

хания

Литература

IV

[11]

IV

[6], [9]

Во всем

диапазоне

изменения

IV

[11]

III

[11]

III

[10]

Таблица 33

Значения шероховатостей для различных труб

Трубы

Состояние трубы

, мм

Тянутые из стекла и

цветных металлов

Новые, технически

гладкие

Бесшовные стальные

Новые и чистые, тщательно уложенные

После нескольких лет

эксплуатации

Стальные сварные

Новые и чистые

С незначительной

коррозией после очистки

Умеренно заржавевшие

Старые заржавевшие

Сильно заржавевшие или

с большими отложениями

Оцинкованные железные

Новые и чистые

После нескольких лет

эксплуатации

Окончание табл. 33

Трубы

Состояние трубы

, мм

Чугунные

Новые без покрытия

Бывшие в употреблении

Очень старые

До 3

Асбоцементные

Новые

Деревянные

Тщательно оструганные

Обычные

Из неоструганных досок

Бетонные

Новые

Бывшие в употреблении

Содержание

ПРЕДИСЛОВИЕ ….……………………………………………………..3 ВВЕДЕНИЕ ………………………………………………………………6 ЧАСТЬ 1. ГИДРОМЕХАНИКА ОДНОФАЗНЫХ

И ДВУХФАЗНЫХ ПОТОКОВ …………………………….9 1. ОСНОВНЫЕ ФИЗИЧЕСКИЕ СВОЙСТВА

ЖИДКОСТЕЙ И ГАЗОВ ……………………………………………9 2. ГИДРОМЕХАНИКА ОДНОФАЗНЫХ ПОТОКОВ ……………….19 2.1. Кинематика сплошной среды ………………………………19 2.1.1. Методы задания движения и виды движения …..…..19 2.1.2. Деформационное и вращательное движение

жидкости …………….……………………………….22 2.2. Основные уравнения движения жидкости ………………….29 2.2.1. Уравнение неразрывности (сплошности) потока ..…..29 2.2.2. Уравнения переноса импульса ………….…..…….…..31 2.2.3. Уравнение энергии …….…………………..……….….38 2.3. Статическое состояние сплошной среды …………………...42 2.3.1. Уравнение гидростатического равновесия .…..……...42 2.3.2. Равновесие жидкости в поле силы тяжести

(абсолютный покой жидкости) ……….…………….43 2.3.3. Удельная потенциальная энергия,

пьезометрический напор …………..………………..45 2.3.4. Приборы для измерения давления ………..…….……46 2.3.5. Закон Паскаля …………..……….…….……………….49 2.3.6. Равновесие жидкости в поле центробежных

сил (относительный покой) …..…….………………51 2.3.7. Сила давления жидкости на плоскую

и криволинейную поверхности …..…….….………….52 2.3.8. Закон Архимеда. Условия плавания

и остойчивости тел ………..…..……………………….57 2.4. Динамика идеальной сплошной среды …………………...60 2.4.1. Уравнение Бернулли …………………..………………61 2.4.2. Одномерное движение сжимаемого газа …………….63 2.4.3. Скорость звука …………………………………………65 2.4.4. Движение газов в канале с переменной

площадью живого сечения ........…….………………67

2.4.5. Плоские потенциальные течения

несжимаемой жидкости ……….…………………….69 2.4.6. Теорема Н. Е. Жуковского о подъемной силе ……..…78 2.5. Динамика вязкой жидкости ………………………………….83 2.5.1. Режимы течения ……………………………………….83 2.5.2. Гидродинамическое подобие …………………………84 2.5.3. Уравнение Бернулли для потока вязкой жидкости ….88 2.5.4. Расчет потерь напора в местных сопротивлениях …91 2.5.5. Основное уравнение равномерного движения ………94 2.5.6. Ламинарные течения ………………..…………………96 2.5.7. Турбулентное течение ……………..…………………111 2.6. Гидравлический расчет трубопроводных систем …………124 2.6.1. Основы расчета коротких трубопроводов ………….124 2.6.2. Типовые задачи расчета коротких трубопроводов …126 2.6.3. Основы расчета длинных трубопроводов …………130 2.6.4. Типовые задачи расчета длинных трубопроводов …131 2.6.5. Неизотермическое движение жидкостей ………..…138 2.6.6. Движение в каналах вязкого газа ………..………….139 2.7. Истечение жидкости через отверстия и насадки ………….141 2.7.1. Истечение через малые и большие

отверстия в тонкой стенке …………………………141 2.7.2. Истечение через внешний цилиндрический

насадок ………………………………………………143 2.7.3. Истечение при переменном напоре …………………146 2.7.4. Движение потоков в диффузорах ……….…..………147 2.8. Неустановившееся движение жидкости …………….……151 2.8.1. Уравнение Бернулли для неустановившегося

движения ……………………………………………...151 2.8.2. Постепенное перекрытие трубопровода ……………152 2.8.3. Мгновенное перекрытие трубопровода ……….……155 2.9. Гидравлические методы измерения расхода жидкостей ….159 2.10. Гидравлические струи ……………………………………163 2.10.1. Незатопленные струи ....……..…..…….………..…..164 2.10.2. Затопленные струи ………………………………….167 2.11. Течение со свободной поверхностью ………..……..……168 3. ГИДРОМЕХАНИКА ДВУХФАЗНЫХ ПОТОКОВ ………………176 3.1. Области распространения двухфазных

потоков в пищевой технологии …………………….………176

3.2. Основные понятия и определения гидродинамики

газо(паро)жидкостных потоков …….……..….…..………178 3.3. Режимы течения газожидкостных потоков ………………..181 3.3.1. Режимы течения в вертикальных каналах ………….182 3.3.2. Режимы течения в горизонтальных трубах ..………185 3.4. Элементарные процессы образования