Курсовая работа
по дисциплине: «Подземная гидромеханика»
на
тему: «Гидравлический расчет совместной работы пласта и скважины»
Оглавление
Введение
1. Теоретическая часть
2. Расчетно-графическая часть
2.1 Решение задачи в общем виде
2.2 Расчеты и графики
Заключение
Список
литературы
Введение
Подземная гидромеханика является теоретической основой разработки нефтяных, газовых и газоконденсатных месторождений.
Целями данной работы являются:
закрепить теоретический материал курса «Подземная гидромеханика»;
выполнить гидродинамический расчет совместной работы пласта и скважины
Постановка задания. В зонально-неоднородном
круговом пласте постоянной толщины эксплуатируется гидродинамически совершенная
скважина на стационарном режиме. Подъем жидкости осуществляется по
насосно-компрессорным трубам при закрытом сверху затрубном пространстве, где
жидкость и газ находятся в гидростатическом равновесии. Требуется рассчитать
зависимость дебита скважины Q от проницаемости k0 внутренней кольцевой зоны, в
центре которой расположена скважина, а также зависимость затрубного давления Pз
от проницаемости k0
Исходные данные
|
|
|
СИ |
|
Радиус контура питания |
Rk = 1 км |
1000м |
|
Толщина пласта |
h = 10м |
10м |
|
Диаметр насосно-компрессорных труб |
d=5 см |
0,05м |
|
Радиус скважины |
rc = 100мм |
0,1 м |
|
Шероховатость стенок труб |
∆ = 0,1 мм |
0,0001м |
|
Высота столба газа в затрубном пространстве до начала эксплуатации скважины |
hг0 = 130м |
130м |
|
Проницаемость пласта |
k = 200 мД |
0,204*10-12 м2 |
|
Плотность жидкости |
ρж = 850 кг/м3 |
850 кг/м3 |
|
Плотность газа при нормальных условиях |
ρr0 = 1,5 кг/м3 |
1,5 кг/м3 |
|
Вязкость жидкости |
μж = 4 спз |
0,004Па*с |
|
Устьевое давление |
Pу = 5 атм |
4,9*105Па |
|
Показания манометра в затрубном пространстве до начала эксплуатации |
Pз0 = 50 атм |
49*105Па |
|
Глубина скважины |
H = 2 км |
2000м |
|
Радиус зоны с проницаемостью к0 |
r0 = 10 м |
10 м |
|
Длина лифта |
L = 1,9 км |
1900м |
1. Теоретическая часть
Основная формула гидростатики
Распределение давления в газовой части
определяется барометрической формулой
![]()
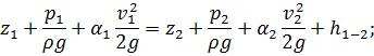
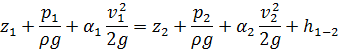
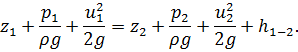
Уравнение Бернулли для элементарной струйки тока
вязкой несжимаемой жидкости при установившемся движении:
Уравнение Бернулли для потока вязкой жидкости:
где z1, z2 - расстояния от плоскости сравнения до центра тяжести;иp2 - давления в сечениях 1-1 и 2-2 соответственно;, u2 - истинные скорости; ,v2 - средние скорости в этих сечениях;
![]()
- коэффициенты Кориолиса;-2 -
потери напора на участке между выбранными сечениями.
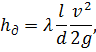
Потери напора определяются по
формуле:
где hд - потери напора по длине; hм - потери в местных сопротивлениях.
Потерями напора в местных сопротивлениях при решении задачи можно пренебречь.
Потери по длине определяются по
формуле Дарси-Вейсбаха:
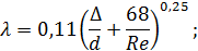
где λ -коэффициент гидравлического сопротивления; l - длина трубы; d - ее диаметр; v - средняя скорость потока.
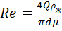
Коэффициент гидравлического
сопротивления в общем случае является функцией числа Рейнольдса (Re) и
относительной шероховатости стенок трубы ![]()
,![]()
, численно определяется в
зависимости от области сопротивления.
Ламинарный режим (Re<Reкр)
Число Рейнольдса:
Турбулентные режимы:
Зона гидравлически гладких труб
(Reкр<Re< 10 ![]()
)
Формула Блазиуса:
Зона смешанного трения (шероховатых труб)
(10 ![]()
<Re< 500 ![]()
)
Формула Альтшуля:
Квадратичная зона (вполне шероховатых труб)
(Re >500 ![]()
)
Формула Шифринсона:
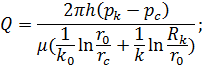
Формула Дюпюи для установившейся фильтрации
в однородном пласте:
пласт скважина давление фильтрация
где h - толщина пласта; - давление на контуре питания;- давление на забое скважины;
μ - вязкость;- проницаемость пласта;- радиус контура питания;радиус скважины.
При наличии зональной
неоднородности:
где h - толщина пласта; - давление на контуре питания; давление на забое скважины;
μ - вязкость; проницаемость i-той
зоны; радиус i-той зоны.
2. Расчетно-графическая часть
.1 Решение задачи в общем виде
До начала эксплуатации давление
всюду постоянно: давление на забое скважины равно давлению на контуре питания и
определяется суммой давления газа и столба жидкости в затрубном пространстве:
Распределение давления в газовой
части определяется барометрической формулой:
Где Pз0 и ρз0 - давление и плотность на поверхности наz2;го - высота столба газа.
Таким образом, давление на контуре
питания:
![]()
(1)
После начала эксплуатации:
Уравнение Бернулли для двух сечений
НКТ (забой скважины и устье):
Так как режим стационарный, то
скоростные напоры одинаковы. Кроме того: ![]()
Таким образом получаем:
Потери напора определяются по
уравнению Дарси-Вейсбаха:
Средняя скорость определяется по
формуле:
Тогда уравнение Бернулли примет вид:
Отсюда выразим pc:
![]()
(2)
Величина ![]()
определяется, исходя из значения
числа Рейнольдса, так как ![]()
;![]()
)
Таким образом получается:
![]()
.(3)
Дебит скважины определяется по
уравнению Дюпюи для зонально-неоднородного пласта:
Выразим k0:

(4)
Далее необходимо найти зависимость ![]()
=f(k0). В затрубном пространстве
жидкость и газ покоятся. Давление на забое в текущий момент:
![]()
(5)
По уравнению Менделеева-Клапейрона
при изотермическом процессе (PV=const):
![]()
Отсюда находим высоту столба газа:
![]()
(6)
Подставляем выражение (6) для ![]()
в выражение (5). Получаем
квадратное уравнение для ![]()
:
![]()
+![]()
(![]()
Дискриминант: D=![]()
Корни уравнения:
Далее необходимо выбрать
положительные корни и результаты записать в таблицу 1. Строится зависимость
Р3=f(k0)
.2 Расчеты и графики
Вычисляем давление на контуре
питания по формуле (1):
Задаемся произвольными значениями
дебита и вычисляем число ![]()
по формуле (3), затем зная число ![]()
вычисляем ![]()
, далее вычисляем pc по формуле (2)
и k0 по формуле (4):
Таблица 1
|
Q, м3/с |
Re |
λ |
Pc |
k0, м2 |
k0, мД |
Pз, Мпа |
|
0,00005 |
270,70 |
0,2364 |
17153109 |
4,37E-15 |
4,285 |
2,5632 |
|
0,00010 |
541,40 |
0,1182 |
17155718 |
8,94E-15 |
8,764 |
2,5647 |
|
0,00015 |
812,10 |
0,0788 |
17158327 |
1,37E-14 |
13,452 |
2,5661 |
|
0,00020 |
1082,80 |
0,0591 |
17160936 |
1,87E-14 |
18,362 |
2,5676 |
|
0,00025 |
1353,50 |
0,0473 |
17163545 |
2,40E-14 |
23,512 |
2,5690 |
|
0,00030 |
1624,20 |
0,0394 |
17166154 |
2,95E-14 |
28,919 |
2,5705 |
|
0,00035 |
1894,90 |
0,0338 |
17168762 |
34,603 |
2,5719 |
|
|
0,00040 |
2165,60 |
0,0296 |
17171371 |
4,14E-14 |
40,586 |
2,5734 |
|
0,00045 |
2436,31 |
0,0514 |
17196479 |
4,82E-14 |
47,277 |
2,5873 |
|
0,00050 |
2707,01 |
0,0501 |
17205789 |
5,52E-14 |
54,136 |
2,5925 |
|
0,00055 |
2977,71 |
0,0489 |
17215824 |
6,27E-14 |
61,445 |
2,5981 |
|
0,00060 |
3248,41 |
0,0479 |
17226568 |
7,06E-14 |
69,255 |
2,6042 |
|
0,00065 |
3519,11 |
0,0469 |
17238006 |
7,92E-14 |
77,622 |
2,6106 |
|
0,00070 |
3789,81 |
0,0461 |
17250123 |
8,83E-14 |
86,615 |
2,6174 |
|
0,00075 |
4060,51 |
0,0453 |
17262907 |
9,82E-14 |
96,311 |
2,6246 |
|
0,00080 |
4331,21 |
0,0445 |
17276348 |
1,09E-13 |
106,802 |
2,6322 |
|
0,00085 |
4601,91 |
0,0439 |
17290433 |
1,21E-13 |
2,6402 |
|
|
0,00090 |
4872,61 |
0,0433 |
17305154 |
1,33E-13 |
130,619 |
2,6486 |
|
0,00095 |
5143,31 |
0,0427 |
17320502 |
1,47E-13 |
144,226 |
2,6573 |
|
0,00100 |
5414,01 |
0,0421 |
17336468 |
1,62E-13 |
159,202 |
2,6665 |