Материал: Гидравлический расчет кольцевых водопроводных сетей

Внимание! Если размещение файла нарушает Ваши авторские права, то обязательно сообщите нам

Гидравлический расчет кольцевых водопроводных сетей














"Гидравлический расчет кольцевых водопроводных сетей"

1. Исходные данные

.1 Описание расчетной схемы водоснабжения

Необходимо произвести расчет системы водоснабжения населенного пункта и железнодорожной станции.

Водоснабжение железнодорожного поселка осуществляется подземными водами.

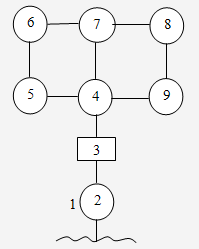
Вода из водосборной галереи 1 поступает в приемный резервуар 2 и оттуда к насосной станции 3 по напорному водоводу подается в водонапорную башню 4, из которой потом поступает в кольцевую водопроводную сеть 4-5-6-7-8-9, снабжающую водой населенный пункт и следующие промышленные и хозяйственные водопотребители:

Рисунок 1. Схема водоснабжения:

- Источник водоснабжения

- Приемный резервуар

- Насосная станция

- Водонапорная башня

- Станционное здание и краны для заправки пассажирских вагонов

- Локомотивное депо

- Промышленное предприятие №1

- Промышленное предприятие №2

- Промышленное предприятие №3

Расход воды на хозяйственно - питьевые нужды и полив улиц и зеленых насаждений равномерно распределен вдоль оси разводящей сети.

1.2 Исходные данные для расчета

1.      Расчетное число жителей в поселке -22170 чел.

2.      Этажность застройки - 10 этажей.

.        Здания населенного пункта оборудованы внутренним водопроводом и канализацией без ванн.

.        На станции ежедневно заполняется водой -317 вагонов.

.        Максимальные суточные расходы воды:

промышленными предприятиями:

№1 - 3217, м3/сут

№2 - 3717, м3/сут

№3 - 4217, м3/сут

Локомотивное депо - 517, м3/сут

6.      Длина участков труб:

3-4 - 4217м

-5 - 1017 м

-6 - 1317 м

-7 - 817 м

-8 - 1317 м

-9 - 1317 м

-9 - 817 м

-7 - 1317 м

. Отметки земли:

Насосной станции (точка 4) - 264 м

В точке 5 - 282 м

В точке 8 - 274 м

В точке 6 - 278 м

. Отметки воды в приемном резервуаре - 258 м.

2.Деление расчетных суточных расходов воды

Основным водопотребителем в поселках и городах являются население, которое расходует воду на хозяйственные и питьевые нужды. Количество воды для этих нужд зависит от степени санитарно-технического оборудования жилых домов, развития сети предприятий общественного обслуживания и общего благоустройства города.

Определение суточного расхода воды Qсут:

·        Населенный пункт:

Qср=N*q, м3

Qmax =N*q*Kmax, м3

где N= 22170 чел;

Кmax= 1,2; Кmin= 0,8

q= 0,2 м3 /сут

Qср =22170*0,2=4434 м3

Qmax =22170*0,2*1,2=5320,8 м3

Qmin=N*q*Kmin= 22170*0.2*0.8=3547,2 м3

Наибольший расчётный суточный расход является основой для расчета большинства сооружений систем водоснабжения.

·        Поливка улиц и зеленых насаждений:

Q=Ni*qпол м3/сут,

где Ni - число жителей в поселке;

qпол- норма воды на полив, приходящаяся на одного жителя;

qпол=0,07 м3/сут;

Q=22170*0,07=1551,9 м3/сут .

·        Заправка вагонов:

Q=N*q м3/сут,

где N - количество вагонов;

N=317 шт;

q=1 м3/сут;

Q =317*1=317 м3/сут.

Расчетные суточные расходы воды

Таблица 1

№ п/п

Наименование потребителей

Единицы  измерения

Число  потребителей

Норма водопотребления, м3/сут

Суточный расход, м3/сут





Среднесу точный

В сутки наиб.

Среднесуточный

В сутки наиб.

1

Населенный пункт

чел.

22170

0,2

0,2*1,2=0,23

4434

5320,8

2

Полив улиц и зеленых. Насаждений

чел.

22170

0,07

0,07

1551,9

1551,9

3

Промышленное предприятие №1

пред.

1

3217

3217

3217

3217

4

Промышленное предприятие №2

пред.

1

3717

3717

3717

3717

5

Промышленное предприятие №3

пред.

1

4217

4217

4217

4217

6

Локомотивное депо

пред.

1

517

517

517

517

7

Вокзал

зд.

1

15

15

15

15

8

Заправка вагонов

вагон

317

1

1

317

317

9

Пожаротушение

пожар

2

0,025*3600*3=270

270

540

540


å

19412,7


Свободный напор для хозяйственно-питьевого водоснабжения определяем по формуле:

Нсв=10+4(n-1) м. вод. ст. (1)

где n - этажность застройки. Нсв=10+4(10-1)=46 м .вод. ст. принимаем Нсв=46 м. вод. ст.

3. Определение расчетных секундных расходов воды

.1 Расчет для круглосуточно действующих объектов

водоснабжение населенный пункт

Расчетные секундные расходы воды определяют в л/сутки для отдельных категорий водопотребления. При этом нужно учесть, что одни пункты водопотребления работают круглосуточно (поселок, промпредприятия, железнодорожная станция, депо), а другие - неполные сутки (поливка улиц и зеленых насаждений, заправка вагонов на станции).

Секундный расход круглосуточно работающих объектов водопотребления определяем по формуле:

qсекчас*Qmaxсут /86400 м3/с (2)

где: Кчас - коэффициент часовой неравномерности (кчас=1,56),max - суточный расход в сутки наибольшего водопотребления;

- число секунд в сутках.

хозяйственно-питьевые нужды:

qсек=1,5*5320,8/86400=0,096 м3

промышленное предприятие №1:

qсек=1,5*3217/86400=0,0558 м3

промышленное предприятие №2:

qсек=1,5*3717/86400=0,0645м3

промышленное предприятие №3:

qсек=1,5*4217/86400=0,0732 м3

локомотивное депо:

qсек=1,5*517/86400=0,0089 м3

вокзал:

qсек=1,5*15/86400=0,00026 м3

3.2 Расчет для периодически действующих объектов

Расчетные секундные расходы для периодически действующих объектов определяются по формуле:

qсек=Qmaxсут /(3600*Тпотр ), м3/ с (3)

где: Тпотр - период работы объекта в часах.

- количество секунд в часе.

поливка улиц и зеленых насаждений:

Тпотр=8 часов

qсек=1551,9/(3600*8)=0,0538 м3

Заправка вагонов:

Тпотр=nпоездов*tпоезда,

где: nпоездов - количество поездов;поездов=Nвагонов/15=317/15=21;поезда - время заправки одного поезда(0,5 ч);

Тпотр=21*0,5=10 час.

qсек=317/(3600*10)=0,00881 м3

 

4. Подготовка магистральной разводящей сети к гидравлическому расчету

Подготовка магистральной разводящей сети к гидравлическому расчету заключается в составлении расчетной схемы подачи воды сетью и предварительном распределении потоков воды по ее разводящим линиям. В кольцевых сетях заданные отборы воды могут быть обеспечены при неограниченном числе вариантов распределения воды по участкам сети.

4.1 Определение путевых расходов

Расход, приходящийся на 1 погонный метр разводящей сети, называют удельным расходом:

qуд= (qсекхпн + qсекпоп)/å L; м3/сек

где: qсекхпн и qсекпоп - суммарный секундный расход соответственно на хозяйственно-питьевые нужды и полив улиц;

å L - суммарная длина линий, отдающих воду, м;

qуд= (0,096 +0,0538)/7619 =0,0000196 м3/ сек

Расход воды, отдаваемый каждым участком qпут, определяется по формуле:

qпут(i)=qуд*li м3/сут

где: li - длина каждого участка разводящей сети

Таблица 2. Путевые расходы разводящей сети

№ участка

Длина участка li , м

Удельный расход qуд, м3

Путевой расход qпут(i); м3

4-5

1017

0,0000196

0,0199332

5-6

1317


0,0258132

6-7

817


0,0160132

7-8

1017


0,0199332

8-9

1317


0,0258132

4-9

817


0,0160132

4-7

1317


0,0258132

å

0,1493324


4.2 Определение узловых расходов

Узловой расход определяется по формуле:

qузл=0,5åqпут(i)+qсоср м3/сут

где: qсоср - сосредоточенный расход потребителя, присоединенного к узлу.

Таблица 3. Узловые расходы разводящей сети

№ узла

Номера прилегающих участков

Суммы путевых расходов на прилег. участках åqпут(i), м3

Полусумма путевых расходов 0,5åqпут(i), м3

Сосредоточенный расход потребления qсоср, м3

Узловой расход qузл=0,5åqпут(i)+qсоср м3

5

4-5

0,0199332

0,0228732

0,0088

0,0316732


5-6

0,0258132




6

5-6

0,0258132

0,0209132

0,0089

0,0298132


6-7

0,0160132




7

6-7

0,0160132

0,0308798

0,0558

0,0866798


7-8

0,0199332





4-7

0,0258132




8

7-8

0,0199332

0,0228732

0,0645

0,0873732


8-9

0,0258132




9

8-9

0,0258132

0,0209132

0,0732

0,0941132


4-9

0,0160132





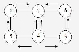
q6=0,0298132 q7=0,0866798 q8=0,0873732

Рис.

q5=0,0316732 q9=0,0941132

Рисунок 2. Расчетная схема водопроводной сети с узловыми расходами

4.3 Предварительное распределение потоков воды по линиям разводящей сети

Предварительное потокораспределение должно быть произведено так, чтобы оно обеспечивало наиболее рациональные диаметры труб её участков и удовлетворяло требованию надёжности.

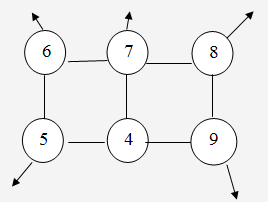
На нашей разводящей сети (см.рис.2)в три дальних узла необходимо подать одновременно расход qузл6 + qузл7 + qузл8 по трём магистральным линиям 5-6, 4-7, 9-8.

Расходы по линиям 5-6, 4-7, 9-8 будут равны:

qмаг(5-6, 4-7, 9-8)= (qузл6 + qузл7 + qузл8 )/3 м3/с;

qмаг(5-6, 4-7, 9-8)= (0,0298132+ 0,0866798+0,0873732)/3=0,20386м3/с;

q4-5= q5-6 + qузл5 =0,2038662+ 0,0316732= 0,2355394м3/с;

q4-9= q9-8 + qузл9 =0,2038662+0,0941132= 0,2979794м3/с;

q6-7= q5-6 - qузл6 =0,2038662- 0,0298132= 0,174053м3/с;

q8-7= q9-8 - qузл8 =0,2038662- 0,0873732= 0,116493м3/с.

Рисунок 3. Предварительное распределение потоков воды

4.4 Определение диаметров линий разводящей сети

По предварительно намеченным расходам определяем диаметр участков разводящей сети:

Таблица 4

№ участка

Магистральный расход qмаг м3

Условный проход, мм

Длина участка L,м

Расчетное удельное сопротивление А0 м3

Сопротивление участка Ai= А0*l

4-5

0,23553

450

1017

0,099

100,683

5-6

0,20386

400

1317

0,185

243,645

6-7

0,17405

400

817

0,185

151,145

4-7

0,20386

400

1317

0,185

243,645

7-8

0,11649

300

1017

0,846

860,382

8-9

0,20386

400

1317

0,185

243,645

9-4

0,29797

500

0,057

46,569



5. Гидравлический расчет магистральной разводящей сети

Гидравлический расчёт производится после начального потокораспределения экономически наивыгоднейших диаметров линий сети.

Гидравлический расчёт кольцевой сети ведём по методу Лобачёва В.Г.

5.1 Определение и запись на расчетную схему исходных данных

Рисунок 4. Расчетная схема разводящей сети

5.2 Определение потери напора во всех участках сети

Потери напора на каждом участке сети определяется по формуле :

hi = δ Aoi li qi2 ,

где: qi - расход i - го участка сети;

׀i - длина этого же участка сети

Aoi - удельное сопротивление рассматриваемого участка;

δ - коэффициент, зависящий от скорости движения воды и материала труб;

принимаем = 1.

5.3 определение поправочного расхода

Δ qК= - Δ hК / (δ Σ Ai к qi К δ-1),

где: Δ qК - поправочный расход к-ого кольца;

Δ hК - невязка к-ого кольца;

Ai к - сопротивление i - ого участка к-ого кольца;

Ai к qi К δ-1 - сумма произведений сопротивлений трубопровода на расход к-ого кольца.

Для квадратической области сопротивления :

Δ qК= - Δ hК / (2 Σ (Ai qi ) к );

Расчет продолжаем до тех пор, пока невязка не будет меньше 0,5 м

Все расчеты приводим в таблицу:

Òàáëèöà

¹ êîëüöà

¹ ó÷àñòêà

Äëèíà ó÷àñòêà, ì

Äèàìåòð ó÷àñòêà, ì

Ïëîùàäü æèâîãî ñå÷åíèÿ ω, ì²

Óäåëüíîå ñîïðîòèâëåíèå  ó÷àñòêà Àîi, ñ²/ì⁶

Ñîïðîòèâëåíèå ó÷àñòêà Àik, ñ²/ì5

Ïðåäâàðèòåëüíîå ðàñïðåäåëåíèå

Ïåðâîå èñïðàâëåíèå








qik, ì³/c

Vik, ì/ñ

δ

Àik*qik

hik

∆q1

qik1

Vik1

δ

Àik1*qik1

hik1

1

2

3

4

5

6

7

8

9

10

11

12

13

14

15

16

17

18

1

4 - 5

1017

0,45

0,1706

0,099

853,6058

0,235

1,38

1

200,597

47,140

-0,093

0,142

0,83

1

120,879

17,118


5 - 6

1317

0,4

0,1346

0,185

2871,531

0,204

1,52

1

585,792

119,502


0,111

0,82

1

317,619

35,132


6 - 7

817

0,4

0,1346

0,185

151,145

0,174

1,29

1

26,299

4,576


0,081

0,60

1,1

12,184

0,982


4 - 7

1317

0,4

0,1346

0,185

243,645

-0,204

1,52

1

49,704

-10,140

-0,151

-0,355

2,64

1

86,468

-30,687










862,392

161,079





537,149

22,544

2

4 - 7

1317

0,4

0,1346

0,185

243,645

0,204

1,52

1

49,704

10,140

0,151

0,355

2,64

1

86,468

30,687


7 - 8

1017

0,3

0,0759

0,846

77251,38

-0,116

1,53

1

8961,160

-1039,495

0,058

-0,058

0,77

1,1

4518,912

-264,339


8 - 9

1317

0,4

0,1346

0,185

243,645

-0,204

1,52

1

49,704

-10,140


-0,146

1,09

1

35,693

-5,229


4 - 9

817

0,5

0,2091

0,057

46,569

-0,298

1,43

1

13,878

-4,136


-0,240

1,15

1

11,200

-2,693










9074,445

-1043,630





4652,273

-241,575


Òàáëèöà

Âòîðîå èñïðàâëåíèå

Òðåòüå èñïðàâëåíèå

∆q2

qik2

Vik2

δ

Àik2*qik2

hik2

∆q3

qik3

Vik3

δ

Àik3*qik3

hik3

19

20

21

22

23

24

25

26

27

28

29

30

-0,0255

0,151

0,88

1

128,673

19,396

-0,0064

0,1443

0,85

1

123,188

17,778


0,120

0,89

1

343,838

20,586


0,1133

0,84

1

325,388

18,436


0,090

0,67

1,1

13,564

1,217


0,0833

0,62

1,15

12,593

1,049

-0,0521

-0,372

2,77

1

90,730

-33,787

-0,0161

-0,3885

2,89

1

94,661

-36,777





576,805

7,412





555,829

0,485

0,0521

0,372

2,77

1

90,730

33,787

0,0161

0,3885

2,89

1

94,661

36,777

0,0266

-0,032

0,42

1,17

2462,186

-78,476

0,0097

-0,0222

0,29

1,28

1712,346

-37,956


-0,120

0,89

1

29,206

-3,501


-0,1102

0,82

1

26,841

-2,957


-0,214

1,02

1

9,960

-2,130


-0,2042

0,98

1

9,508

-1,941





2592,083

-50,320





1843,356

-6,076



6.Îïðåäåëåíèå âûñîòû âîäîíàïîðíîé áàøíè è åìêîñòè íàïîðíîãî áàêà

Ïðè îïðåäåëåíèè åìêîñòè áàêà âîäîíàïîðíîé áàøíè èñõîäèì èç ñëåäóþùåãî:

ðàñõîä âîäû èç áàêà îáúåêòàìè íåðàâíîìåðåí è çàâèñèò îò âðåìåíè ñóòîê, à ïîäà÷à âîäû íàñîñàìè â áàê ðàâíîìåðíà;

ðàñïðåäåëåíèå ðàñõîäîâ âîäû ïî ÷àñàì ïðèíèìàåì â çàâèñèìîñòè îò êîýôôèöèåíòà ÷àñîâîé íåðàâíîìåðíîñòè, óñòàíîâëåííîãî ÑÍèÏ, è õàðàêòåðà îáúåêòà âîäîñíàáæåíèÿ (íàñåëåííûé ïóíêò, ïðîìïðåäïðèÿòèå, çäàíèå ñïåöèàëüíîãî íàçíà÷åíèÿ è ò.ï.)

Ðèñ.

Há = Zäò + Hñâ + ∑hw - Z á ,

ãäå: Zá - îòìåòêà çåìëè íàñîñíîé ñòàíöèè (òî÷êà 4);

Zäò - îòìåòêà çåìëè â äèêòóþùåé òî÷êå;

Hñâ - ñâîáîäíûé íàïîð;

Hñâ = 10+4(n-1)=46ì

∑hw - ïîòåðè íàïîðà äî äèêòóþùåé òî÷êè èç ðàñ÷åòà ïî ìîäóëþ.

Äëÿ òî÷êè 6: Há =278+30+8,66 - 264-= 52,66=53 ì.

Äëÿ òî÷êè 8: Há =274+30+14,94 - 264=54,94=55 ì.

Ïðèíèìàåì Há =55 ì.

Òàáëèöà. Åìêîñòü áàêà (Ê=1,35)

×àñû ñóòîê

Âîäîïîò,%

Ïîñòóïëåíèå âîäû â áàê, %

Ïîñòóï. âîäû èç áàêà, %

Îñòàòîê, % (À)

0-1

3,0

4,35

1,35


1,35

1-2

3,2

4,35

1,15


2,5

2-3

2,5

4,35

1,85


4,35

3-4

2,6

4,35

1,75


6,1

4-5

3,5

4,35

0,85


6,95

5-6

4,1

4,35

0,25


7,2

6-7

4,4

4,35


0,05

7,15

7-8

4,9

4,35


0,55

6,6

8-9

4,0

4,35

0,35


6,95

9-10

5,6

4,35


1,25

5,7

10-11

4,9

4,35


0,55

5,15

11-12

4,7

4,35


0,35

4,8

12-13

4,4

4,35


0,05

4,75

13-14

4,1

4,35

0,25


5

14-15

4,1

4,35

0,25


5,25

15-16

4,4

4,35


0,05

5,2

16-17

4,3

4,35

0,05


5,25

17-18

4,1

4,35

0,25


5,5

18-19

4,5

4,35


0,15

5,35

19-20

4,5

4,35


0,15

5,2

20-21

4,5

4,35


0,15

5,05

21-22

4,8

4,35


0,45

4,6

22-23

4,6

4,35


0,25

4,35

23-24

3,3

4,35

1,05


5,4


Íàõîäèì îáúåì áàêà:

W= (Qmax ñóò / 100)*A, ì3

ãäå: Qmaxñóò - ìàêñèìàëüíûé ñóòî÷íûé ðàñõîä

Qmaxñóò= 19412 ì3

A - íàèáîëüøèé îñòàòîê â áàêå %

À=7,2%

W= (19412/100)*7,2=1397,664ì3

Äèàìåòð áàêà:

D =3√(W / 0,55)=13,64=14ì.

Âûñîòà áàêà:

h= 0,7 D =9,8=10 ì.

7.Ãèäðàâëè÷åñêèé ðàñ÷åò âîäîíàïîðíîãî âîäîâîäà

Ðèñ.

Íàïîðíûé âîäîâîä ïîäàåò âîäó îò èñòî÷íèêà äî âîäîíàïîðíîé áàøíè. Äëÿ îáåñïå÷åíèÿ áåñïåðåáîéíîé ðàáîòû âîäîâîäà ïðîêëàäûâàþò íåñêîëüêî íèòîê (íî íå ìåíåå 2). Ðàñ÷åò âåäåòñÿ íà ïðîïóñê ìàêñèìàëüíîãî ñóòî÷íîãî ðàñõîäà. Ñåêóíäíûé ðàñõîä âîäû îïðåäåëÿåòñÿ ïî ôîðìóëå:

qâîäîâîäà =Qmax ñóò / 3600*T*n, ì3

ãäå: Qmaxñóò - ìàêñèìàëüíûé ñóòî÷íûé ðàñõîä;

Ò -âðåìÿ ðàáîòû íàñîñîâ (Ò=23÷àñà);

n - ÷èñëî íèòîê âîäîâîäà (n=2).

qâîäîâîäà =19412/3600*23*2=0,1172

8.Îïðåäåëåíèå ïîòðåáíîé ïðîèçâîäèòåëüíîñòè è íàïîðà âîäîïðîâîäíûõ íàñîñîâ, ïîäáîð òèïà íàñîñîâ, îïðåäåëåíèå îòìåòêè îñè íàñîñà è ñîîáðàæåíèå ïî ñîîðóæåíèþ íàñîñíîé ñòàíöèè

Ðàáî÷èé íàïîð íàñîñà ìîæíî îïðåäåëèòü ïî ôîðìóëå :

Hòð. = Zá + Há + há - Zë + hâîä, ì

ãäå   Zá - îòìåòêà çåìëè â ìåñòå óñòàíîâêè âîäîíàïîðíîé áàøíè (òî÷êà 4 ).

Há - âûñîòà áàøíè;

há - âûñîòà áàêà â ìåñòå ðàñïîëîæåíèÿ áàøíè;

Zë - îòìåòêà çåìëè â èñòî÷íèêå;

hâîä - ïîòåðè íàïîðà âîäîâîäà.

Hòð. =264+55+9-258+23,6=93,6 ì

8.1 Îïðåäåëåíèå ïîòðåáíîé ìîùíîñòè è ïîäáîð òèïà íàñîñîâ

Ïîëåçíàÿ ìîùíîñòü íàñîñà:

Nï = (Q ·Hòð·ρ·g) / ŋ, Âò

Nï =(0,1027*93,6*1000*9,81)/0,8=94,3 êÂò

ãäå: Q - ïðîèçâîäèòåëüíîñòü íàñîñà, ðàâíàÿ ðàñõîäó, ïðîïóñêàåìîìó îäíîé

íèòêîé âîäîâîäà, ì3/ñ (ðàâíà qâîäîâîäà)

Hòð- òðåáóåìûé íàïîð íàñîñà, ì

ρ -ïëîòíîñòü ïåðåêà÷èâàåìîé æèäêîñòè, ðàâíàÿ 1000 êã/ì3

g - óñêîðåíèå ñâîáîäíîãî ïàäåíèÿ =9,81 ì/ñ2

η - ÊÏÄ íàñîñà, η = 0,8

Ïî ñâîáîäíûì ãðàôèêàì îñíîâíûõ òåõíè÷åñêèõ äàííûõ öåíòðîáåæíûõ íàñîñîâ ïîäáèðàåì íàñîñ:

Hòð=93,6/2=46,8 ì è qâîäîâîäà=0,1027 ì3/ñ =110 ë/ñåê → íàñîñ òèïà 6ÍÄñ 2950, ïîäáèðàåì 2 íàñîñà, ñîåäèíåííûõ ïîñëåäîâàòåëüíî.

8.2 Îïðåäåëåíèå îòìåòêè îñè íàñîñà

Îòìåòêó îñè íàñîñà ìîæíî îïðåäåëèòü ïî ôîðìóëå:

Zí= Zè+hã , ì

ãäå: Zí - îòìåòêà íàñîñà;

Zè - îòìåòêà âîäû â èñòî÷íèêå;

hã - ãåîìåòðè÷åñêàÿ âûñîòà âñàñûâàíèÿ.

hã = Hâàêäîï-å h-V2/2g, ì

ãäå: Hâàêäîï - äîïóñòèìûé âàêóóì äëÿ äàííîãî íàñîñà( Hâàêäîï=8 ì);

å h - ïîòåðè íàïîðà âî âñàñûâàþùåé ëèíèè;

V-ñêîðîñòü äâèæåíèÿ âîäû âî âñàñûâàþùåé ëèíèè.

Ïîòåðè íàïîðà âî âñàñûâàþùåé ëèíèè îïðåäåëÿþòñÿ ïî ôîðìóëå:

åh = Àâñ *lâñ* qâîä2*1,4 , ì

Äëÿ âû÷èñëåíèÿ ïîòåðè íàïîðà íåîáõîäèìî îïðåäåëèòü ïàðàìåòðû âñàñûâàþùåé ëèíèè. Âîñïîëüçóåìñÿ ôîðìóëîé äëÿ îïðåäåëåíèÿ äèàìåòðà âñàñûâàþùåé ëèíèè:

dâñ = dâîä *1,5, ìì

ãäå dâîä - äèàìåòð âîäîâîäà (300 ìì)

dâñ =450*1,5=675 ìì

Ïîëüçóÿñü ïðèëîæåíèåì ïî ñåêóíäíîìó ðàñõîäó âîäîâîäà è ó÷èòûâàÿ ïðåäåëüíûé ýêîíîìè÷åñêèé ðàñõîä Ý=0,5 ì3/ñ (òðóáû ñòàëüíûå), ïðèíèìàåì óäåëüíîå ñîïðîòèâëåíèå Àâñ =0,099 ì/ñ è ïëîùàäü æèâîãî ñå÷åíèÿ wâñ =0,1706 ìì2, lâñ=80.

åh =0,099*80*0,10272 *1,4=1,00ì

Ñêîðîñòü äâèæåíèÿ âîäû âî âñàñûâàþùåé ëèíèè îïðåäåëÿåòñÿ:

V= qâîä/ wâñ =0,1027/0,1706=1,353 ì/ñ

Òîãäà ãåîìåòðè÷åñêàÿ âûñîòà âñàñûâàíèÿ îïðåäåëèòñÿ:

hã =8-1,00-1,3532/(2*9,81)=0,263 ì

Çíàÿ âû÷èñëåííûå çíà÷åíèÿ ïîëó÷èì îòìåòêó íàñîñà:

Zí=258+0,258=258,258 ì.

Ðàçìåùåíî íà Allbest