Материал: Фотометрические методы в астрофизике

Внимание! Если размещение файла нарушает Ваши авторские права, то обязательно сообщите нам

Фотометрические методы в астрофизике

МИНИСТЕРСТВО ОБРАЗОВАНИЯ И НАУКИ РОССИЙСКОЙ ФЕДЕРАЦИИ

Федеральное агентство по образованию

ФГБОУ ВПО «Благовещенский государственный педагогический университет»

Физико-математический факультет

Кафедра физики и методики преподавания физики






Курсовая работа

на тему: «Фотометрические методы в астрофизике»

по дисциплине «Физика»


Выполнил (а): студент группы 3Д

Папченко Вадим Юрьевич





Благовещенск 2015

Оглавление

Введение

. Визуальная астрофотометрия

. Фотографическая фотометрия

.1 Трубчатый фотометр

.2 Калибровочный клин

.3 Ошибки фотографической фотометрии

. Фотоэлектрическая астрофотометрия

. ПЗС

.1 ПЗС в астрономии

Заключение

Список использованных источников

Введение

Умение определять расстояние - одна из основ нашей жизни. Наши предки бороздили океаны, снаряжали экспедиции на материки для того что бы определить очертания береговой линии, размеры земного шара и т.д. В наше время расстояние на Земле определяется очень точно, но человечество не стоит на месте, а развивается. После освоения поверхности своей планеты возникает вопрос, а как же определить расстояние до небесных тел в космическом пространстве? Освоение ближнего космического пространства в наше время не встречает на своём пути проблем. Мы можем довольно точно определить расстояние до объектов в нашей солнечной системе методом радиолокации, посылая сигнал и принимая отраженный. Время запаздывания дает нам представление о расстоянии. Но расстояние до звезд очень велико и что бы его определить нужны другие методы. Ниже мы рассмотрим основные фотометрические методы, которые позволяют исследовать объекты находящиеся в космическом пространстве.

Фотометрия в астрономии - это техника, применяемая в астрономии для измерения потока или интенсивности электромагнитного излучения астрономического объекта. В самом простом варианте фотометрия проводится путём сбора излучения в телескоп.

Исторически, фотометрию в ближней инфракрасной и длинноволновой ультрафиолетовой части спектра осуществляли при помощи фотометра - фотоэлектрического прибора, разработанного для измерения интенсивности света от одного и того же объекта, направляя его луч на фоточувствительный элемент. Эти фотометры впоследствии в большинстве своём были заменены на приборы, созданные на базе ПЗС-камер, которые могут одновременно фиксировать изображения нескольких объектов. Тем не менее, фотоэлектрические фотометры по-прежнему используются в некоторых случаях, например, когда не требуется высокого разрешения.

1. Визуальная астрофотометрия

Раздел астрофизики, который занимается фотометрическими измерениями небесных объектов визуальными методами.

В настоящее время методы визуальной астрофотометрии вытеснены фотографическими и фотоэлектрическими и применяются только при недостатке необходимых инструментальных средств. Так же метод визуальной астрофотометрии актуален у любителей, из-за меньших денежных затрат на исследование.

Методы визуальной фотометрии основываются на умении ослаблять световой поток или интенсивность света в известное число раз с помощью астрофотометров. Человеческий глаз обладает высокой пороговой чувствительностью и в благоприятных условиях способен заметить столь малую разницу в интенсивностях (потоках) двух источников, как 1/100 от самой интенсивности (потока). Отсюда берет основу принцип сравнивания двух источников света. Для того чтобы приравнять два источника в световом отношении, нужно один из них, более яркий, ослабить. Первый источник ярче второго во столько раз, во сколько пришлось ослабить более яркий до равенства с более слабым.

Пусть первый источник ярче второго в n раз. Интенсивности источников l1 и l2, потоки F1 и F2, освещенности E1 и E2, то l1/l2 или F1/F2, или E1 / E2 = n

Соответствующие разности звёздных величин первого и второго источников согласно закону Погсона будут


От сюда следует, что из фотометрических измерений можно получить только разность звёздных величин.

Визуально невозможно определить, насколько яркость одной поверхности больше, чем яркость другой. Но если две поверхности непосредственно примыкают друг к другу, то по исчезновению разграничивающей линии между ними равенство их яркостей можно установить визуально с точностью до 1% и даже еще точнее. Было разработано много различных устройств для образования таких полей сравнения; одно из них, т.н. кубик Люммера - Бродхуна.

 

Рисунок 1 - Фотометр Люммера - Бродхуна[2]

Это две сложенные вместе трехгранные призмы из оптического стекла, причем контактная грань одной призмы слегка закруглена. Вследствие этой закругленности призмы имеют лишь частичный оптический контакт, через который свет может проходить прямо. Но в тех местах, где грани призм не соприкасаются, свет полностью отражается. Часто бывает желательно, чтобы свет от двух источников падал с противоположных сторон, и поэтому применяются схемы типа:

Рисунок 2 - Фотометр Люммера - Бродхуна [2]

Наблюдатель, глядя в микроскоп с небольшим увеличением, видит поля сравнения,

Рисунок 3 - Видимые поля сравнения[2]

Чтобы добиться одинаковой яркости двух полей сравнения, нужно регулировать световой поток хотя бы одного из сравниваемых источников света. В лабораторных измерениях сравниваемые лампы закрепляют в держателях, которые можно перемещать по направляющей. Такая направляющая, прямая и достаточно жесткая, называется фотометрической скамьей. Фотометрическая головка (рисунок 4) устанавливается неподвижно. Если одна лампа закреплена на расстоянии x1 (рисунок 4) от экрана, а другая отодвинута на расстояние x2 и при этом яркость полей сравнения одинакова, то отношение сил света l1 и l2двух ламп определяется равенством .

Рисунок 4 - фотометрическая скамья[2]

Фотометрическая скамья, применяемая в визуальной фотометрии. Лампа 1 неподвижна, а лампу 2 перемещают, добиваясь, что бы обе лампы казались наблюдателю одинаковыми по яркости.

Равенство  выражает т.н. закон обратных квадратов расстояний

Рисунок 5 - Закон обратных квадратов[2]

Он является основным законом фотометрии. Согласно этому закону, если яркость двух полей сравнения одинакова, то силы света двух ламп обратно пропорциональны квадратам расстояний от соответствующих ламп до экрана фотометра. В справедливости этого соотношения легко убедиться, рассмотрев световую пирамиду с лампой в вершине. Свет, проходящий через сечение A пирамиды на единичном расстоянии от лампы, будет распределен по площади 4А на удвоенном расстоянии, по площади 9А - на утроенном расстоянии и т.д. Единственное условие применимости этого закона требует, чтобы размеры источника были малы по сравнению с расстоянием.

В некоторых специальных измерениях применяются другие средства изменения яркости поля сравнения, например, поляризатор с анализатором, которые поляризуют и ослабляют проходящий световой поток соответственно своей взаимной ориентации, клинья из серого стекла и быстро вращающиеся диски с секторными вырезами («вращающиеся секторы»). Диски имеют форму плоской крыльчатки вентилятора. Если диск вращается достаточно быстро, так что не заметно никакого мерцания, то свет ослабляется пропорционально доле полного круга, приходящейся на секторные вырезы. Каков бы ни был выбранный способ регулировки яркости, важно, чтобы изменялась только яркость, но не цвет поля.

Относительно световых источников разного цвета установлено, что если цвета различаются более или менее заметно, то результаты сравнения приобретают субъективный характер и даже у одного и того же наблюдателя могут меняться. При этом точность визуальной фотометрии сильно снижается.

2. Фотографическая фотометрия

Раздел фотометрии, в котором рассматриваются методы количественной оценки излучения с помощью фотографических материалов. Применима преимущественно при малой интенсивности измеряемого излучения.

Как и в визуальной фотометрии, в основе фотографической фотометрии лежит принцип приравнивания двух источников света: два источника света, из которых один ослаблен в известном отношении, считаются равными, если на одной и той же фотографической пластинке при равной экспозиции они дают одинаковый фотографический эффект. На фотографической пластинке получается обычно сразу много объектов и приравнивание некоторого основного источника света путём его ослабления ко всем имеющимся на пластинке объектам будет отнимать много времени. Продуктивнее будет установить путём некоторой искусственной процедуры связь между фотографическим эффектом и величиной потока, освещающего пластинку, что осуществляется с помощью построения характеристической кривой. Процесс её построения в фотографической фотометрии вполне подобен установлению принципов измерения в визуальной фотометрии, т.е сводится к вычислению формул связывающих звёздную величину с фотометрическим отсчётом. Этот процесс называется калибровкой фотографической пластинки. Поскольку ось абцисс характеристической кривой размечается в логарифмах E, а по закону Погсона,


характеристическую кривую в астрономической практике строят по аргументу ∆m. Нужно засветить фотографическую пластинку площадками одинакового размера, по переменной освещенности E, причем величины E (возможно в произвольных единицах) известны и переведены в ∆m. Так будет получена калибровочная шкала негатива. Для этой цели удобнее всего использовать либо трубчатый фотометр, либо клин.

.1 Трубчатый фотометр

Рисунок 6 - Трубчатый фотометр[2]

Трубчатый фотометр состоит из ряда трубок одинакового диаметра, расположенных по кругу, или по прямоугольнику между двумя плоскостями. К задней плоскости прижимается калибруемая фотопластинка, перед передней располагаются несколько матовых или молочных стёкол, одно за другим. Передние просветы трубок - их входные отверстия, прикрыты диафрагмами разного размера, поэтому в каждую трубку поступает от помещенного извне матового стекла разное количество света, пропорциональное площади входного отверстия или квадрату его радиуса r. При длине трубки L освещенность фотопластинки, находящейся у заднего конца трубки, будет равна

Где B - яркость матового стекла, и если L>10r , то с достаточной степенью приближения


Следовательно, для двух отверстий r1 и r2 разность звездных величин освещенностей пластинки будет


При условии, что яркость B у всех отверстий одинакова. Если звездную величину, соответствующую самому большому входному отверстию радиуса r0, положить равной нулю, то звездная величина у выходного конца всякой другой трубки будет

что обеспечивает вариацию звездных величин m на 5m, 4-5m, 6

Полученную согласно формуле 


Совокупность звездных величин, соответствующих разным степеням почернения, следует рассматривать как фотометрическую систему данного трубчатого фотометра со своим самостоятельным нуль-пунктом.

.2 Калибровочный клин

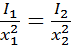
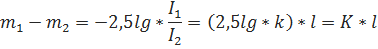
Можно приложить к испытуемой фотопластинке фотометрический клин и засветить через него фотопластинку. Тогда на ней так же как и в случае трубчатого фотометра, создается шкала плотностей, соответствующих различной прозрачности разных мест клина. Здесь справедлива формула


где K - константа клина равная .

Мы вправе записать звездную величину, соответствующую освещенности на расстоянии l от вершины клина, как


при условии, что m=0 у вершины клина и константа K должна быть определена в свете того участка спектра, который наиболее активно действует на пластинку.

Трубчатый фотометр или клин впечатывают в калибруемую пластинку до или после съемки на ней неба. Впечатывание да настоящей экспозиции пластинки предпочтительнее, так как при впечатывании после экспозиции действует эффект предосвещения, заключающийся в том, что если пластинку предварительно осветить слабым светом так, чтобы это лишь чуть-чуть сказалось бы на вуали, то последующая засветка пластинки, особенно небольшими потоками, приведет к большему фотографическому эффекту, чем если бы предварительно засветки не было.

При впечатывании калибровочной шкалы можно опасаться вредного влияния еще одного фактора, а именно эффекта разных уровней освещенности при фотографировании звезд и шкалы, так как звездная фотография получается обычно с экспозициями 15 и более минут, а впечатывание шкалы занимает около 15 секунд. Конечно можно понизить уровень света при засветке шкалы до такого уровня, чтобы и здесь экспозиция равнялась 15 минутам, но это чрезвычайно удлинит лабораторную обработку негатива. Обычно поступают так: проверяют, изменяется ли заметным образом наклон характеристической кривой негатива при изменении экспозиции от 15 секунд до 15 минут или нет. Если это обнаруживается, то подбирают наименьшее значение экспозиции для впечатывания шкалы, при котором эффектом разной экспозиции можно пренебречь.

Для дальнейшей работы над негативом необходим прибор для измерения фотографического эффекта, в первую очередь плотность фотографического изображения. Для этой цели служат микрофотометры. Микрофотометры бывают визуальные и объективные. В первых фотометрирование осуществляется глазом, у вторых - термоэлементом или фотоэлементом.

.3 Ошибки фотографической фотометрии

В то время как при визуальных фотометрических измерениях имеют место многочисленные субъективные ошибки, в фотографической астрофотометрии опасны объективные ошибки, иногда не поддающиеся учету. Самый серьезный источник ошибок - непостоянство фотографической эмульсии по всей поверхности пластинки или пленки. Другой ошибкой является ошибка поля, состоящая в том, что две звезды равного блеска дадут разный фотографический эффект только потому, что их изображения расположены в разных местах поля камеры. Даже в идеальной камере с плоским полем освещенность пластинки падает от оптического центра к краю пропорционально четвертой степени косинуса угла удаления объекта от оптической оси.

фотометрия визуальный излучение

3. Фотоэлектрическая астрофотометрия

Фотоэлектрическая фотометрия более точна в сравнении с визуальной и фотографической.

Современные звездные электрофотометры обычно конструируются на основе вотоумножителей с последующим небольшим усилением фототока при помощи усилителя постоянного или переменного тока.