l
– длина сосуда; t
– время; П = 3.14
Задачи
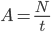
типа: «Объемная скорость»
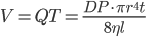
Найти:
скорость течения
V
– скорость течения; DP
– разность давлений
r
– радиус просвета сосуда;
η
– коэффициент вязкости
Q
– объем жидкости;
l
– длина сосуда; t
– время; П = 3.14
Задачи
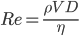
типа: «Число Рейнольдса»
Найти:
объемную скорость
V
– скорость течения (объемная скорость);
Re
– число Рейнольдса
η
– коэффициент вязкости;
- плотность вещества;
D
– диаметр просвета сосуда.
Найти:
число Рейнольдса
V
– скорость течения (объемная скорость);
Re
– число Рейнольдса
η
– коэффициент вязкости;
- плотность вещества;
D
– диаметр просвета сосуда.
Критическое
число Рейнольдса = 2300
Re>2300
– турбулентное
Re<2300
– ламинантное
Найти:
массу вещества, прошедшую за определенное
время через определенный диаметр
m
–масса вещества; Re
– число Рейнольдса;
η
– коэффициент вязкости;
t
– время;
D
– диаметр просвета сосуда; П
= 3.14
Вытекающие из формулы:
Найти:
число Рейнольдса
Задачи типа: «Гидравлическое сопротивление»
Найти:
гидравлическое
сопротивление
Х –
гидравлическое сопротивление; l
– длина сосуда
η
– коэффициент вязкости;
- плотность вещества;
r
– радиус просвета сосуда; П
= 3.14
Задачи типа: «Коэф. Поверхностного натяжения»
Найти:
коэф.
поверхностного натяжения

–
коэф.
поверхностного натяжения; l
– длина сосуда
η
– коэффициент вязкости;
- плотность вещества;
d
– диаметр просвета сосуда; g
= 9.8
Ренгенография т14-15
Задачи типа: «Минимальная длина волны»
Найти:
минимальную длину волны
λ–
минимальная длина волны [нм];
U
– напряжение в рентгеновской трубке
[кВ];
Найти:
напряжение
в рентгеновской трубке
λ–
минимальная длина волны [нм];
U
– напряжение в рентгеновской трубке[кВ];
Если
нужно найти частоту, соответствующую
минимальной длине волны при каком-то
напряжении:
,
а потом
,
где
- частота,
-
скорость света (3*108м/с)
Если
нужно найти период, соответствующий
определенной длине волны:
где
- частота,
-
скорость света (3*108м/с),
а потом
,
где Т – период
Если
нужно найти энергию фотона:
,
где
-
скорость света (3*108м/с),
h
– постоянная Планка (6,626*10-34),
λ–
минимальная длина волны
Задачи типа: «Поток рентгеновского изулучения»
Найти:
поток рентгеновского излучения
φ
– поток рентгеновского излучения[Вт];
Z
– порядковый номер хим. элемента
k
– константа = 10
-9;
I
– сила тока в рентгеновской трубке
[А];
U – напряжение (разность
потенциалов между катодом и анодом)
[В];
Найти:
силу тока
φ
– поток рентгеновского излучения[Вт];
Z
– порядковый номер хим. элемента
k
– константа = 10
-9;
I
– сила тока в рентгеновской трубке
[А];
U
– напряжение (разность потенциалов
между катодом и анодом) [В];
Найти:
напряжение (разность потенциалов между
катодом и анодом)
φ
– поток рентгеновского излучения[Вт];
Z
– порядковый номер хим. элемента
k
– константа = 10
-9;
I
– сила тока в рентгеновской трубке
[А];
U
– напряжение (разность потенциалов
между катодом и анодом) [В];
Найти:
порядковый номер химического элемента
φ
– поток рентгеновского излучения[Вт];
Z
– порядковый номер хим. элемента
k
– константа = 10
-9;
I
– сила тока в рентгеновской трубке
[А];
U
– напряжение (разность потенциалов
между катодом и анодом) [В];
ДЛЯ
ЭТОГО ТИПА ЗАДАЧ НАДО ЗНАТЬ, ЧТО:
физическая пристава м (микро) = 10-3;
к (кило) = 103
Задачи типа: «Закон ослабления мощности излучения»
Закон
ослабления:
Ф
= Ф0X-mx,
где m
– линейный показатель ослабления
(линейный
коэффициент ослабления рентгеновского
изучения)
х – толщина поглощающего
слоя
2
– это количество раз
Например из
задачи: поток
рентгеновского излучения ослабляется
в два раза
Найти:
линейный показатель поглощения (линейный
коэффициент ослабления рентгеновского
изучения)
m
– линейный показатель ослабления
х – толщина поглощающего слоя
Найти:
толщина слоя
m
– линейный показатель ослабления
х
– толщина поглощающего слоя
Найти:
массовый коэффициент ослабления
- плотность;
µ
- массовый
коэффициент ослабления
х – толщина
поглощающего слоя.
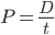
Задачи
типа: «Мощность»
I
– сила тока; U
– напряжение; Р – мощность
Задачи
типа: «Коэффициент полезного действия»
КПД
=
|
φ
– поток рентгеновского излучения[Вт];
Р – мощность
КПД – коэффициент
полезного действия
Задачи
типа: «Массовый коэф. ослабления для
хим. элементов»
На
примере:
Во
сколько раз массовый коэффициент
ослабления хлорида калия KCL больше
массового коэффициента ослабления для
воды (Н2О)?
Ответ:
в 23 раза.
Радиоактивность т16
Задачи
типа: «Поглощенная доза»
Поглощённая
доза – D
Экспозиционная
доза – Х
Эквивалентная доза – Н
Найти:
поглощенную дозу
D
– поглощенная доза
Е – энергия
(E=e*N);
m
– масса
Найти:
поглощенную дозу
D
– поглощенная доза; х – экспозиционная
доза
f
=1 (для мягких тканей)
Найти:
эквивалентную дозу
D
– поглощенная доза; Н – эквивалентная
доза
k
– коэффициент качества
Задачи типа: «Мощность дозы»
Найти:
мощность поглощенной дозы
D
– поглощенная доза; Р - мощность
t –
время
Найти:
мощность экспозиционной дозы
Х
– экспозиционная доза; Р - мощность
t
– время
Найти:
мощность эквивалентной дозы
Н
– эквивалентная доза; Р - мощность
t
– время
Задачи типа: «Активность»
N
– количество ядер; А - активность
t –
время