Термодинамика т1
Задачи типа: «Приведенная теплота»
Найти:
приведенную теплоту
=
|
-
приведенная теплота [Дж];
Q-
теплота, переданная в систему [Дж]
(может быть написано: «Системе
сообщили количество теплоты…»);
T
– температура [К].
Найти:
теплоту, переданную в систему
-
приведенная теплота [Дж];
Q-
теплота, переданная в систему [Дж]
(может быть написано:
«Системе сообщили количество теплоты..»);
T
– температура [К].
Найти:
температура
T
=
|
-
приведенная теплота [Дж];
Q-
теплота, переданная в систему [Дж]
(может быть написано: Системе сообщили
количество теплоты);
T
– температура [К].
*Как
перевести 0С
в К: 273 + значение в градусах Цельсия
Например: 50С
= 278К (273 + 5 = 278К); 270С
= 300К (273 + 27 = 300К)
Задачи типа: «Внутренняя энергия системы»
Найти:
теплоту, переданную в системы
∆
|
(работа
совершается самой системой)
∆U
– изменение внутренней энергии [Дж];
Q-
теплота, переданная в систему [Дж]
(может быть написано
«Системе сообщили количество теплоты);
А – работа [Дж].
Вытекающие
из формулы выше
Для задач, если работа
совершается самой системой
∆
|
A
= Q
- ∆U
|
Найти:
изменение внутренней энергии
Найти:
работу
Найти:
теплоту, переданную в системы
∆
|
(работа
совершается над системой)
∆U
– изменение внутренней энергии [Дж];
Q-
теплота, переданная в систему [Дж]
(может быть написано
«Системе сообщили количество теплоты);
А – работа [Дж].
Вытекающие
из формулы выше
Для задач, если работа
совершается над системой
Найти:
изменение внутренней энергии
Найти:
работу
Задачи типа: «Энтропия»
Найти:
энтропию системы (мера неупорядоченности)
S
– энтропия [Дж/моль*К]
Q
– теплота [Дж]
Т – температура [К]
Билогические мембраны т2-4
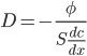
Задачи типа: «Градиент концентрации и поток вещества»
Найти:
поток вещества через мембрану
D
– коэффициент диффузии
S
– площадь мембраны
dc/dx
– градиент конфентрации (gradC)
Ф – поток вещества
Найти:
коэффициент диффузии
D
– коэффициент диффузии
S
– площадь мембраны
dc/dx
– градиент конфентрации (gradC)
Ф
– поток вещества
Найти:
площадь
D
– коэффициент диффузии
S
– площадь мембраны
dc/dx
– градиент конфентрации (gradC)
Ф
– поток вещества
Найти:
градиент концентрации
D
– коэффициент диффузии
S
– площадь мембраны
dc/dx
– градиент конфентрации (gradC)
Ф – поток вещества
Задачи типа: «Плотность потока диффузии»
Найти:
плотность потока
D
– коэффициент диффузии; J
– плотность потока;
S
– площадь мембраны
h
– высота; ∆С – концентрация
Найти:
плотность потока
Ф –
поток вещества
S
– площадь мембраны
Найти:
плотность потока
J
– плотность потока;
∆C
– концентрация
P
– коэффициент проницаемости
Биопотенциалы т5-6
Задачи
типа: «Уравнение Нернста-Планка»
Ф –
потенциал; R
– газовая постоянная (= 8,31Дж/моль*К)
F
– постоянная Фарадея (= 9,65 * 10
4
Кл/моль)
С
1
– концентрация внешняя; С
2
– концентрация внутри
Задачи
типа: «Уравнение Ходжкина - Катца»
ОТНОШЕНИЯ
ИОНОВ:
Задачи
типа: «Величина деполяризующего
потенциала»
Ф–
величина деполяризующего потенциала;
Ф
0
– изменение мембранного потенциала в
точке возбуждения
е = 2,7; х – расстояние;

- постоянная длины
Электрокардиография т7-8
Задачи
типа: «кардиоцикл»
Найти:
длительность одного кардиоцикла
t
– длительность цикла [с]; L
– растояние между зубцами R
[мм]
V
– скорость подачи ленты [мм/с]
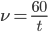
Найти:
частоту сердечных сокращений в минуту
t
– длительность цикла [с];

– частота [уд/мин];
60 – неизменное
число в данной формуле, означающее 60с,
т.е 1 минута
Биореология и гематодинамика т9-10
Задачи
типа: «Сила трения»
Найти:
силу трения
V
– скорость пульсовой волны [м/с];
η – динамическая вязкость;
h
– толщина стенки сосуда; S
– площадь сечения
Найти:
скорость
V
– скорость пульсовой волны[м/с];
η – динамическая вязкость;
h
– толщина стенки сосуда; S
– площадь сечения
Найти:
вязкость
V
– скорость пульсовой волны[м/с];
η – динамическая вязкость;
h
– толщина стенки сосуда; S
– площадь сечения
Найти:
толщину
V
– скорость пульсовой волны[м/с];
η – динамическая вязкость;
h
– толщина стенки сосуда; S
– площадь сечения
Задачи типа: «Скорость пульсовой волны»
Найти:
скорость пульсовой волны
V
– скорость пульсовой волны[м/с];

- плотность вещества;
h
– толщина стенки сосуда; E
– модуль упругости
r
– радиус просвета сосуда
Найти:
модуль успругости
E
– модуль упругости; V
– скорость пульсовой волны;
- плотность вещества;
h
– толщина стенки сосуда; r
– радиус просвета сосуда
Найти:
отношение радиуса сосуда к толщине
стенки сосуда
E
– модуль упругости; V
– скорость пульсовой волны;
- плотность вещества;
h
– толщина стенки сосуда; r
– радиус просвета сосуда
Задачи
типа: «уравнение Пуазейля»
Найти:
объем жидкости
Q
– объем жидкости; DP
– разность давлений
r
– радиус просвета сосуда;
η
– коэффициент вязкости
l
– длина сосуда; П = 3.14
Задачи
типа: «Давление в сосуде»
Найти:
разность давления жидкости
V
– скорость течения; DP
– разность давлений
r
– радиус просвета сосуда;
η
– коэффициент вязкости