Материал: filandysheva_lb_red_vozmozhnosti_razvitiia_kraevedeniia_i_tu

Внимание! Если размещение файла нарушает Ваши авторские права, то обязательно сообщите нам

Географические факторы как условия развития туризма

Сосновые леса (26% лесопокрытой площади) произрастают на песчаных участках ОбьТомьского и Обь-Чулымского междуречий. Так же из светлохвойных лесов встречаются лиственничники на Томь-Яйском междуречье и боровых террасах рек. Березовые леса (39%) тянутся полосой между зоной тайги и лесостепью. Южнее у Томска встречаются березовые леса паркового типа, образованные березой бородавчатой с хорошо развитым травостоем. Осинки (8%) встречаются как в чистом виде, так и с примесью березы. По берегам реки Оби произрастает черный тополь (осокорь) (0,1%), несколько видов ив (тальник) и других кустарников [0].

При оценке водных объектов следует отметить обеспеченность водоемами. В Томской области насчитывается 131023 водных объекта. Крупнейшая река Обь пересекает всю область. У неё имеются крупные притоки: Томь, Чулым, Чая, Кеть, Васюган. Также в области много озер, такие как Мирное, Ильэмтор, Перельто, Глухое и др. Ввиду климатических особенностей Томской области водные ресурсы используются для отдыха в основном только в летний период (купально-пляжный сезон). Песчаные пляжи характерны для многих речных долин. Именно на таких участках, где происходит взаимодействие различных сред (рельефа, воды и растительности) человеческий организм чувствует себя наиболее комфортно, оздоравливается и улучшает своё психическое и физическое состояние [0].

Ресурсной базой для развития лечебно-оздоровительного туризма являются месторождения минеральных и лечебных вод. Эксплуатационные ресурсы подземных вод по Томской области оцениваются количеством – 38,7 млн. м²/сут. На территории Томской области разведаны месторождения как маломинерализованных, действие которых определяется ионным составом, так и средне – высокоминерализованных минеральных вод, обогащённых целым комплексом биологически активных компонентов: йод, бром, бор, метакремниевая кислота, органическое вещество [0]. Йодобромные воды распространены в Колпашевском, Парабельском, Александровском, Тегульдетском, Верхнекетском районах [0]. Ценность вод обусловлена главным образом действием растворенных в воде солей и активных микроэлементов.

Широко распространены минеральные воды гидрокарбонатного класса со средней минерализацией. Большой известностью пользуются минеральные источники в Томском районе (село Заварзино), относящиеся к маломинерализованным щелочноземельным водам [0].

Богатейшие источники азотно-метановой хлоридно-натриевой слабосульфидной термальной минеральной воды имеются в Колпашевском районе и в г. Колпашево [0].

Источники хлоридно-натриевой йодо-бромной термальной воды в Александровском районе, хлоридно-гидрокарбонатно-натриевой бромной воды в г. Стрежевое.

В Верхнекетском районе в п. Белый Яр имеется подземная вода, которая является природной минеральной термальной кремнистой лечебной водой щелочной реакции водной среды, предназначена для наружного применения, отнесена к водам кульдурского типа [2]. В воде присутствуют биологически активные компоненты, такие как углекислота, сероводород, органические вещества, представленные нейтральными смолами, кислыми битумами и гумусовыми веществами [0].

Вода источника обследованного вблизи п. Ягодный Верхнекетского района по результатам анализа признана минеральной питьевой столовой водой с содержанием биологически активной кремнекислоты [0].

Каждый тип минеральных вод оказывает на организм неспецифическое действие, связанное с механическим, термическим и другими воздействиями водного фактора, и специфическое действие, обусловленное главным образом наличием в воде так называемых ведущих химических ингредиентов [2].

Одним из ресурсов для развития лечебно-оздоровительного туризма является наличие органических лечебных грязей (торф, сапропели) и лечебной глины. Распространённость преимущественно органических лечебных грязей на территории области обусловлена физикогеографическими, ландшафтными, климатическими условиями с избыточным увлажнением, малым испарением и затруднённым стоком.

Обнаружены сапропелевые отложения озёр Кирек (Томский район), Карасёвое (Колпашевский район), торф месторождений «Большое Клюквенное», «Тимирязевское». Месторождения торфа разнообразны по мощности, представлены, в основном, низинным типом, древесной и травяной групп.

В Верхнекетском районе в 0,7 км на юго-восток от с. Полудёновка обследовано торфоместорождение Полудёновское. Расположенное на третьей надпойменной террасе р. Кеть, месторождение сложено торфами верхового, смешанного, переходного и низинного типов. В соответствии с требованиями, предъявляемыми к качеству лечебных грязей, торф месторождения

235

Географические факторы как условия развития туризма

Полудёновское соответствует пресноводным бессульфидным торфяным лечебным грязям Дороховской разновидности [0].

Кроме того, на территории Верхнекетского района осуществлено обследование озера Язёвое, площадью около 1 км2. Береговая зона вокруг озера в значительной степени заболочена, мощность донных отложений составила более 3,0м. По основным физико-химическим критериям донные отложения озера Язёвое признаны соответствующими нормативным требованиям пресноводных бессульфидных сапропелевых лечебных грязей Молтаевской разновидности [0].

В Кожевниковском районе имеются залежи природной глины вблизи с.Чилино. Данные глины могут способствовать широкому применению их в медицине наряду с другими разновидностями пелоидов. Залежь торфоместорождения Аркадьевское, представлена низинными торфами гипнового, топяно-лесного, осоково-гипнового вида. Согласно результатам исследований торф признан соответствующим пресноводным бессульфидным торфяным лечебным грязям Дороховской разновидности. Бальнеологическая ценность его обусловлена высокими тепловыми, вязкопластичными свойствами, содержанием органических веществ, активным микробным ценозом [0].

Действие грязей на организм человека связано с наличием в их составе органических веществ, микрофлоры, солей и других биологически активных веществ. Грязи обладают такими лечебными свойствами, как теплоемкость, способность к адсорбции, Органические вещества определяют такие важные свойства лечебной грязи, как теплоемкость, способность удерживать тепло, способность к адсорбции, антибактериальные свойства и способность к регенерации [2].

Таким образом, Томская область обладает широким спектром природных факторов для развития лечебно-оздоровительного туризма.

Список использованных источников и литературы

1.Войнич А.Н., Дьякова Е.Ю. Бальнеологические ресурсы Томской области – характеристика и перспективы использования // Физическая культура, здравоохранение и образование: Материалы VI Всероссийской научно-практической конференции с международным участием. посвященной памяти В.С. Пирусского. – Томск, Томский государственный университет, 2012. – С. 228-231.

2.Войнич А.Н., Козарь Е.М., Дьякова Е.Ю. Анализ структуры заболеваемости населения Томской области за 2002-2011 гг. // Физическая культура, здравоохранение и образование: Материалы VII Всероссийской научно-практической конференции с международным участием, посвященной памяти В.С. Пирусского. – Томск, Томский государственный университет, 2013. – С.147-151.

3.Корейш А.С., Ложкина М.Б. Лечебно-оздоровительный туризм в Томской области // Актуальные проблемы физической культуры, спорта, туризма и рекреации : материалы IV Всероссийской с международным участием научно-практической конференции студентов и аспирантов (г.Томск, 21 апреля 2016г.). Томск: 2016. С. 459-461.

4.Косова Л.С. Краеведение: Учебное пособие. Томск, 2006. 314 с.

5.Косова Л.С. Рельеф как фактор использования территорий в рекреационных целях // Возможности развития туризма Сибирского региона и сопредельных территорий: материалы II международной научно-учебно-практической конференции. Томск, 2000 – С. 107-110.

6.Косова Л.С., Лыкова Е.С. Оценка летнего климатического сезона Томска и его окрестностей для рекреационных целей // Вестник ТГУ. Прил.3.(IV). «Проблемы геологии и географии Сибири». Материалы научной конференции. Томск: изд. ТГУ, 2003. C. 93-95.

7.Косова Л.С., Льготина Л.П., Филандышева Л.Б. О лечебно-оздоровительном туризме в Томской области // Туризм: вчера, сегодня, завтра: материалы международной конференции. Н- Новгород: 2013. С. 108-112.

8.Макаренко Е.П. Рекреационно-экологическая оценка рельефа как ведущего фактора развития туризма (на примере Томского района) // Вестник Кемеровского государственного университета, 2015. № 2 (62). Т. 7. С. 115-120.

9.Оценка рекреационно-лечебных ресурсов отдельных территорий Томской области / Клопотова Н.Г., Тронова Т.М., Сидорина Н.Г., Арсеньева О.А., Король Е.А. // Возможности развития краеведения и туризма Сибирского региона и сопредельных территорий: Сборник научных статей по результатам пятнадцатой Международной научно-практической конференции 26-27 октября 2015 г. – Томск, 2015. – С. 189-191.

236

Географические факторы как условия развития туризма

ОСОБЕННОСТИ ИЗМЕНЕНИЯ ВРЕМЕННЫХ ГРАНИЦ ВЕСЕННЕГО СЕЗОНА ГОДА И ЕГО ФАЗ В ЛЕСОТУНДРЕ ЗАПАДНО-СИБИРСКОЙ РАВНИНЫ

Филандышева Л.Б., Зезюлина И.К., Томский Государственный университет, г. Томск

На основе данных о ежегодной структуре весеннего сезона по метеостанции Салехард, расположенной в зоне лесотундры Западно-Сибирской равнины, за период с 1935 по 2013 год были рассчитаны временные характеристики (даты начала, конца и продолжительности) весеннего сезона и его структурных единиц за три периода для оценки регионального изменения климата и его влияния на рекреационную деятельность.

Ключевые слова: Западно-Сибирская равнина, лесотундровая зона, изменение климата, рекреационная деятельность

THE FEATURES OF CHANGES TIME LIMITS OF SPRING SEASON AND ITS PHASES IN THE FOREST-TUNDRA WEST SIBERIA

Filandysheva L.B., Zezyulina I.K., Tomsk state university, Tomsk

In this article climatic characteristics (the data of beginning, ending and duration) of the spring season and its building block for the three periods to assess the regional climate changes and its impact on recreational activities were calculated on the basis of the annual structure of the spring season at the station Salekhard in the forest-tundra of the West Siberian Plain from 1936 to 2013.

Key words: of the West Siberian Plain, the forest-tundra zone, climate change, recreational activities

В данной работе рассматривается вопрос об изменении временных границ весеннего сезона и его структурных единиц (фаз) в зоне лесотундры Западно-Сибирской равнины (ЗСР) в условиях глобального изменения климата. Климатические рекреационные ресурсы являются основополагающими для развития туристской сферы, т.к. они могут способствовать или сдерживать освоение территории для этих целей [2, 10]. Весна – переходный климатический сезон от зимы к лету. В это время снежный покров начинает разрушаться и к концу весны полностью исчезает. Отмечается рост температуры воздуха, оживает биотический компонент природы. Происходит перестройка зимних типов ландшафтов на летние.

Сезонная структура года – это количество сезонов, составляющих годовой цикл, под структурой сезона понимается количество фаз, из которых состоит сезон [1, 3, 6]. Суточную и сезонную динамику ландшафтов целесообразно изучать на основе естественного древнейшего ритма Земли – суточного с использованием комплексно-генетического метода [5].

Средняя многолетняя структура весеннего сезона в лесотундре исследуемого региона двухфазная, состоит из снеготаяния и предлетья. Это отличает её от структуры данного сезона природных зон умеренного пояса, где весна трехфазная. Начало весеннего сезона характеризуется переходом средней суточной температуры выше -8 °С и началом разрушения устойчивого снежного покрова, конец – переходом средней суточной температуры через +8 °С на ветви роста температур. Границей между первой и второй фазами является переход средней суточной температуры через 00С на ветви роста температур и окончательным разрушением снежного покрова [4, 9].

С использованием выше указанных критериев нами на основе ежесуточных метеорологических данных была установлена ежегодная структура весеннего сезона по ст. Салехард за период с 1935 по 2013 год. На их основе были рассчитаны средние многолетние показатели временных характеристик (дат начала, конца и продолжительности) весеннего сезона и его структурных единиц за три периода (с 1935 по 1970 гг.; с 1971 по 2000 гг.; с 2001 по 2013 гг.) и представлены в таблице (табл.1).

Таблица 1 – Временные характеристики структурных единиц весеннего сезона года станции Салехард.

Периоды

 

Структурные единицы весеннего сезона года

 

Весна

 

 

Снеготаяние

 

 

Предлетье

 

 

 

Дата

Дата

 

l в днях

Дата

Дата

l в днях

l в днях

 

начала

конца

 

 

начала

конца

 

 

1935 – 1970

21.04

17.05

 

27

18.05

14.06

28

55

1971 – 2006

16.04

17.05

 

32

18.05

12.06

26

58

2001 – 2013

10.04

15.05

 

36

16.05

9.06

25

61

237

Географические факторы как условия развития туризма

Условные обозначения к табл.1: l в днях – продолжительность структурных единиц.

Как следует из таблицы 1, начало фазы снеготаяние в лесотундре Западно-Сибирской равнины от первого периода к третьему в среднем многолетнем сместилось на 11 дней в сторону более ранней дате (с 21 апреля на 10 апреля). Тогда как её конец в этом направлении изменился незначительно (с 17 мая на 15 мая). Указанные изменения в датах начала и конца этой фазы привели к увеличению ее продолжительности в период с 2001 по 2013 гг. на 9 дней.

Средняя многолетняя дата окончания предлетья в период с 1935 по 1970 гг. приходится на 14 июня, в период с 1971 по 2006 гг. – на 12 июня, в период с 2001 по 2013 гг. – на 9 июня. Однако продолжительность «предлетья» в третьем изучаемом периоде оказалась на три дня короче (25 дней), чем в первом (28 дней). Продолжительность данной фазы третьего периода отличается от продолжительности второго периода на один день (25 дней против 26).

Продолжительность всего весеннего сезона, как следует из таблицы 1, от первого периода выросла ко второму периоду на 2 дня, к третьему – на 6 дней, во всех случаях в основном за счет более раннего начала сезона.

Самое раннее начало весеннего сезона (фаза снеготаяние) за весь исследуемый период (78 лет) отмечалась в 1996 г. – 10 марта; наиболее поздняя – в 1969 гг. – 19 мая. Это объясняется более высокими температурами в марте в 1996 г., и более низкими в мае 1969 г. Размах варьирования составил 40 дней. Наиболее поздняя дата окончания весеннего сезона (конец предлетья) приходится на 30 июня в 1966 г., а самая ранняя в 1991 г. – 22 мая. Это объясняется невысокими температурами в июне 1966 г. и, наоборот, более высокими в мае 1991 г. Размах колебаний составил 39 дней.

Также нами были построены графики хронологического хода (дат начала и конца весны, продолжительности), показаны линейные тренды, их уравнения и уровень достоверности (R²) за три периода (рис. 1-6) с целью выявления тенденции и скорости изменения временных оказателей.

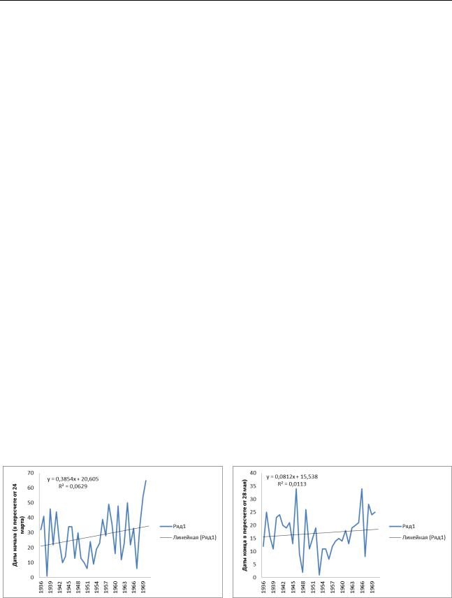
Анализ графиков (рис. 2 и 3) подтвердил наличие тенденции в смещении даты начала весны на более ранние сроки во втором и третьем изучаемом периоде. При этом третий период характеризуется большей интенсивностью изменений (11 дн./10 лет против 1 дн./10лет). Первый период же характеризовался смещением дат начала весеннего сезона на более поздние сроки со скоростью 4 дн/10 лет (рис. 1).

Графики хронологического хода дат конца весеннего сезона (рис. 2, 4, 6) в период с 1935 по 1970 гг. показали на тенденцию к смещению даты концы весны на более поздние сроки со скоростью порядка 0,08 дн/10 лет. Период с 2001 по 2013 гг. характеризуется наиболее интенсивным смещением даты окончания сезона к ранним срокам на 14 дней за 10 лет. Небольшое смещение даты концы весны к более ранним срокам отмечается и во втором изучаемом периоде – 3 дн./10 лет.

Выявленные тенденции в изменении сроков наступления начала весны и конца в сравниваемые периоды нашли свое отражение и в его продолжительности (рис. 7-9). На исследуемой нами территории на отрезке времени с 1935 по 2013 г наблюдалась тенденция к уменьшению продолжительности весеннего сезона, в среднем на 1-2 дня за 10 лет.

Рисунок 1 – Хронологический ход дат начала

Рисунок 2 – Хронологический ход дат конца

весеннего сезона на ст. Салехард с 1935 по 1970

весеннего сезона на ст. Салехард с 1935 по 1970

гг. и его линейный тренд

гг. и его линейный тренд

238

Географические факторы как условия развития туризма

Рисунок 3 – Хронологический ход дат начала

Рисунок 4 – Хронологический ход дат конца

весеннего сезона на ст. Салехард с 1971 по 2006

весеннего сезона на ст. Салехард с 1971 по 2006

гг. и его линейный тренд

гг. и его линейный тренд

 

 

 

 

 

 

Рисунок 5 – Хронологический ход дат начала

Рисунок 6 – Хронологический ход дат конца

весеннего сезона на ст. Салехард с 2001 по 2013

весеннего сезона на ст. Салехард с 2001 по 2013

гг. и его линейный тренд

гг. и его линейный тренд

 

 

 

 

 

 

 

Рисунок

7

Хронологический

ход

Рисунок

8

Хронологический

ход

продолжительности весеннего сезона на ст.

продолжительности весеннего сезона на ст.

Салехард с 1935 по 1970 гг. и его линейный тренд

Салехард с 1971 по 2006 гг. и его линейный тренд

239