Материал: Естественные монополии: регулирование производства общественных благ

Внимание! Если размещение файла нарушает Ваши авторские права, то обязательно сообщите нам

2. Способы регулирования естественных монополий


Лауреат Нобелевской премии по экономике 1976 г.М. Фридмен отмечал, что не существует приемлемого решения проблемы технологической монополии. Возможен лишь выбор из трех зол - частной нерегулируемой монополии, регулируемой государством, и непосредственной хозяйственной деятельности государства.

Современная экономическая наука предлагает иные подходы. Если существует объективная естественная монополия и соответственно единственный производитель на рынке, то конкуренция может быть инициирована на начальном этапе при организации торгов за право быть этим поставщиком, то есть за получение франшизы на естественную монополию. Основной критерий отбора победителя торгов - удельная цена поставки услуг. Победитель, предложивший наименьшую цену, не заинтересован раздувать свои издержки и оптимизирует размещение ресурсов в условиях естественной монополии.

Другой подход к организации инфраструктурной сферы предполагает изменение институтов, структурирующих взаимоотношения экономических агентов в области поставки товаров и услуг по инфраструктурным сетям, в частности, организационное разделение инфраструктурных сетей и операций по эксплуатации. В итоге образуется несколько функционально различных компаний, одна из которых выступает собственником единой инфраструктурной сети и осуществляет ее техническое обслуживание, модернизацию и расширение мощностей. За право эксплуатации того или иного участка сети и предоставлении услуг конечным потребителям борются компании, претендующие на статус операторов. По результатам торгов компания собственник сети заключает с потребителем договор лизинга на данный участок инфраструктурной сети на строго ограниченное время, по прошествии которого торги проводятся вновь.

Стратегия реформирования естественных монополий может реализовываться по двум направлениям. Прежде всего, идентифицируется сфера естественной монополии в рассматриваемой отрасли, выделяется структура-носитель наиболее существенных, специфических для естественной монополии свойств. Для выделенного естественно-монопольного ядра разрабатываются меры по регулированию и дерегулированию, обеспечивающие эффективность работы и максимизацию общественной полезности. Первое направление - меры прямого государственного вмешательства и создание барьеров входа в отрасль с целью сохранения естественно-монопольной структуры: установление цен (тарифов на услуги) на уровне, выгодном обществу; целенаправленное выделение средств на новые технологии и т.п. Второе - меры опосредованного государственного вмешательства (через систему ряда законодательных и других институциональных актов) для создания и поддержки конкурентных сред, совместимых естественной монополией и вынуждающих ее работать в режимах, эффективных с позиции общественной полезности.

Положение о том, что конкурентные рынки обеспечивают эффективное распределение ресурсов, предполагает, что работники органов регулирования должны попытаться сымитировать работу конкурентных рынков в тех секторах, где существуют естественные монополии. Как и в случае конкурентных рынков, издержки должны минимизироваться, а цены определяться на основе предельных издержек. Кроме того, органы регулирования должны соблюдать баланс между интересами потребителей, которые желают низких цен, и экономической жизнеспособностью производителя. Программа, благоприятствующая потребителям посредством установления цен гораздо ниже себестоимости, приведет к скорому банкротству регулируемых фирм или потребует значительного увеличения налогов для возмещения убытков государственного производства. С учетом этих замечаний необходимо выполнение следующих основных правил регулирования деятельности естественных монополий.

) Цены должны быть максимально приближены к предельным издержкам.

) Прибыли должны обеспечивать только нормальную норму прибыли.

) Производство должно быть эффективным.

Рассмотрим влияние фактора цен. Монополия обладает возможностью контролировать цену на производимый ею товар. Графически это обстоятельство отражается с помощью отрицательного наклона графика индивидуального спроса на продукцию монополии в соответствии с рисунком 2.

Допустим, что спрос на продукцию монополиста задан линейной функцией Q=a-b*P, где а, b - положительные константы. На рисунке 2 (а) функция спроса, D, отображена прямой AB:

 (5)

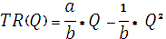
а отрезки ОА и ОВ на координатных осях соответствуют константам а и а/b. Поскольку ТR (Q) =QP (Q), функция предельной выручки монополиста при линейном спросе будет

 (6) и, следовательно, функция предельной выручки


Рисунок 2 - Спрос (а) и выручка (б) монополиста

 (7)

Установление цен на основе предельных издержек гарантирует, что ценность дополнительно производимой продукции для потребителей равна издержкам ее производства. Большие отклонения от этой системы ценообразования обуславливают излишние потери. Если величина предельных издержек ниже цены, то продукция производится в недостаточном объеме; если их величина превышает цену, то объем производимой продукции слишком высок. Но в естественных монополиях средние издержки падают с ростом выпуска в силу экономии от масштаба. А это, как иллюстрирует рисунок 2 означает, что предельные издержки ниже средних.

Установление цены точно на уровне предельных издержек означало бы производства продукции в объеме Ql и требовало бы соответствующего изменения цены Pl, которая в этом случае оказывается ниже величины средних издержек. Данная отрасль коммунального обслуживания несла бы потери; ее балансовая прибыль, если таковая и имелась бы, не обеспечивала бы нормального дохода на вложенный капитал.

Рисунок 3 - Регулируемая естественная монополия

Установление цены точно на уровне предельных издержек означало бы производства продукции в объеме Ql и требовало бы соответствующего изменения цены Pl, которая в этом случае оказывается ниже величины средних издержек. Данная отрасль коммунального обслуживания несла бы потери; ее балансовая прибыль, если таковая и имелась бы, не обеспечивала бы нормального дохода на вложенный капитал. Таким образом, работники регулирующих агентств должны пытаться устанавливать цены, максимально приближенные к предельным издержкам, но вместе с тем обеспечивать получение дохода, достаточного для возмещения издержек. Один из способов, с помощью которого можно было бы этого добиться, заключается в использовании двухкомпонентного тарифа. Как уже говорилось наиболее правильный и выгодный способ ценообразования в условиях естественных монополий это установка цены на уровне предельных издержек, но при этом издержки на производство не будут восполняться, чтобы избежать это используют, так называемый двухкомпонентный тариф. Этот способ представляет собой систему ценообразования, при которой пользователи платят фиксированную сумму за право встать на обслуживание, а затем плата взимается за потребление каждой единицы данного вида услуг (переменная плата) .

Более распространенный, но менее удовлетворительный подход заключается в установлении цены на уровне средних издержек. Этот подход проиллюстрирован на рисунке 4. Если ценообразование на основе двухкомпонентного тарифа исключено, работники органов регулирования могут решить установить цену равную P. В этой точке доходы лишь возмещают издержки по удовлетворению спроса потребителей на продукцию в объеме Q.

Существуют две проблемы, связанные с ценообразованием на основе средних издержек. Первая: естественно объем производства будет меньше в точке E, и здесь будут иметь место социальные потери, но все же эта точка предпочтительнее, чем точка Ell. Вторая: предельные издержки предприятий сфер коммунального обслуживания имеют тенденцию к изменению во времени. К примеру наращивание производства электроэнергии требует гораздо меньше затрат в ночное время, когда работают только наиболее эффективные предприятия, чем в дневное время, когда для удовлетворения спроса отрасль коммунального обслуживания часто вынуждена работать на полную мощность. Цены должны отражать изменения величины предельных издержек во времени; цены, базирующиеся на средних издержках, обычно не могут это сделать должным образом.

Рассмотрим влияние фактора прибыли. Попытаемся определить правило максимума прибыли для монополиста. Монополист пытается максимизировать прибыль, увеличивая разницу между общим доходом и общими издержками. Следовательно, для монополиста, верно, что в точке максимума прибыли МR=МС (т.е. предельный доход равен предельным издержкам).

Равенство предельного дохода предельным издержкам для монополиста также является критерием для определения оптимального объёма продаж (Qm). А поскольку монополист не может повлиять на спрос потребителей, то для определения монопольной цены при данном объёме Qm необходимо подняться до кривой спроса D. Итак, монопольная цена будет равна Рm.

Если монополист захочет сократить объем продаж, то он явно недополучит определенную часть возможной прибыли, так как предельный доход МR. будет превышать предельные издержки МС. Если же монополист захочет выиграть за счет реализации больших объемов продукции, чем Qm, то его прибыль уменьшится по сравнению с максимально возможной из-за того, что его предельные издержки МС будут во все большей мере превышать предельный доход МR. Таким образом, условиями максимизации прибыли для фирмы-монополиста являются выпуск продукции в объеме, при котором МR=МС, и реализация данного объема выпуска по цене Рm, соответствующей цене спроса (для этого объема) .

Рисунок 4 - Выпуск и цена в условиях чистой монополии

Рассмотрим фактор производства. Если цены всегда только возмещают издержки, так что естественная монополия всегда получает нормальную норму прибыли, есть ли у нее хоть какой-то стимул минимизировать издержки. Естественно нет. В этих условиях ожидаемые издержки, а следовательно, и цены были бы более высокими, чем необходимо. Это требует напряженной, подчас неприятной работы по снижению издержек. А увеличение некоторых статей расходов, таких, как большие оклады и "плюшевые" офисы для руководящих работников, бассейны для сотрудников, кафетерии с дотируемыми ценами на обеды, всегда только приятно. Бремя таких издержек целиком и полностью несут потребители услуг данного субъекта.

Таким образом, применение экономического регулирования необходимо для:

) Обеспечения баланса интересов потребителей (доступные цены) и регулируемых предприятий (финансовые результаты, привлекательные для кредиторов и новых инвесторов);

) Стимулирования предприятий к сокращению издержек и излишней занятости, улучшению качества обслуживания, повышению эффективности инвестиций и т.д.

) Определения структуры тарифов на основе принципов справедливого и эффективного отнесения издержек на тарифы для различных типов потребителей;

) Создания условий для развития конкуренции (например, обеспечение открытого равного доступа конкурентов к информационным сетям) .

Выводы по главе 1:

В первой главе дали понятие естественной монополии и вывели основные способы регулирования естественной монополии.

Способы регулирования - изменение институтов, структурирующих взаимоотношения экономических агентов в области поставки товаров и услуг по инфраструктурным сетям, в частности, организационное разделение инфраструктурных сетей и операций по эксплуатации.

) Стимулирования предприятий к сокращению издержек и излишней занятости, улучшению качества обслуживания, повышению эффективности инвестиций и т.д.

3. Механизм регулирования естественных монополий в условиях российской экономики


Характеристики производимой предприятиями естественных монополий в инфраструктурных отраслях продукции позволяет некоторым исследователям рассматривать их как общественное благо. Как известно, общественное благо должно обладать признаками неисключаемости и несоперничества потребителей. Если проанализировать характеристики продукции предприятий естественных монополий, то можно увидеть, что эта продукция имеет отдельные признаки общественного блага (с точки зрения поставщика электроэнергии на оптовом рынке, практически невозможно прекратить поставку энергии покупателю на оптовом рынке, фактически неисключаемой является услуга теплоснабжения в моногоквартирном доме, и т.д.). Однако, с учетом того, что существует возможность учета фактического потребления блага конкретным лицом, существует допускаемая законодательно возможность исключения отдельных потребителей этого блага, а также можно допустить соперничество потребителей, например, за возможность подключения к ограниченной трансформаторной мощности, поэтому эти товары (услуги) можно рассматривать только как квазиобщественное (смешанное) благо. .

Само понятие естественной монополии считается известным и легализованным в нашей стране с момента выхода 17.08.1997г. федерального закона "О естественных монополиях" . К настоящему времени разработаны, официально утверждены и приняты к исполнению концептуальные и программные документы о структурных социально-экономических преобразованиях в сферах естественной монополии.

Государственному регулированию подлежит деятельность субъектов естественных монополий в следующих отраслях: транспортировка нефти и нефтепродуктов по магистральным трубопроводам; транспортировка газа по трубопроводам; железнодорожные перевозки, услуги по передачи электрической и тепловой энергии, общедоступной электрической и почтовой связи; услуги транспортных терминалов, портов, аэропортов. В указанных сферах осуществляют свою деятельность такие экономические субъекты, как РАО "ЕЭС России", ОАО "Газпром", в действительности каждая из этих производственных структур является иерархически организованной корпораций - монополистом и представляет собой сложный конгломерат, что объясняет непрозрачность информации, связанной с функционированием субъектов естественной монополии, и сложность их индификации.

Естественные монополии в России не однородны с точки зрения финансового положения их отраслевых подсистем, которые обладают в силу специфики экономики отдельных инфраструктурных отраслей и дифференцированной политики государственного регулирования различными возможностями формирования инвестиционных ресурсов и фондов. Следовательно, при реформировании необходимо предусмотреть и выявление и дополнительных, альтернативных государственным (бюджетам различных уровней), источников финансирования инвестиционной и инновационной деятельности в отрасли.

По данным Федеральной службы госстатистики, в 2012 году в России было добыто 490,7 млн тонн нефти, что на 2,1% больше, чем в 2011 году. При этом объем экспорта нефти составил 258,4 млн тонн (+4%). Объем реализации нефти на внутреннем рынке составил 228,6 млн тонн (+3,8%) .

В обобщенном виде можно назвать следующие важнейшие факторы, определяющие ход российских реформ в естественно-монопольных отраслевых структурах:

) Проявление ряда ретроспективных тенденций, сложившихся за рамками рассматриваемого периода, в том числе и негативных, определяющих долгосрочные и устойчивые диспропорции в развитии производственной инфраструктуры;

) Наличие макроэкономического фона российских реформ, осуществление которых определяло мероприятия по реформированию инфраструктурных отраслей;

) Генезис российского монополизма (любого, естественного и "неестественного") - как административного, инициированного "сверху", а не как сложившегося в процессе развития рыночных отношений, - что привносит в процессы реформирования дополнительные трудности (прежде всего при проведении институциональных преобразований);

)"Запаздывающий" характер реформ в инфраструктурных отраслях в общем пакете мер по реформированию отраслей народного хозяйства, - что в ряде случаев тормозит поступательный ход социально-экономический преобразований в стране, и в то же время в силу исключительной роли сетевых инфраструктурных объектов в отечественной экономике зачастую демпфирует последствия не всегда обоснованных шагов по реформированию на макроуровне;

) Магистральный характер транспортных и энергетических сетей страны, особенности формирования их структуры и типологии, влияющее на возможности развития конкурентных сред (как в рамках внутриотраслевой, так межотраслевой конкуренции);

) Многообразие форм и способов (не всегда полностью легитимных) проведения через отраслевые министерства комплекса мероприятий

отраслевого характера, направленных на выживание отрасли в новых хозяйственных условиях;

7) Особенности меропририятий по государственному регулированию инфраструктурных отраслей в сфере их естественной монополии, направленных на преодоление сращивания функций государственного управления и хозяйствования в рамках единого субъекта и ориентированных на обеспечение эффективности деятельности естественно-монопольных отраслевых структур в интересах общества.