Федеральное агентство по образованию
ГОУ ВПО Рыбинская государственная авиационная
технологическая академия им. П. А. Соловьева
Кафедра Общей и технической физики
Лаборатория «Электричество и магнетизм»
на заседании методического
семинара кафедры ОиТФ
« » _________ 2009 г.
Зав.каф. Пиралишвили Ш.А.
ЛАБОРАТОРНЫЕ РАБОТЫ
ПО ЭЛЕКТРОМАГНЕТИЗМУ
ЛАБОРАТОРНАЯ РАБОТА №ЭМ-5
ОПРЕДЕЛЕНИЕ УДЕЛЬНОГО СОПРОТИВЛЕНИЯ МЕТАЛЛА
Автор: к. т. н., доцент Суворовой З.В.
_________________
Рецензент: к. ф–м. н., доцент Шалагина Е.В.
_________________
Убедиться в присоединении заземляющего провода к корпусу установки.
Включить установку только с разрешения преподавателя.
Не прикасаться к оголенным токонесущим элементам установки.
При обнаружении неисправности установки обесточить ее и немедленно известить преподавателя.
ЦЕЛЬ РАБОТЫ: ознакомиться с основами классической электронной теории металлов, определить удельное сопротивление нихромовой проволоки, произвести статистическую обработку результатов.
КЛАССИЧЕСКОЙ ТЕОРИИ МЕТАЛЛОВ
Классическая теория металлов была разработана немецким физиком П. Друде и голландским физиком Х. А. Лоренцем. В её основе лежит предположение, что свободные электроны в металле ведут себя как молекулы идеального газа. Двигаясь по металлу, электроны сталкиваются с ионами кристаллической решётки, поэтому между электронным газом и решёткой существует тепловое равновесие. Используя молекулярно-кинетическую теорию газа, можно оценить среднюю скорость теплового движения электронов при Т = 300 К.
<
>=
≈105
м/с . (1)
В электрическом
поле, кроме теплового, возникает
упорядоченное движение (дрейф) электронов
со средней скоростью <
>
– электрический ток. За направление
вектора плотности тока
принимается
направление движения положительных
зарядов, поэтому он противоположен
вектору скорости упорядоченного движения
электронов
<
>.
Величина вектора плотности тока равна
j=
,
(2)
где ∆S – площадка, перпендикулярная направлению дрейфа электронов; n – их количество в единице объёма (концентрация); e – заряд электрона.
За время ∆t площадку пересекут все электроны, находящиеся в объёме
∆V = ∆S < и > ∆t. Как показывает опыт, максимальная плотность тока в металлах составляет около 107 А/м2, концентрация свободных электронов в них n~1029 1/м3, тогда для скорости дрейфа получаем:
< и
>=
м/с. (3)
Итак, даже при
большой плотности тока средняя скорость
упорядоченного движения < и
> в 108
раз меньше средней скорости теплового
движения <
>.
Поэтому, если средний вектор скорости
равен скорости дрейфа
<
>=<
>
+ <
>
= <
>,
т. к. <
>=
0, то средний модуль скорости практически
совпадает с тепловой:
<|
|>
≈<
>.
(4)
В однородном
электрическом поле напряженностью
на электрон действует сила
,
которая сообщает ему постоянное
ускорение, в результате скорость
изменяется по линейному закону. К концу
свободного пробега скорость равна
. (5)
где t – среднее время между двумя последовательными соударениями электрона с ионами решетки.
П. Друде предполагал, что при соударении электрон отдает иону в приобретенную в электрическом поле дополнительную энергию и скорость его упорядоченного движения становится равной нулю. Тогда средняя скорость
. (6)
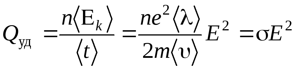
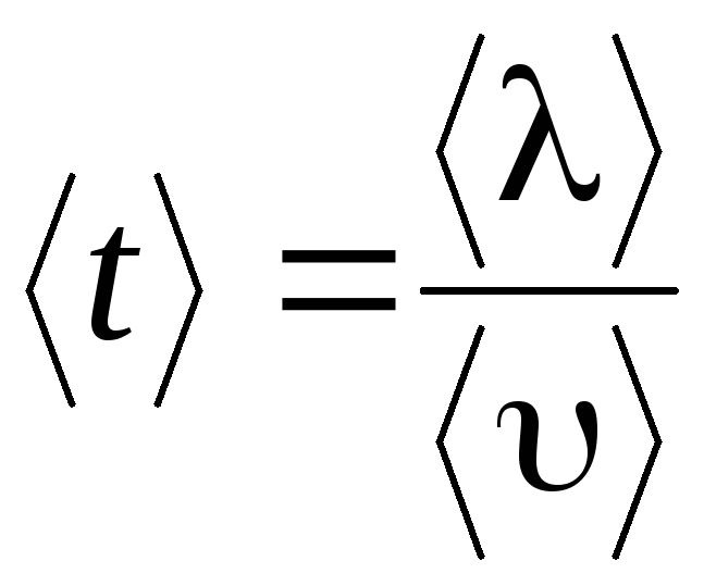
Классическая теория металлов не учитывает распределение электронов по скоростям, поэтому среднее время свободного пробега получим, поделив среднюю длину пробега на среднюю скорость
.
(7)
Подставляя (6) и (7) в (2), найдем плотность тока:
. (8)
Мы получили закон Ома в дифференциальной форме.
Здесь![]()
есть удельная проводимость проводника
– величина, обратная удельному
сопротивлению ρ. Тогда,
. (9)
При отсутствии
соударения длина свободного пробега
была бы бесконечно большой и сопротивление
было бы равно нулю.
К концу свободного пробега электрон приобретает дополнительную кинетическую энергию,
,
(10)
которая полностью
передается кристаллической решетке,
то есть идет на ее нагревание. Количество
соударений электрона с ионами за единицу
времени равно
.
Найдем энергию, предаваемую единице объема проводника за единицу времени – удельную тепловую мощность тока
,
(11)
или, используя (8):
.
(12)
Мы получили закон Джоуля – Ленца в дифференциальной форме.
СОПРОТИВЛЕНИЕ МЕТАЛЛОВ
Из формулы (9) с
учетом (1) следует, что удельное
сопротивление металлов должно возрастать
пропорционально
,
.
Так как в рамках молекулярно-кинетической
теории нет основания считать длину
свободного пробега
и концентрацию n
электронов зависящими от температуры,
то
~
. (13)
Этот вывод электронной теории противоречит опытным данным, согласно которым
~
Т.
(14)
Противоречие устраняется только в рамках квантовой теории электропроводимости металлов, которую Вы будете изучать в разделе «Квантовая физика». Приведем здесь качественное изложение основ этой теории. Интересно, что в ней формула (9) остается справедливой.
Совокупность
электронов в металле образует особый
коллектив, называемый вырожденным
фермионным газом. Особенность его в
том, что при повышении температуры
металла лишь у незначительной части
электронов увеличивается энергия,
поэтому их средняя скорость
в формуле (9) практически не зависит от
температуры. Двигаясь по кристаллической
решетке, электрон ведет себя как волна,
для которой упорядоченные в пространстве
неподвижные ионы вообще не являлись бы
препятствием из-за явления дифракции.
Движению этой волны препятствуют,
во-первых, дефекты кристаллической
решетки, во-вторых, ее тепловые колебания.
Воздействие колебаний решетки на
движение электронов на квантовом языке
описывается, как соударения электронов
с особыми частицами-фононами. С ростом
температуры число соударений увеличивается,
то есть средняя длина свободного пробега
электронов уменьшается по закону
~
,
(15)
что приводит к зависимости (14).
2. ОПИСАНИЕ УСТАНОВКИ
Установка ФПМ – 01 (рис.1) для определения удельного сопротивления нихромовой проволоки предназначена для изучения простейших методов физических измерений. Установка включает в себя закрепленную на вертикальной стойке 1 нихромовую проволоку 2, к которой подведены два неподвижных и один подвижный контакты 3, миллиамперметр 4(мА), вольтметр 5 (В), блок питания.
2
1
5
4
О = 0.61мм
3
6
7
11
8
9
10
Рисунок 1.
Определение удельного сопротивления сводится к измерению сопротивления заданного участка нихромовой проволоки методом вольт-амперметра, измерению его длины и вычислению площади сечения. (Наряду с методом вольт-амперметра возможно измерение сопротивления мостом постоянного тока, подключаемым к установке).
Производятся две серии измерений – по схеме 1 и схеме 2, которые изображены на лицевой панели установки.
В
схеме 1 исследуемый участок проволоки
соединяется последовательно с
миллиамперметром, и параллельно к ним
подключается вольтметр (рисунок 2).
Сопротивление участка нихромовой проволоки определяется по формуле
,
(16)
где R' = U/I, RA – внутреннее сопротивление миллиамперметра, RA = 0,29 Ом. Удельное сопротивление равно
,
(17)
где S
= D2/4,
D
– диаметр проволоки, D
= 0,61 мм,
– длина участка проволоки.
В
схеме 2 вольтметр подключается параллельно
к участку проволоки, и последовательно
с ними соединяется миллиамперметр
(рисунок 3)
Сопротивление участка проволоки равно
,
(18)
где R' = U/I, – внутреннее сопротивление вольтметра, RV = 19,75 Ом. Удельное сопротивление рассчитывается по формуле (17).