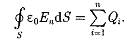
1) Теорема Гаусса для электростатического поля в вакууме
2) Применение теоремы Гаусса к расчету некоторых
электростатических полей в вакууме
3) Циркуляция вектора напряженности электростатического
поля
4) Потенциал электростатического поля
5) Напряженность как градиент потенциала.
Эквипотенциальные поверхности
6) Вычисление разности потенциалов по напряженности поля
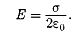
7) Типы диэлектриков. Поляризация диэлектриков
8) Поляризованность. Напряженность поля в диэлектрике
9) Электрическое смещение. Теорема Гаусса для
электростатического поля в диэлектрике
10) Условия на границе раздела двух диэлектрических сред
11) Проводники в электростатическом поле
12) Электроемкость уединенного проводника
13) Конденсаторы
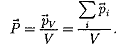
14) Энергия системы зарядов, уединенного проводника и
конденсатора. Энергия электростатического поля
15) Электрический ток, сила и плотность тока рисунок
конденсатора выше
16) Сторонние силы. Электродвижущая сила и напряжение
17) Закон Ома. Сопротивление проводников
18) Работа и мощность тока. Закон Джоуля - Ленца
19) Закон Ома для неоднородного участка цепи
20) Правила Кирхгофа для разветвленных цепей
21) Элементарная классическая теория электропроводности
металлов
22) Вывод основных законов электрического тока в
классической теории проводимости металлов
23) Работа выхода электронов из металла
24) Эмиссионные явления и их применение
25) Ионизация газов. Несамостоятельный газовый разряд
26) Самостоятельный газовый разряд и его типы
27) Плазма и ее свойства
1) Теорема Гаусса для электростатического поля в
вакууме
Определяет поток вектора напряженности
электрического поля
(для замкнутой поверхности (Q - точечный
заряд))
(в ваакуме: поток вектора напряженности
электростатического поля в вакууме сквозь произвольную замкнутую поверхность
равен алгебраической сумме заключенных внутри этой поверхности зарядов,
деленной на е0.)
2)
Применение теоремы Гаусса к расчету некоторых электростатических полей в
вакууме
. Поле равномерно заряженной бесконечной
плоскости. (
)
. Поле двух бесконечных параллельных
разноименно заряженных плоскостей (
) 6 -
поверхностная плотность; вне объема, ограниченного плоскостями, напряженность
поля равна нулю.
. Поле равномерно заряженной сферической
поверхности. (
) - внутри поверхности электростатическое
поле отсутствует.
теорема гаусс электрическое поле
4. Поле объемно заряженного шара (
) E -
напряженность поля; изменяется линейно с расстоянием г' согласно выражению
. Поле равномерно заряженного бесконечного
цилиндра (нити) (
) t - линейная плотность; замкнутая
поверхность зарядов внутри не содержит, поэтому внутри цилиндра или нити Е = 0.
)
Циркуляция вектора напряженности электростатического поля
Электростатическое поле точечного заряда
является потенциальным, а электростатические силы - консервативными.
Интеграл
называется
циркуляцией вектора напряженности. Таким образом, циркуляция вектора
напряженности электростатического поля вдоль любого замкнутого контура равна
нулю. Силовое поле, обладающее свойством, называется потенциальным.
4)
Потенциал электростатического поля
потенциальная энергия заряда Q0 в поле
заряда Q Для одноименных зарядов Q0Q > 0, для разноименных зарядов Q0Q <
0.
- потенциал
в какой-либо точке электростатического поля есть физическая величина,
определяемая потенциальной энергией единичного положительного заряда,
помещенного в эту точку.
Разность потенциалов двух точек 1 и 2 в
электростатическом поле определяется работой, совершаемой силами поля, при
перемещении единичного положительного заряда из точки 1 в точку 2.
5)
Напряженность как градиент потенциала. Эквипотенциальные поверхности
Эквипотенциальные поверхности -
поверхности, во всех точках которых потенциал ф имеет одно и то же значение.
Линии напряженности в случае точечного заряда перпендикулярны эквипотенциальным
поверхностям.
6)
Вычисление разности потенциалов по напряженности поля
(
)
. Поле двух бесконечных параллельных
разноименно заряженных плоскостей
(
)
. Поле равномерно заряженной сферической
поверхности
(
)
. Поле объемно заряженного шара
(
)
. Поле равномерно заряженного бесконечного
цилиндра
(
)
7)
Типы диэлектриков. Поляризация диэлектриков
Диэлектрики - вещества, обладающие малой
электропроводностью, т.к. у них очень мало свободных заряженных частиц -
электронов и ионов. Первую группу диэлектриков (N2, Н2, О2.) составляют
вещества, молекулы которых имеют симметричное строение, т.е. центры
"тяжести" зарядов совпадают и дипольный момент молекулы равен нулю.
Молекулы таких диэлектриков называются неполярными. Вторую группу диэлектриков
(Н2О, NH3, SO2.) составляют вещества, молекулы которых имеют асимметричное
строение, т.е. центры "тяжести" зарядов не совпадают. Эти молекулы
обладают дипольным моментом. Молекулы таких диэлектриков называются полярными.
Поляризацией диэлектрика называется
процесс ориентации диполей или появления под воздействием внешнего
электрического поля ориентированных по полю диполей.
Соответственно трем группам диэлектриков
различают три вида поляризации: электронная, или деформационная, поляризация
диэлектрика с неполярными молекулами; ориентационная, или дипольная,
поляризация диэлектрика с полярными молекулами; ионная поляризация диэлектриков
с ионными кристаллическими решетками.
8)
Поляризованность. Напряженность поля в диэлектрике
Для количественного описания поляризации
диэлектрика пользуются векторной величиной - поляризованностью, определяемой
как дипольный момент единицы объема диэлектрика.
Некомпенсированные заряды, появляющиеся в
результате поляризации диэлектрика, называются связанными.
Напряженность поля внутри диэлектрика:
ж - диэлектрическая восприимчивость вещества; e -
диэлектрическая проницаемость среды.
9)
Электрическое смещение. Теорема Гаусса для электростатического поля в
диэлектрике
Электрическое смещение - векторная
величина, равная произведению напряженности электрического поля в
рассматриваемой точке, электрической постоянной и поляризованности в той же
точке.
(Кл/м2)
(теорема Гаусса для электростатического
поля в диэлектрике). Поток вектора смещения электростатического поля в
диэлектрике сквозь произвольную замкнутую поверхность равен алгебраической
сумме заключенных внутри этой поверхности свободных электрических зарядов.
(для ваакума)
10)
Условия на границе раздела двух диэлектрических сред
Сегнетоэлектрики
Сегнетоэлектрики - диэлектрики, обладающие
в определенном интервале температур спонтанной поляризованностью, т.е.
поляризованностью в отсутствие внешнего электрического поля. При отсутствии
внешнего электрического поля сегнетоэлектрик представляет собой мозаику из
доменов - областей с различными направлениями поляризованности.
сегнетоэлектрик титоната бария
Для каждого сегнетоэлектрика имеется
определенная температура, выше которой его необычные свойства исчезают и он
становится обычным диэлектриком. Эта температура называется точкой Кюри. Как
правило, сегнетоэлектрики имеют только одну точку Кюри.
В сегнетоэлектриках наблюдается явление
диэлектрического гистерезиса ("запаздывания"). Сегнетоэлектрик
остается поляризованным в отсутствие внешнего электрического поля.
Пьезоэлектрики - кристаллические вещества,
в которых при сжатии или растяжении в определенных направлениях возникает
поляризованность даже в отсутствие внешнего электрического поля (прямой
пъезоэффект). Обратный пьезоэффект - появление механической деформации под
действием электрического поля. Пироэлектрики - кристаллы поляризованне даже без
внешнего электрического поля.
Электреты - диэлектрики, длительно
сохраняющие поляризованное состояние после снятия внешнего электрического поля.
11)
Проводники в электростатическом поле
Поверхность проводника в
электростатическом поле является эквипотенциальной. Поэтому вектор
напряженности поля на внешней поверхности проводника направлен по нормали к
каждой точке его поверхности.
Если проводнику сообщить некоторый заряд
Q, то некомпенсированные заряды располагаются только па поверхности проводника.
Если во внешнее электростатическое поле
внести нейтральный проводник, то на одном конце проводника будет скапливаться
избыток положительного заряда, на другом - избыток отрицательного. Эти заряды
называются индуцированными.
Явление перераспределения поверхностных
зарядов на проводнике во внешнем электростатическом поле называется
электростатической индукцией.
На рисунке индуцированные заряды являются
поверхностной плотностью смещенных зарядов. По формуле электрическое смещение D
вблизи проводника численно равно поверхностной плотности смещенных зарядов.
Поэтому вектор D получил название вектора электрического смещения.
Электростатическая защита - экранирование
тел, например измерительных приборов, от влияния внешних электростатических
полей.
Электростатический генератор (рис.2) -
устройство, предназначенное для накопления больших зарядов и достижения
разности потенциалов в несколько миллионов вольт.
12)
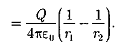
Электроемкость уединенного проводника
Уединенный проводник - проводник, который
удален от других проводников, тел и зарядов.
Электроемкость уединенного проводника
(заряд, сообщение которого проводнику изменяет его потенциал на единицу
(измеряется в фарадах) Q - заряд, фи - потенциал проводника.)
- электроемкость шара.
13)
Конденсаторы
Конденсаторы - устройства, обладающие
способностью при малых размерах и небольших относительно окружающих тел
потенциалах обладать большой емкостью. Конденсатор состоит на двух проводников
(обкладок), разделенных диэлектриком. Конденсаторы делят на плоские (две
плоские параллельные пластины одинаковой площади, расположенные на расстоянии d
друг от друга), цилиндрические (два проводящих коаксиальных цилиндра) и
сферические (два проводника, имеющие форму концентрических сфер).
Емкость конденсатора - физическая
величина, равная отношению заряда Q, накопленного в конденсаторе, к разности
потенциалов между его обкладками.
- для
плоского;
- для сферического;
- для
цилиндрического.
Конденсаторы характеризуются пробивным
напряжением - разностью потенциалов между обкладками конденсатора, при которой
происходит пробой - электрический разряд через слой диэлектрика в конденсаторе.
Соединения конденсаторов: последовательное
,
параллельное
и смешанное.
14)
Энергия системы зарядов, уединенного проводника и конденсатора. Энергия
электростатического поля
1. Энергия системы неподвижных точечных
зарядов
(
)
. Энергия заряженного уединенного
проводника (
) - равна той работе, которую необходимо
совершить, чтобы зарядить этот проводник