Материал: Экспортный потенциал России

Внимание! Если размещение файла нарушает Ваши авторские права, то обязательно сообщите нам

Экспортный потенциал России

Введение

В условиях глобализации, расширения экономической интеграции и внешнеэкономических связей во всем мире, как для России, так и для других государств, динамичное развитие торговли является существенным условием экономического роста и повышения благосостояния населения.

Исторически сложилось, что именно экспорт товаров и услуг, в частности природных ресурсов, остается неотъемлемой и важной составляющей, определяющей характер всей российской экономики. Однако в настоящий момент, в силу нестабильности мировой конъюнктуры, падения платежеспособного спроса и высокой волатильности цен, становится еще более острой давно назревшая проблема высокой сырьевой зависимости и необходимости диверсификации экспорта, что позволило бы сбалансировать и повысить эффективность функционирования экономики. В связи с этим возникает необходимость определения экспортного потенциала России на современном этапе, поэтому исследования в этой области не утрачивают своей актуальности.

Целью данной работы является исследование экспортного потенциала российской экономики с последующим выявлением наиболее перспективных отраслей и направлений для диверсификации экспорта.

Для достижения этой цели были поставлены следующие задачи:

определение понятия экспорта и экспортного потенциала, их влияния на развитие экономики;

изучение и раскрытие теоретических основ формирования экспорта, содержащихся в трудах ученых различных экономических школ;

анализ применяемых методик для исследования экспортного потенциала;

ознакомление со структурой внешнеэкономической деятельности России, ее характерными особенностями и динамикой;

выявление сравнительных преимуществ российского экспорта и возможностей для расширения экспорта

построение гравитационной модели российского экспорта с интерпретацией полученных результатов.

Достаточно большое количество работ посвящено вопросу экспортного потенциала, однако в них рассматриваются преимущественно аспекты, касающиеся лишь отдельных предприятий, отраслей или регионов. Но необходимо отметить, что отличительной особенностью данного исследования является акцент на макроэкономические показатели и составляющие.

Настоящее исследование основывается на литературе отечественных и зарубежных авторов, соответствующих экспертных докладах и базах данных. Весомую роль в нем играют статистические данные, представленные Конференцией ООН по торговле и развитию (UNCTAD), а также Международного валютного фонда, Всемирного банка и Федеральной службой государственной статистики, послужившие материалом для проведения эмпирического анализа.

Работа состоит из двух глав, включающих в себя теоретический и практический материал, а ее структура полностью обусловлена задачами, обозначенными выше.

1. Теоретические основы экспорта и анализа экспортного потенциала

.1 Общие аспекты анализа

В условиях вовлеченности в систему мирового хозяйства ориентация на внешние рынки сбыта продукции является одним из основных направлений деятельности большинства государств с рыночной системой, а увеличение доли экспорта остается важным фактором укрепления и развития национальных экономик.

Значимость стимулирования экспорта аргументировалась в работах представителей различных экономических школ. Так, например, ранние меркантилисты, включая Т. Мена, А. Монкретьена и прочих, полагали, что внешняя торговля вместе с экспортом приводит к увеличению богатства экспортирующей страны, а А. Смит и Д. Рикардо считали, что внешняя торговля позволяет каждой стране реализовать излишки конкурентоспособного производства и таким образом придать дополнительную стоимость экспортируемым товарам [13].

Экспорт приводит к экономическому росту посредством стимулирования совокупного спроса и совокупного предложения. Стимулирование совокупного спроса реализуется непосредственно через рост чистого экспорта, так и опосредованно через увеличение заработной платы работников, прибыли фирм, действующих в экспортоориентированных отраслях. Экспортная деятельность как для отдельного предприятия, так и для всего государства означает:

возможность повышения эффективности использования природных ресурсов;

использование преимуществ международного разделения труда;

снижение уровня безработицы;

усиление конкурентоспособности отраслей и реализация существующих конкурентных преимуществ;

приток валютных поступлений и возможность пополнения бюджета;

улучшение платежного баланса за счет достижения положительного сальдо баланса;

возможность экономического роста, повышения уровня и качества жизни населения. [7]

Хотя для полной и качественной реализации этих возможностей, важным является не только достижение высоких темпов роста экспорта и его разнообразие, но и изменение структуры экспортной корзины в пользу товаров, чье воздействие на экономический рост существеннее. Как показывает мировой опыт, наиболее устойчивыми во всех отношениях являются именно страны с большей долей товаров с высокой добавленной стоимостью и диверсифицированной структурой экспорта [20].

Данные обстоятельства нашли подтверждение в многочисленных эмпирических исследованиях. Например, экономисты А. Гуэрсон, Д. Паркс, М. Торрадо в ряде своих работ подчеркивают зависимость ВВП от специализации экспорта и качественных составляющих [28]. Д. Сакс и Э. Ворнер демонстрируют прямую зависимость между низким экономическим ростом и сырьевой экспортной специализации страны [34], тогда как на Д. Хаммельс и П. Клиноу отмечают, что более развитыми странами экспортируется не больший объем благ, а больший их набор [31]. Этим обосновывается необходимость проведения странами тщательного анализа и оценки их экспортного потенциала.

Экономическая категория «экспортный потенциал» вошла в России в оборот сравнительно недавно, и на сегодняшний день нет устоявшегося определения, равно как и общепринятых способов его оценки. Некоторые авторы трактуют экспортный потенциал как способность государства, фирмы, предприятия производить и поставлять на внешние рынки конкурентоспособную продукцию и услуги. [2] Другие авторы определяют его как потенциальную способность, возможность данной страны экспортировать имеющиеся у нее или производимые ресурсы, продукты. [17]

Наиболее же полное определение предложено Ю.А. Савиновым и А.Ю. Мигуновым. Согласно нему, экспортный потенциал - это способность национальной экономики, ее секторов, отраслей, предприятий и компаний производить конкурентоспособные на мировом рынке товары и услуги путем использования сравнительных национальный преимуществ, так и новых конкурентных преимуществ, основанных на достижениях науки и научно-технического прогресса [19].

Таким образом, экспортный потенциал является целым комплексом, включающим природные ресурсы, капитал, транспортно-коммуникационные ресурсы, технологии и трудовые ресурсы, и тесно связан с понятием конкурентоспособности и перспективами дальнейшего развития.

В целом для прогнозирования и эмпирической оценки специалистами могут применяться различные методы экономического, статистического и эконометрического анализа, включая в том числе сравнительный и факторный анализ. Но как уже было отмечено, традиционная, всеми используемая методология отсутствует, и зачастую исследователи ограничиваются приведением динамики экспорта и предсказанием трансформации его содержания, поскольку сталкиваются с тем, что экспортный потенциал является латентной, непосредственно не наблюдаемой величиной [22], требующей наряду с выявлением тенденций в торговле, разработки целой системы показателей, уравновешивающих и дополняющих друг друга. В рамках нее необходим анализ состояния как внутреннего, так и внешнего рынка, включающий в себя и количественные, и качественные аспекты.

В качестве распространенных индикаторов, по которым исследуется экспортный потенциал страны можно выделить:

уровень, объем и характер производства, тенденции его развития;

динамика экспорта;

реальные и объективные возможности экспорта, возможности его расширения;

эффективность существующих связей с контрагентами;

конкурентоспособность вывозимой продукции и востребованность на внешнем рынке;

занимаемая доля рынка по каждому виду продукции;

емкость внутреннего и внешнего рынка.

Более наглядно в структурированном виде все показатели представлены на схеме в Приложении 1.

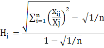
Для сопоставления данных по странам при расчете степени концентрации экспорта традиционно используется модифицированный индекс Херфиндаля-Хиршмана, рассчитываемый по формуле:


где:

 значение экспорта для страны j и продукта i,

количество экспортируемых продуктов страной j.

Значения индекса, близкие к 1 указывает на то, что экспорт страны в значительной степени сконцентрирован на нескольких продуктах. Напротив, значения, близкие к 0, отражают более равномерное распределение по ряду продуктов.

Для количественной оценки применяется также индекс диверсификации экспорта:


где:

 доля продукта i в общем количестве экспорта страны j,

 доля продукта i в общемировом экспорте.

Данный индекс принимает значения от 0 до 1, при чем значения, также близкие к 1, свидетельствуют о том, что структура экспорта страны отклонена от мировой, то есть, слабо диверсифицирована.

Вместе с тем, на начальном этапе, важно понимать, каким образом происходит наполнение экспортной корзины государства и чем определяется его экспортная специализация, для чего целесообразно рассмотреть теоретические подходы формирования экспорта отдельных товаров, разработанные учеными (в том числе упомянутыми выше) в более ранние периоды развития экономической мысли.

Так, во второй половине XVIII века А. Смитом была предложена модель абсолютных преимуществ и, согласно ней, страна поставляет на экспорт те товары, в производстве которых имеет абсолютное преимущество, то есть производит их с наименьшими издержками, а импортирует товары, в производстве которых преимущество принадлежит торговым партнерам данной страны.

Более того, в модели предполагается, что труд является единственным фактором производства, соответственно, абсолютное преимущество в издержках означает, что одной стране требуется меньше времени на производство некоторого товара, нежели другой стране. Вместе с тем, А. Смитом принимается за аксиому, что все трудовые ресурсы задействованы в производстве товаров, то есть имеет место полная занятость; в торговле участвуют только две страны, обмениваясь только двумя товарами; издержки производства остаются постоянными в течение всего времени; цена одного товара выражена в количестве труда, затраченного на производство другого; транспортные расходы, связанные с перевозкой товаров отсутствуют, а внешняя торговля свободна ничем не ограничена и не регламентирована.

Но, несмотря на наличие ряда сильных сторон теории абсолютных преимуществ, она не дает ответа на вопрос, почему происходит торговля между странами даже при отсутствии у них как таковых абсолютных преимуществ.

Позднее Д. Рикардо, исходя во многом из тех же допущений и предпосылок, развивает теорию А. Смита и основывает модель сравнительных преимуществ. Для этого он вводит понятие альтернативной цены- рабочего времени, необходимого для производства единицы одного товара на внутреннем рынке, выраженного через рабочее время, необходимое для производства единицы другого товара.

Таким образом, первая страна может с меньшими издержками по сравнению со второй страной производить товар 1, а значит, согласно Д. Рикардо, будет специализироваться на его экспорте.

Теория носит абстрактный характер, вновь не учитывая в себе, например, транспортные издержки, способные стать серьезным препятствием на пути торговли, а также исходя из наличия только одного фактора производства -труда, и так далее. Тем не менее, продолжительное время она оставалась ведущей теорией, оказывающей сильное влияние на науку.

Существенно позднее ученые, опираясь на модель сравнительных преимуществ, стали объяснять международную торговлю посредством различия в обеспеченности факторами производства: вводятся понятия фактороинтенсивности и факторонасыщенности и становится известна теорема Хекшера-Олина.

Согласно ней, «каждая страна экспортирует те фактороинтенсивные товары, для производства которых она обладает относительно избыточными факторами производства, и импортирует те товары, для производства которых она испытывает относительный недостаток факторов производства».

Однако остается неочевидным, как именно в реальной экономике определять товарные категории, более выгодные для экспорта с точки зрения экономического роста и положительных эффектов. В связи с этим в настоящий момент на первый план выходят работы, где предлагается оценка экспортного потенциала страны и выявление перспективных товаров с учетом уже имеющейся экспортной базы.

1.2 Дискретное пространство экспорта и сравнительные преимущества в оценке экспортного потенциала


Примечательной стала методика, основывающаяся на работах профессора Гарвардского университета Р. Хаусманна [29, 30]. Отталкиваясь от модели сравнительных преимуществ и положительной зависимости уровня экономического развития от экспорта определенных товаров, Р. Хаусманн и его коллеги впервые внедряют идею дискретного пространства экспорта. В соответствии с данной теорией, в экономиках стран существуют неоднородные по степени привлекательности, с точки зрения экспорта, товары, а также попарные связи между этими товарами, характеризующиеся различной удаленностью друг от друга, и обуславливающие структуру потенциального экспорта.

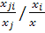
Первым этапом в методике является расчет индекса Баласса по формуле:

RCA=  

где:

 - объем экспорта товара i страной j;

- объем общего экспорта страны j;

 - объем экспорта товара i всеми странами;

Индекс, во многом благодаря простоте своей интерпретации, широко применяется и показывает долю экспорта некоторого товара в общем объеме экспорта страны по отношению к объему мирового экспорта. В случае, если индекс принимает значение большее или равное 1, то страна имеет выявленное сравнительное преимущество в экспорте товара i.

Далее проводится расчёт вероятности добавления в экспорт некоторого товара, при существующем экспорте другого товара, и отдельно для каждого товара расчет индекса PRODY по формуле:

 

где:

ВВП страны j на душу населения.

Данный индекс показывает, какого уровня развития можно достичь, экспортируя товар i, исходя из опыта других стран. Чем больше развитых стран экспортируют данный товар, тем более высокое значение принимает индекс.