Материал: Экологическое проектирование

Внимание! Если размещение файла нарушает Ваши авторские права, то обязательно сообщите нам

Экологическое проектирование

Министерство образования и науки

Казанский государственный архитектурно-строительный университет

Кафедра ХиЭС








Курсовой проект

по дисциплине

"Экологическое проектирование"


Выполнила: ст. гр. 0ИЗ-401

Дозорова Л.В.

Проверила: Скибинская А.А.






Казань 2014

Содержание

Введение

. Виды воздействия

1.1 Границы проведенных исследований и экологические ограничения

2. Общие сведения об объекте

.1 Краткая характеристика объекта

3. Оценка воздействия объекта на атмосферу

3.1 Определение объема выброса загрязняющих веществ в атмосферу в период строительства

.1.1 Расчет количества выбросов от работающей техники

3.1.2 Расчет количества выбросов при сварочных работах

3.1.3 Расчет выделений (выбросов) загрязняющих веществ при нанесении лакокрасочных материалов

.2 Определение объема выброса загрязняющих веществ в атмосферу в период строительства

.3 Коэффициент опасности предприятия

.4 Определение размеров санитарно-защитной зоны объекта

4. Оценка воздействия объекта на гидросферу

4.1 Определение объема выброса загрязняющих веществ в гидросферу в период строительства

.1.1 Расчет количества сточных вод образующихся в период строительства

.2 Определение объема выброса загрязняющих веществ в гидросферу в период эксплуатации

.3 Расчет расходов поверхностных сточных вод отводимых с территории объекта

. Оценка воздействия объекта на литосферу

.1 Определение объема выброса загрязняющих веществ в литосферу в период строительства

.2 Определение объема выброса загрязняющих веществ в литосферу в период эксплуатации

. Защита почв от возможного воздействия

7. Воздействие на растительный и животный мир

8. Физические факторы воздействия

Литература

выброс атмосфера опасность почва

Введение

В соответствии с требованиями природоохранного законодательства России и, в частности, ст.32 Федерального закона "Об охране окружающей среды" №7-ФЗ от 10.01.02г, любая намечаемая хозяйственная или иная деятельность, должна сопровождаться проведением оценки воздействия на окружающую среду, независимо от организационно-правовых форм собственности субъектов хозяйственной или иной деятельности.

Проводимое выявление, анализ и учет прямых или косвенных последствий воздействия на окружающую среду планируемой хозяйственной и иной деятельности строящихся (реконструируемых) объектов позволяет уже на стадии рабочего проектирования уменьшить неблагоприятное воздействии на ОС или разработать меры по уменьшению или их предотвращению.

Раздел "Экологическая экспертиза" разработан в соответствии с требованиями СНиП 11-01-95 "Инструкция о порядке разработки, согласования, утверждения и составе проектной документации на строительство предприятий, зданий и сооружений".

Целью данной экспертизы является оценка изменения состояния воздушного, водного бассейнов и земельного фонда в районе проектируемого объекта под воздействием его технологических и производственных процессов при строительстве и эксплуатации, в т.ч. степень потенциального влияния объекта на здоровье населения.

При разработке раздела "Экологическая экспертиза" необходимо выполнить:

определение уровня воздействия проектируемого объекта на окружающую природную среду и оценка соответствия проектных решений действующим природоохранным нормативам и требованиям;

оценка изменений природной среды в результате планируемого воздействия;

разработка проектных решений по предотвращению, либо уменьшению негативного воздействия на компоненты окружающей среды;

комплексная оценка экологических последствий воздействия объекта на ОС.

1. Виды воздействия

На основании существующих экспертных оценок любая намечаемая хозяйственная или иная деятельность оказывает явное или косвенное воздействие на окружающую среду. Основные виды воздействий следующие:

выбросы загрязняющих веществ в атмосферный воздух;

сброс загрязняющих веществ в водоемы;

изъятие полезных ископаемых из недр;

размещение бытовых, коммунальных и промышленных отходов;

изъятие земельных ресурсов; -угнетение биологических ресурсов;

физические факторы (шумы, радиация, электромагнитное излучение).

К основным объектам этих воздействий относят персонал предприятий, население, попадающее в зону воздействия, а также социально-экономические условия жизнедеятельности населения, включая занятость, демографические сдвиги, социальную инфраструктуру, этнические особенности и пр.

.1 Границы проведенных исследований и экологические ограничения

Исследования компонентов окружающей среды, выполненных в рамках данного раздела были проведены в следующих пределах:

1.      атмосферный воздух - до ближайшего жилого сектора;

2.      геологическая среда - в пределах отведенного для строительства земельного участка;

.        поверхностные воды - до ближайших водных объектов;

.        подземные воды - в пределах отведенного для строительства земельного участка;

.        почвенный и растительный покров, животный мир - в пределах отведенного участка и ближайших граничных территорий;

.        радиационная обстановка - в пределах отведенного для строительства земельного участка.

2. Общие сведения об объекте

.1 Краткая характеристика объекта

Исследуемый объект - банк, расположенный на территории РТ, г. Елабуги, ул. Молодежная,14. Объект представляет собой одноэтажное кирпичное здание, использующееся по прямому назначению, как пункт для повышения качества жизни российских граждан за счет предоставления современных финансовых продуктов и услуг. Количество работающих - 20 человек.

Форма участка прямоугольной формы со сторонами 70×15 м. Рельеф плоский без наличия ям и канав.

Объект окружен с юго-западной и северной стороны автодорогой, с остальных сторон - жилыми и административными зданиями. На территории банка предусмотрены зеленые зоны, оборудованные переносными скамейками, урнами. Озеленение осуществляется деревьями хвойных и лиственных пород, также имеются кустарники. Участок во дворе оборудован асфальтированной парковкой на 20 машин. Въезд на территорию осуществляется с существующей автодороги.

Инженерное обеспечение - автодороги, водоотведение, теплоснабжение, электроснабжение. Водоснабжение и водоотведение с использованием централизованных систем горячего водоснабжения, холодного водоснабжения и водоотведения осуществляются на основании договоров горячего водоснабжения, холодного водоснабжения и водоотведения. Холодное и горячее водоснабжение с использованием нецентрализованных систем соответственно холодного и горячего водоснабжения осуществляются на основании соглашений с лицами, эксплуатирующими указанные системы.

Продолжительность строительства -01.03.2011-01.10.2012

Площадь здания - 1050 =0,105 га

Площадь стоянки - 100 =0,01 га

Площадь земельных насаждений - 50 0,005 га

Плащадь а/б со стоянкой -270 =0,027га

Общая площадь 1480=0,148 га

3. Оценка воздействия объекта на атмосферу

При определении объемов выброса загрязняющих средств в атмосферу рассматриваю:

·              климатические условия района строительства;

·              основные источники загрязнения атмосферы на стадии строительства объекта;

·              основные источники загрязнения атмосферы на стадии эксплуатации объекта.

Климат г.Зеленодольска.

Климат умеренно континентальный, схож с климатом Казани.

·              Среднегодовая температура воздуха - 4,4 °C

·              Относительная влажность воздуха - 69,9%

·              Средняя скорость ветра - 3,2 м/с

Показатель

Ян.

Фев.

Март

Апр.

Май

Июнь

Июль

Авг.

Сен.

Окт.

Нояб

Дек.

Год

Ср. темп-ра, °С

-10,5

-10,6

-5,5

-4,9

13,5

18,5

20,4

17,9

12,2

4,5

-4,4

-9,7

4,4


3.1 Определение объема выброса загрязняющих веществ в атмосферу в период строительства

При строительных работах основной вклад в загрязнение воздуха будут вносить следующие технологические процессы и спецтехника:

перевалка минерального грунта при планировке территории, рытье котлована и организации фундаментов, прокладке траншей инженерных коммуникаций (экскаватор, бульдозер, самосвал);

двигатели дорожной техники (грузовые машины, самосвалы, бульдозер, подъемный кран, каток и др.) при движении их по территории строительной площадки;

разгрузочно-погрузочные работы со строительными материалами (минеральный грунт, керамзит, щебень, песок и пр);

-сварочные работы, проводимые сварочным аппаратом для сварки штучными электродами.

.1.1 Расчет количества выбросов от работающей техники

Качественный и количественный состав отработавших газов от передвижных источников зависит от ряда факторов: типа двигателя, режима работы и нагрузки, технического состояния и качества топлива.

Приблизительный расчет количества токсичных веществ, содержащихся в выхлопных газах автомобилей, производим, используя коэффициент эмиссии, который приведен в таблице 3.1.

Таблица 3.1 Выбросы вредных веществ при сгорании 1 т топлива

Вредный компонент

Выбросы вредных веществ двигателями


карбюраторными

дизельными

Оксид углерода Углерод Диоксид азота Сажа Сернистый газ Свинец Бенз(а)пирен

0,6 т/т 0,1 т/т 0,04 т/т 0,58 кг/т 0,002 т/т 0,3 кг/т 0,23 г/т

0,1т/т 0,03 т/т 0,04 т/т 15,5 кг/т 0,02 т/т - 0,32 г/т


Наименование техники

Время работы строительной техники


Дизельное

Бензин

Краны козловые при работе на монтаже технологического оборудования, 32т.

3,8447


Краны на автомобильном ходу при работе на др. видах строительства(кроме магистральных трубопроводов), 10т.

42,0337


Установки и агрегаты буровые на базе автомобилей, глубина бурения до 200 м., грузоподъемность 2,5т.

59,0499


Плетевозы на автомобильном ходу до 19т

2,816


Автомобили бортовые грузоподъемностью до 5 т.


84,1535

Тракторы на гусеничном ходу при работе на других видах строительства 79(108)кВт.

124,834


Краны на гусеничном ходу до 16т.

482,0268


Экскаваторы одноковшовые дизельные на гусеничном ходу при работе на других видах строительства 1,25 м3

4,8927


Установки ковшового бурения для устройства скважин под сваи глубиной до 24 м.

46,429


Бульдозеры при работе на других видах строительства


260,338

Катки дорожные

27,417


Автопогрузчики до 5т.


0,6772

Комплекты оборудования шнекового бурения на базе автомобиля

156,702


Итого:

950,1916

345,0229


Зная приблизительный расход топлива при работе одной единицы строительной техники за один час, приведенной в таблице 3.2, и рассчитав время работы строительной техники, определяем расход топлива за период строительства объекта.

Таблица 3.2

№ п/п

Вид топлива

Расход топлива, т/ч

1 2

Дизельное Бензин

0,019 0,014

 

1)      Техники, работающей на дизельном топливе=950,1916тн.

,1916 тн× 0,019 т/ч =18,054 т-расход топлива со всей техники

)        Техники, работающей на бензине=345,0229тн.

,0229 тн × 0,014 т/ч = 4,83 т-расход топлива со всей техники

Определив расход топлива при работе за период строительства объекта, определяем количество выбросов вредных веществ. Полученные результаты занесены в таблицу 3.3.

Вредный компонент

Бензин

Дизельное

Оксид углерода

Углерод

Диоксид азота

Сажа

Сернистый газ

Свинец

Бенз(а)пирен


Таблица 3.3 Перечень загрязняющих веществ выбрасываемых при строительстве

Код

Наименование вещества

ПДКмр/ ПДКсс/ ОБУВ

Класс опасности

Выброс вещества, т/г

Всего





Бензин

Дизель


0301

Азота диоксид

0,2 / 0,04 / -

3

0,1932

0,72

0,915

0328

Сажа

0,15/0,05/-

3

0,0028

0,27

0,28

0337

Углерода оксид

5/3/-

4

2,898

1,8

4,7

0703

Свинец

-/0,1/-

1

0,0014

-

0,0014

0330

Сернистый газ

0,5/0,5/-

3

0,0097

0,361

0,37

0184

Бенз(а)пирен

0,001/0,0003/-

1

0,000001

0,0000058

0,0000069

Итого



6,267


Вывод: Из результатов полученных подсчетов следует, что Объект "Столовая" в период строительства загрязняет атмосферный воздух вредными веществами от строительной техники в размере 6,267 тн. Выбросы временные, т.к. исходят от объекта лишь в период строительства.

.1.2 Расчет количества выбросов при сварочных работах

При выполнении сварочных работ атмосферный воздух загрязняется сварочным аэрозолем, в составе которого в зависимости от вида сварки, марок электродов и флюса находятся вредные для здоровья оксиды металлов(железа, марганца, хрома, ванадия, вольфрама, алюминия, титана, цинка, меди, никеля и др.), а также газообразные соединения (фтористые, оксиды углерода и азота, озон и др.).

Расчет проводится в соответствии с Методикой расчета выделений (выбросов) загрязняющих веществ в атмосферу при сварочных работах (по величинам удельных выделений), разработанной НИИ Атмосфера, Санкт-Петербург, 2000г.

Количество загрязняющих веществ, выделяющихся при сварке или наплавке под флюсами, принято характеризовать валовыми выделениями, отнесенными к 1 кг расходуемых сварочных материалов. Удельные показатели выделения загрязняющих веществ при производстве различных сварочно-наплавочных работ приведены в таблице 3.4.

Для расчета массы выбросов образующихся за весь период сварочных работ необходимо:

Мсв = У · Мi , кг (3.1)

где:

Мсв- масса выбросов образующихся за весь период сварочных работ, г/период;

У - удельные показатели выделения загрязняющих веществ при производстве различных сварочно-наплавочных работ, г/кг;

Мi - количество расходуемых сварочных материалов, кг.

Количество расходуемых сварочных материалов

Марка электрода

Масса расходуемых материалов, кг

1

УОНИ-13/45

26460

2

ЭА48А/2

9,8

3

ЭА 48/22

293,8



Таблица 3.4 Удельные показатели выделения загрязняющих веществ при сварке и наплавке металлов (на единицу массы расходуемых сварочных материалов)

Технологический процесс (операция)

Используемый материал и его марка

Наименование и удельные количества выделяемых загрязняющих веществ, г/кг



сварочный аэрозоль

в том числе

фтористый водород

диоксид азота

оксид углерода




железа оксид

марганец и его соединения

хром шестивалентный (в пересчете на трехокись хрома)

пыль неорганическая, содержащая SiO2 (20 - 70 %)

Прочие











наименование

колич.




1

2

3

4

5

6

7

8

9

10

11

12

РУЧНАЯ ДУГОВАЯ СВАРКА

Ручная дуговая сварка сталей штучными электродами

УОНИ-13/45

18

10,69

0,92

-

1,40

Фториды (в пересчете на F)

3,4

0,75

1,50

13,3


ЭА48А/2

17,8

15,89

0,5

0,90

0,50

Титана диоксид

0,01

1,76

0,9

1,9


ЭА 48/22

10,6

6,79

1,01

1,30

-

Фториды (в пересчете на F)

1,50

0,001

0,85

-



Сварочный аэрозоль:

УОНИ-13/45= 18×26460=476280 г ЭА48А/2=17,8×9,8=174,44 г ЭА 48/22=10,6×293,8=3114,28


Оксид железа:

УОНИ-13/45= 10,69×26460=282857,4 г

ЭА48А/2=15,89×9,8=155,722 г

ЭА 48/22=6,79×293,8=1994,9 г

Марганец:

УОНИ-13/45=0,92 ×26460=24343,2 г

ЭА 48/22=1,01×293,8=296,74г

Хром 6-валентный:

ЭА48А/2=0,9×9,8=8,82г

ЭА 48/22=1,3×293,8=381,94г

Пыль неорганическая:

УОНИ-13/45= 1,4×26460=37044 г

ЭА48А/2=0,5×9,8=4,9г

Фториды:

УОНИ-13/45= 3,4×26460=89964 г

ЭА48А/2=0,01×9,8=0,098г

ЭА 48/22=1,5×293,8=440,7г

Фтористый водород:

УОНИ-13/45=0,75 ×26460=19845 г

ЭА48А/2=1,76×9,8=17,248г

ЭА 48/22=0,001×293,8=0,2938г

Диоксид азота:

УОНИ-13/45= 1,5×26460=39690 г

ЭА48А/2=0,9×9,8=8,82г

ЭА 48/22=0,85×293,8=249,73г

Оксид углерода:

УОНИ-13/45=13,3×26460= 351918г

ЭА48А/2=1,9×9,8=18,62г

Полученные результаты занесены в таблицу 3.5.

Таблица 3.5 Перечень загрязняющих веществ выбрасываемых при строительстве

N п/п

Наименование вещества

 Удельные показатели, У, г/кг

 Масса электродов, кг

Выброс вещества, тн/период

1

Сварочный аэрозоль

18/17,8/10,6

26460/9,8/293,8

0,48

2

Оксид железа

10,69/15,89/6,79

26460/9,8/293,8

0,285

3

Марганец

0,92/0,5/1,01

26460/9,8/293,8

0,025

4

Хром 6-валентный

-/0,9/1,3

26460/9,8/293,8

0,00039

5

Пыль неорганическая

1,4/0,5/-

26460/9,8/293,8

0,037

6

Фториды

3,4/0,01/1,5

26460/9,8/293,8

0,09

7

Фтористый водород

0,75/1,76/0,001

26460/9,8/293,8

0,0199

8

Диоксид азота

1,5/0,9/0,85

26460/9,8/293,8

0,0299

9

Оксид углерода

13,3/1,9/-

26460/9,8/293,8

0,352


Всего



1,319


Вывод: Из результатов полученных подсчетов следует, что Объект "Столовая" в период строительства при сварочных работах загрязняет атмосферный воздух вредными веществами в размере 1,319 тн. Выбросы временные, т.к. исходят от объекта лишь в период строительства.

.1.3 Расчет выделений (выбросов) загрязняющих веществ при нанесении лакокрасочных материалов

Расчет выделений (выбросов) загрязняющих веществ при нанесении лакокрасочных материалов проводится в соответствии с "Методикой расчета выделений (выбросов) загрязняющих веществ в атмосферу при нанесении лакокрасочных материалов (по величинам удельных выделений)", разработанной НИИАтмосфера, фирма "Интеграл", утвержденной Приказом Государственного комитета Российской Федерации по охране окружающей среды от 12 ноября 1997 г. N 497.

Количество аэрозоля краски, выделяющегося при нанесении ЛКМ на поверхность изделия (детали), определяется по формуле:

Па(ок) = mк×δа / 102 , (3.2)  где:

к - масса краски, используемой для покрытия (кг)

)Грунтовка ГФ-021=19,9 кг

)Растворитель Р-4=33,2 кг

δа - доля краски, потерянной в виде аэрозоля , (табл. 3.7).

Грунтовка-Па(ок)=19,9×30/102=5,97 кг

Растворитель- Па(ок)=33,2×30/102=9,96 кг

Количество летучей части каждого компонента по формуле:

Ппар(ок) = mк×fр×δр / 104 , (3.3)  где:

р - доля летучей части (растворителя) в ЛКМ, (табл. 3.6),

δр - доля растворителя в ЛКМ, выделившегося при нанесении покрытия (табл.3.7).

Грунтовка-Ппар(ок)=19,9×45×25/104=2,24 кг

Растворитель -Ппар(ок)=33,2×100×25/104=8,3 кг

 

В процессе сушки происходит практически полный переход летучей части ЛКМ (растворителя) в парообразное состояние:

Ппар(с) = mк x fрас x δр / 104 , (3.4)  где:

δр - доля растворителя в ЛКМ, выделившаяся при сушке покрытия (табл. 3.7).

Грунтовка-Ппар(с)=19,9×45×75/104=6,72 кг

Растворитель -Ппар(с)=33,2×100×75/104=24,9 кг

Таблица 3.6. Состав лакокрасочных материалов

Вид

Марка

Доля

Наименование летучей части растворителя

Содержание компонента в летучей части ЛКМ, %

1

2

3

4

5

Грунтовки

ГФ-021

45

Ксилол

100

Растворители

Р-4

100

Ацетон Бутилацетат Толуол

26 12 62


Таблица 3.7 Выделение загрязняющих веществ при нанесении лакокрасочных покрытий

 Способ окраски

Доля аэрозоля при окраске(%)

Пары растворителя (% от общего содержания растворителя в краске


при окраске, δр

при окраске, fр

при сушке, fрас

Пневматический

30

25

75


Таблица 3.8

Вид

Наименование загрязняющих веществ

Содержание в летучей части ЛКМ , (%)

Количество летучей части каждого компонента, кг

Грунтовка ГФ-021

Ксилол

100

2,24

Растворитель Р-4

Ацетон

26

2,158


Бутилацетат

12

0,996


Толуол

62

5,146


Выводы:

Наименование вещества

Класс опасности

ПДКсс

Количество загрязняющего вещества, кг

Свинец

1

0,1

1,4

Бенз(а)пирен

1

0,0003

0,0069

Хром 6-валентный

1

0,0015

0,39

Итого 1 класса опасности:

1,8

Марганец

2

0,001

25

Фториды

2

0,03

0,09

Фтористый водород

2

0,005

0,02

Итого 2 класса опасности:

25,11

Диоксид азота

3

0,04

945

Сажа

3

0,05

280

Сернистый газ

3

0,5

370

Оксид железа

3

0,04

285

Пыль неорганическая

3

0,5

37

Ксилол

3

0,2

2,24

Толуол

3

0,6

5,146

Итого 3 класса опасности:

1924,4

Оксид углерода

4

3

5052

Ацетон

4

0,35

2,158

Бутилацетат

4

0,1

0,996

Итого 4 класса опасности:

5055,154

ВСЕГО:

7006,464


На предприятии систематически проводится инвентаризация источников выбросов с целью систематизации сведений о распределении источников на территории, количестве и составе выбросов.

К передвижным источникам загрязнения атмосферного воздуха относятся транспортные средства: автомобильные, железнодорожные и т.д. Передвижные источники могут работать на газообразном, жидком и твердом топливе.

.2 Определение объема выброса загрязняющих веществ в атмосферу в период эксплуатации

Основными источниками загрязнения атмосферы в период эксплуатации гражданских зданий являются:

• открытые гостевые автостоянки;

• выбросы вентиляционных систем и систем дымоудаления встроенных автостоянок и предприятий торговли;

• выбросы от индивидуальных отопительных систем или встроенных автономных котельных, работающих на всех видах топлива.

Расчет выбросов при движении автотранспорта во время въезда-выезда с территории, при прогреве двигателей и работы их на холостом ходу с выхлопными газами от работы двигателей можно осуществлять аналогично определению количества выбросов от строительной техники.

Основными источниками загрязнения атмосферы в период эксплуатации для промышленных зданий являются:

• выбросы, образующиеся в процессе производства, количественный и качественный состав которых зависит от технологического процесса производства;

• выбросы от автомобильного и железнодорожного транспорта.

Промышленные и транспортные выбросы в атмосферу, содержащие взвешенные и газообразные загрязняющие вещества, характеризуются объемом, интенсивностью выбросов, температурой, классом опасности и концентрацией загрязняющих веществ. Их негативное воздействие обычно рассматривается в зоне влияния рассматриваемого объекта.

В соответствии с ОНД-86 [24] зоной влияния объекта на атмосферный воздух считается территория, на которой суммарное загрязнение атмосферы от всей совокупности источников выбросов данного объекта превышает 0,05-0,1 ПДК. Зоны влияния объектов определяются отдельно по каждомувредному веществу и комбинации веществ с суммирующим вредным воздействием.

Количество рабочих дней в году: 365-48(воскресений)=317 дней.

График работы: 06:00-18:00,т.е. 12ч.

Столовая имеет парковку на 20 парковочных мест размером 2×3м..

В сутки парковку посещает около 150 машин.

Расход бензина=0,014 тн/ч одной машиной

Время работы двигателя одной машины=15 минут.

За 15 минут расход бензина одной машиной= 0,014/60×15=0,0035тн

0,0035×150=0,525тн/в сутки со всех машин.

0,525×317=166,425тн/год.

Оксид углерода

Углерод

Диоксид азота

Сажа

Сернистый газ

Свинец

Бенз(а)пирен


Таблица 3.4 Перечень загрязняющих веществ выбрасываемых в период эксплуатации

Вредный компонент

Выбросы вредных веществ при сгорании 1т топлива

Количество выбросов вредных веществ, т/год

Оксид углерода

0,6

99,85

Углерод

0,1

16,64

Диоксид азота

0,04

6,657

Сажа

0,58*10-3

0,096

Сернистый газ

0,002

0,33

Свинец

0,3*10-3

0,0499

Бенз(а)пирен

0,23*10-6

0,000038

Итого:

123,623


Вывод: В период эксплуатации источником загрязнения является парковка на 20 парковочных мест. Количество выбросов составляет 123,623тн/год.

.3 Коэффициент опасности предприятия (КОП)

Категория опасности предприятия (КОП) рассчитывается согласно "Рекомендациям по делению предприятий на категории опасности в зависимости от массы и видового состава выбрасываемых в атмосферу загрязняющих веществ" .

Расчет КОП производится по следующей формуле:

КОП = ( Mi / ПДКi )аi ,

где: Mi - масса выброса i-ro вещества, т/год;

ПДКi - среднесуточная предельно-допустимая концентрация i-ro вещества, мг/м3;

n - количество загрязняющих веществ, выбрасываемых предприятием;

а - безразмерная константа, зависящая от класса опасности i-ro вещества и значения которой для веществ различных классов опасности приведены в таблице 3.9.

Таблица 3.9

Константа

Класс опасности


I

II

III

IV

А

1.7

1.3

1.0

0.9


Условия для деления предприятий по категориям КОП представлены в таблице 3.9.

Таблица 3.9

Категория опасности предприятия

Значение КОП

I

КОП> 100000

II

10000<КОП<100000

III

1000<КОП< 10000

IV

1<КОП<1000


Расчет КОП для всех веществ и исходные данные для него приводятся в таблице 3.10.

Таблица 3.10 Коэффициент опасности предприятия

Код

Наименование вещества

ПДКсс (мг/мЗ)

Класс опасности

Масса выброса, т/год

Безразмерная константа

КОП по каждому веществу

1

Оксид углерода

3

4

99,85

0,9

23,44

2

Углерод

0,05

3

16,64

1

332,8

3

Диоксид азота

3

6,657

1

166,42

4

Сажа

0,05

3

0,096

1

1,92

5

Сернистый газ

0,5

3

0,33

1

0,66

6

Свинец

0,1

1

0,0499

1,7

0,3

7

Бен(а)пирен

0,0003

1

0,000038

1,7

0,03

Итого:

525,57


Оксид углерода

(99,85/3)0,9=23,44

Углерод

(16,64/0,05)1=332,8

Диоксид азота

(6,657/0,04)1=166,42

Сажа

(0,096/0,05)1=1,92

Сернистый газ

(0,33/0,5)1=0,66

Свинец

(0,0499/0,1)1,7=0,3

Бен(а)пирен

(0,000038/0,0003)1,7=0,03


Класс опасности предприятия 4.

Вывод: в результате строительства образуются выбросы, загрязняющие атмосферу, основными источниками которых являются технологические процессы и спецтехника.Исходя из количества загрязняющих веществ, выбрасываемых при строительстве, объект относится к IV категории опасности предприятий.

.4 Определение размеров санитарно-защитной зоны объекта

Санитарно-защитной зоной (СЗЗ) является территория между границами промплощадки и территории жилой застройки, ландшафтно-рекреационной зоны, зоны отдыха. СЗЗ является обязательным элементом любого объекта, который может быть источником химического, биологического или физического воздействия на среду обитания и здоровье человека.

Граница СЗЗ ограничивает территорию или максимальное из плановых проекций пространства, за пределами которых нормируемые факторы воздействия не превышают установленные гигиенические нормативы.

В зависимости от выбрасываемых загрязняющих веществ и условий технологического процесса, промышленные предприятия делят на пять классов опасности, соответственно которым устанавливаются размеры СЗЗ.

Согласно СанПиН 2.2.1/2.1.1.1200-03 "Санитарно-защитные зоны и санитарная классификация предприятий, сооружений и иных объектов" определяется расстояние СЗЗ от проектируемого объекта до жилой застройки. Санитарно-защитная зона для административных и социально-общественных зданий не устанавливается.

Объект "Столовая"содержитсклады хранения пищевых продуктов (мясных, молочных, кондитерских, овощей, фруктов, напитков и др.), лекарственных, промышленных и хозяйственных товаров, которые относятся к V классу опасности. Санитарно-защитная зона= 50 м.

Также объект "Столовая" имеет автостоянку на 50 парковочных мест. Расстояния от сооружений для хранения легкового автотранспорта до объектовзастройки приводятся согласно СанПиН 2.2.1/2.1.1.1200-03 "Санитарно-защитные зоны и санитарная классификация предприятий, сооружений и иных объектов".(табл. 3.11)

4. Оценка воздействия объекта на гидросферу

.1 Определение объема выброса загрязняющих веществ от объекта в гидросферу в период строительства

Проведение реконструкционных и строительных работ сопряжено с образованием кратковременного, загрязненного взвешенными веществами поверхностного стока с территории строительства. Возможные направления воздействия:

1.      изъятие и использование воды на производственные и хозяйственно-питьевые нужды;

2.      загрязнение поверхности водосбора сточными водами, а также отходами, образующимися в период строительства;

.        изменение гидрологического и гидрохимического режима водотоков в случае их пересечения.

В данной части раздела можно привести следующие данные:

в районе площадки строительства находится водоем на расстоянии 40м. от объекта строительства.

Согласно ст.6 Водного кодекса Российской Федерации поверхностные водные объекты, находящиеся в государственной или муниципальной собственности, являются водными объектами общего пользования, то есть общедоступными водными объектами, если иное не предусмотрено Кодексом. Каждый гражданин вправе иметь доступ к водным объектам общего пользования и бесплатно использовать их для личных и бытовых нужд, если иное не предусмотрено указанным Кодексом, другими федеральными законами. Полоса земли вдоль береговой линии водного объекта общего пользования (береговая полоса) предназначается для общего пользования. Ширина береговой полосы водных объектов общего пользования составляет двадцать метров, за исключением береговой полосы каналов, а также рек и ручьев, протяженность которых от истоков до устья не более чем десять километров. Ширина береговой полосы каналов, а также рек и ручьев, протяженность которых от истока до устья не более чем 10 километров, составляет пять метров.

-Для озер, водохранилищ (за исключением озера, расположенного внутри болота) - 50 метров.

В границах водоохранных зон запрещаются:

·              использование сточных вод для удобрения почв;

·              размещение кладбищ, скотомогильников, мест захоронения отходов производства и потребления, радиоактивных, химических, взрывчатых, токсичных, отравляющих и ядовитых веществ;

·              осуществление авиационных мер по борьбе с вредителями и болезнями растений;

·              движение и стоянка транспортных средств (кроме специальных транспортных средств), за исключением их движения по дорогам и стоянки на дорогах и в специально оборудованных местах, имеющих твердое покрытие.

Вывод: Установлена Водоохранная зона для водного объекта -50 м. Объект "Столовая" находится в водоохранной зоне, но автостоянка на 20 парковочных мест специально оборудована твердым покрытием. Поэтому все требования соблюдены и объект "Столовая" разрешен для эксплуатации.

Водопользование в производстве относится к невозобновимым потерям, нигде не собирается и в дальнейшем не используется. Вода, используемая для хозяйственно - питьевых нужд привозная, вывозится в цистернах в ближайшую канализационную систему.

4.1.1 Расчет количества сточных вод образующихся в период строительства

Потребность Qтр в воде определяется суммой расхода воды на производственные (Qпр)и хозяйственно-бытовые (Qхоз)нужды:

Qтр= Qпр + Qхоз.

 

Расход воды на производственные потребности, л/с:

пр = Кн,

где qп - расход воды на производственного потребителя;

Пп - число производственных потребителей в наиболее загруженную смену;

Кч - коэффициент часовой неравномерности водопотребления (1,5);

t - число часов в смене;

Кн - коэффициент на неучтенный расход воды (1,2).

пр =221,27 м3/8мес

месяцев=5760ч.

,27 / 5760 / 3600=0,00001067 м3/с=0,01067 л/с

Расходы воды на хозяйственно-бытовые потребности, л/с:

 

 + ,

где qx - удельный расход воды на хозяйственно-питьевые потребности работающего=25л; Пр - численность работающих в наиболее загруженную смену=8чел; Кч - коэффициент часовой неравномерности потребления воды= 2; qд - расход воды на прием душа одним работающим=30л; Пд - численность пользующихся душем= 5чел; t1 - продолжительность использования душевой установки= 15мин; t - Число часов в смене=8час.

==0,18×3600×24×240=3732480л/8 мес.=3732,48 м3/8 мес

Qтр=221,27 + 3732,48 = 3953,75 м3/8 мес

Источник, за счет которого производится покрытие потребности в воде- временный водопровод .

Вывод: В период строительства образуются сточные воды (СВ) в количестве= 3 953,75 м3. Производственные СВ относятся к невозобновимым потерям, т.к. расходуются в период строительства,а для удаления бытовых СВ используется биотуалет и выгребная яма, которые по окончанию строительства демонтируются и СВ вывозятся с территории строительства.

Объект строительства находится в водоохранной зоне, но вреда окружающей среде приносить не будет, т.к. автостоянка оснащена твердым покрытием

4.2 Определение объема выброса загрязняющих веществ в гидросферу в период эксплуатации

Проектируемое здание "Столовая" в процессе эксплуатации использует городскую централизованную сеть водоснабжения и канализации и очистные сооружения и оборудовано следующими системами инженерного обеспечения:

1)                        система холодного водоснабжения;

2)      система горячего водоснабжения;

)        система хозяйственно-бытовой канализации;

)        система дождевой канализации.

Таблица 4.1 Расчет водопотребления

Водопотребители

Измери-тель

Норма расхода воды, л

Количество водопотребителей

Расход воды, л/сут

Расход воды, л/год



в средние сутки






общая

горячей






(в том числе горячей)





1

2

3

4

5

6

7

АУП

1 работающий

12

5

4

48

12240


АУП:12*4=48 л/сут

48×255=12240 л/год

Нормы расхода воды установлены для основных потребителей и включают все дополнительные расходы (обслуживающим персоналом, душевыми для обслуживающего персонала, посетителями, на уборку помещений и т. п.).

В предприятиях общественного питания количество реализуемых блюд U в час следует определить по формуле:

U = 2,2nm =2,2×200×2=880 (4.1)

где n - количество посадочных мест;

m - Количество посадок, принимаемое для столовых открытого типа и кафе равным 2.

 


Таблица 4.2. СНиП2.04.01-85* Внутренний водопровод и канализация зданий. Нормы расхода воды потребителями

Водопотребители

Измеритель

Норма расхода воды в средние сутки,л






общая (в том числе горячей)

горячей





20. Предприятия общественного питания:

 

 

 

для приготовления пищи:

 

 

 

реализуемой в обеденном зале

1 условное блюдо

12

4

продаваемой на дом

то же

10

3

выпускающие полуфабрикаты:

 

 

 

Мясные

1 т

-

-

Рыбные

то же

-

-

Овощные

"

-

-

кулинарные

"

-

-


Нормы расхода воды включают все дополнительные расходы (обслуживающим персоналом, душевыми для обслуживания персонала, посетителями, на уборку помещения и т.д.)

Прогнозное количество сточных вод определяется исходя из рассчитанного количества водопотребления.

Вывод: В период эксплуатации объект "Столовая" нуждается в воде, в размере 3377952 л/год.

.3 Расчет расходов поверхностных сточных вод, отводимых с территории объекта

Территория проектируемого объекта по характеру загрязнений относится к первой группе, сток с которых по составу примесей близок к поверхностному стоку с селитебных территорий и не содержит специфических веществ с токсическими свойствами.

Сбор и отвод дождевых и талых вод с кровли проектируемого здания могут быть организованны по системам внутренних или наружных водостоков или неорганизованным. Отвод поверхностных вод от зданий обычно производится в сторону проездов, газонов и далее в места общего понижения рельефа местности.

Объем определяется согласно утвержденной Минприроды РТ методике "Методика расчета предельно-допустимых сбросов (ПДС) веществ в водные объекты со сточными водами." ВНИИ ВО. М., 1993 г.

В расчетах использованы концентрации основных загрязняющих веществ и специфических примесей в поверхностном стоке, принятых с территории автотранспортного предприятия.

Расчет величины сброса (выноса) загрязняющих веществ с дождевыми, талыми и поливомоечными водами с урбанизированных территорий (застроенные участки с высоким уровнем благоустройства при отсутствии на них производственных объектов)

Расчет производится по формуле:

 

где: S - площадь территории водосбора

 - объем стока дождевых, талых и поливомоечных вод соответственно

- фактическая концентрация i-ro загрязняющего вещества в стоке дождевых, талых и поливомоечных вод соответственно.

- площадь водонепроницаемых покрытий, подвергающихся мокрой уборке.

Расчетные расходы годовых объемов поверхностных сточных вод с кровли объекта и прилегающей территории сведены в таблицу 4.3.

Таблица 4.3.

Объемы сточных вод, м3/год

дождевых

Талых

поливомоечных

Всего

1211,6

634,5

630

2470


Расчет объема стока дождевых вод с территории предприятия

Объем стока дождевых вод с территории предприятия определяется по формуле.

 (4.3)

где:

Нд - слой осадков за теплый период со средними температурами выше 0 0С.

.71 - коэффициент, учитывающий объем стока дождевых вод в зависимости от интенсивности дождя продолжительностью 20 минут в условиях РТ.

Квн - коэффициент, учитывающий интенсивность формирования дождевого стока в зависимости от степени распространения водонепроницаемых поверхностей на площади водосбора. Определяется в соответствии с таблицей.

0,036+0,238=0,274га

,274/0,343=0,799=79,9%

Квн=1,83

Пвн

0%

10%

20%

30%

40%

50%

60%

70%

80%

90%

100%

Квн

0,4

0,4

0,6

0,8

1,0

1,2

1,4

1,6

1,8

2,0

2,2


Объем стока дождевых вод= 1211,6×0,274=331,98 /год

Расчет объема стока талых вод с территории предприятия

Объем стока талых вод с территории предприятия определяется по формуле.

 

где:

S-площадь водонепроницаемых объектов, га

Нт - слой осадков за холодный период со средними температурами ниже 0 0С.

,47 - коэффициент, учитывающий объем стока талых вод в зависимости от условий снеготаяния в РТ.

Кd - коэффициент, учитывающий вывоз снега с территории предприятия(10).

Объем стока дождевых вод= 634,5×0,274=173,853 /год

Расчет объема стока поливомоечных вод с территории предприятия.

Объем стока поливомоечных вод с территории предприятия определяется по формуле:

 (4.5)

где:

q - расход воды на поливку (мойку) твердых покрытий за отчетный период принимается по нормативным данным =1.2л/м2;

,5 - коэффициент стока поливомоечных вод.- количество (поливок) моек в год принимается по данным учета или в соответствии с нормативными документами, регламентирующими правила эксплуатации промплощадок.1 поливка в 3 дня.

Объем стока дождевых вод= 630×0,238=149,94 /год

Взвешенные вещества: 0,331×250+0,174×3500+0,15×500=0,00077

БПКп: 0,331×30+0,174×90+0,15×100=0,00004

Нефтепродукты: 0,331×10+0,174×30+0,15×30=0,000013

ХПК: 0,331×250+0,174×3500+0,15×500=0,00077

Сульфаты: 0,331×100+0,174×500+0,15×100=0,000135

Хлориды: 0,331×200+0,174×1500+0,15×200=0,000357

Азот аммонийный: 0,331×2+0,174×4,3+0,15×2=0,0000017

Азот общий: 0,331×4,9+0,174×10,5+0,15×4,9=0,0000042

Нитраты: 0,331×0,08+0,174×0,17+0,15×0,08=0,000000068

Нитриты: 0,331×0,08+0,174×0,17+0,15×0,08=0,000000068

Кальций: 0,331×43+0,174×113+0,15×43=0,00004

Магний: 0,331×8+0,174×14+0,15×8=0,00000628

Железо: 0,331×0,3+0,174×1,7+0,15×0,3=0,00000044

Медь: 0,331×0,02+0,174×0,08+0,15×0,02=0,000000023

Никель: 0,331×0,01+0,174×0,02+0,15×0,01=0,000000008

Цинк: 0,331×0,3+0,174×0,55+0,15×0,3=0,00000024

Фосфор общий: 0,331×1,08+0,174×1,08+0,15×1,08=0,0000007

Результаты расчета массы загрязняющих веществ, выносимых с территории предприятия, представлены в таблице 4.4

Таблица 4.4.

Наименование загрязняющего вещества

Концентрация загрязняющего вещества мг/л

Масса сброса загрязняющего вещества с организованным стоком т/год


Дождевые воды, Wд= 0,332м3/год

Талые воды, Wт= 0,17м3/год

Поливомоечные воды, Wn= 0,15 м3/год


Площадь водонепроницаемой поверхности, S (га)

 0,132

0,132

0,027


Взвешенные вещества

250

3500

500

0,00077

Нефтепродукты

10

30

30

0,000013

БПКп

30

90

100

0,00004

ХПК

100

250

100

0,000092

Сульфаты

100

500

100

0,000135

Хлориды

200

1500

200

0,000357

Азот аммонийный

2

4,3

2

0,0000017

Азот общий

4,9

10,5

4,9

0,0000042

Нитраты

0,08

0,17

0,08

0,000000068

Нитриты

0,08

0,17

0,08

0,000000068

Кальций

43

113

43

0,00004

Магний

8

14

8

0,00000628

Железо

0,3

1,7

0,3

0,00000044

Медь

0,02

0,08

0,000000023

Никель

0,01

0,02

0,01

0,000000008

Цинк

0,3

0,55

0,3

0,00000024

Фосфор общий

1,08

1,08

1,08

0,0000007


Полученные результаты по расчетам объема сточных вод, образующихся в период эксплуатации, занесены в сводную таблицу 4.5.

Вывод:

В результате эксплуатации и строительстве объекта образуются отходы от использования воды на производственные и хозяйственно - питьевые нужды, а также отходы от дождевых, талых и поливомоечных вод. Производственные и бытовые стоки, образующиеся на строительной площадке будут поступать, и очищаться в существующей централизованной канализации. В ходе эксплуатации для хозяйственно - питьевых вод предусмотрено внутреннее водоотведение в систему хозяйственно - бытовой канализации. Для отвода дождевых, талых и поливомоечных вод на территории объекта предусмотрен сток в канализацию. В период эксплуатации объект не наносит негативного воздействия на гидросферу, хотя находится в водоохранной зоне. Сточные воды не сбрасываются в ближайший водный объект, т.к. предусмотрена городская сливная канализационная сеть и ливневая канализация. Изъятия воды из водного объекта не происходит, т.к. для объекта предусмотрена городская централизованная сеть водоснабжения. Нарушение гидрохимического и гидрологического режимов водотоков также невозможно.

5. Оценка воздействия объекта на литосферу

.1 Определение объема выброса загрязняющих веществ в литосферу в период строительства

Согласно требованиям законов РТ и РФ на предприятиях, организациях и учреждениях, любые виды хозяйственной или иной деятельности должны сопровождаться учетом всех видов образующихся отходов, определением методов и способов их утилизации.

Образование отходов в период строительства объекта сопряжено с проведением следующих основных видов работы:

·        расчистка территории подготовка котлована под строительство объекта;

·        строительство объекта;

·        прокладка инженерных коммуникаций и их подключение (газо- и водопровод, хозбытовая канализация, электроснабжение, отопление, вентиляция).

Основными источниками отходов, образующихся в период строительства, будут являться строительные материалы, требующиеся для устройства конструкций непосредственно на стройплощадке и при отделочных работах. Помимо вышеуказанных материалов в строительстве используются и готовые строительные изделия (лестничные марши, дверные блоки, стеклопакеты и тд.), но расчет образования отходов по ним не производиться. Зная количество материалов, используемых в период строительства, и нормы образования отходов, определим количественный и качественный состав отходов, образующихся в период строительства.

Ориентировочный объем образования отходов при строительстве объекта

Таблица 4.6

№ п/п

Наименование стр. мат-ов, израсходованных за период стр-ва

Единица измерения

Расход по факту

Класс опасности

Нормы образования отходов

Кол-во отходов

1

Пиломатериалы

м3

26,8

4

3%

0,804

2

Песок строительный

м3

44,1


3%

1,323

3

Бетон монолитный

м3

270,983


1,5%

4,065

4

Кирпич

т, шт

155,548

3

1%

1,556

5

Краска

кг

0,2


3%

0,006

6

Раствор готовый кладочный

м3

106,49

3

1,5%

1,597

7

Известь

кг

183,8


3%

5,514

8

Арматура

т

15,076


1,5%

0,226

9

Болты,гвозди

т

0,1808


1%

0,0018


Вывод: Территория застройки является освоенными землями, относится к землям поселений. Плодородных почв на территории нет, в данном случае воздействие на почвы минимальное. Территория площадки после окончаниястроительно-монтажных работ будет очищена от мусора и благоустроена, предусматривается посадка газона, цветников, деревьев.

.2 Определение объема выброса загрязняющих веществ в литосферу в период эксплуатации

Для административных зданий можно определить следующие основные виды образующихся отходов: ТБО (4 кл. оп.), смет с территории (4 кл. оп.), отработанные ртуть содержащие лампы (1кл. оп.), отработанные лампы накаливания, макулатура (4 кл. оп.).

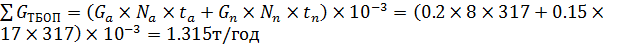
Расчет и обоснование объемов образования отходов от персонала (ТБОП)

 

где: Ga - норматив ТБОП (суммарно) для административно управленческого персонала, кг/сотр.*сут;

Gn - норматив ТБОП (суммарно) для производственного персонала, кг/сотр.*сут;

Na,Nn - среднесписочное количество сотрудников соответственно для административно-управленческого и производственного персонала;

ta,tn - количество рабочих дней в году, соответственно для административно-управленческого и производственного персонала, сут/год.

Расчет и обоснование объемов образования отходов от посетителей (ТБОП1)

 

Макулатуру требуется выделять из состава ТБОП.

Масса макулатуры = численность АУП * кол-во раб.дн. * 56 грамм образования макулатуры в сутки от АУП.

Масса ТБОП без макулатуры = Масса ТБОП - Масса макулатуры

Масса ТБОП без макулатуры =

Расчет количества образовавшегося смета с территории

Количество смета = площадь убираемой территории * количество нормативного смета

Количество нормативного смета 5 кг с 1 м2.

Количество смета =

Расчет массы отработанных люминесцентных ламп

 

 (шт)

где: Оп.л- количество люминесцентных ламп, подлежащих обезвреживанию, шт.;

Кл.л. - количество установленных ламп на предприятии, шт.; Чл.л. - среднее время работы одной лампы, 4,57 час в смену;

С - число рабочих смен в году;

Нл.л. - нормативный срок службы одной лампы, час.

Нормативный срок службы одной лампы по ГОСТ составляет 12000 час.

Перечень отходов образовавшихся в период эксплуатации

Таблица 5.2

№ п/п

Наименование отходов производства и потребления

Количество отходов производства и потребления

1

Картонно-бумажные отходы

0,142 т/год

2

ТБОП без макулатуры

1,173 т/год

3

ТБОП1(от персонала)

13948 т/год

4

Смет с территории

11,9 т/год

5

Отработанные люминесцентные лампы

22шт/год

 

Вывод: на территории объекта предусматривается обустройство площадки для мусоросборника. Площадку планируется выполнить в виде асфальтобетонного непроницаемого покрытия, огражденного с трех сторон забором. На площадке планируется установить металлические контейнеры вместимостью 0,75 м3.

6. Защита почв от возможного воздействия

Почвенный покров участка отвода под строительство "Столовая", расположенного в г. Зеленодольск, не попадает под земли природоохранного, природно-заповедного и историко-культурного назначения.

Загрязнение и захламление прилегающей территории может быть связано, прежде всего, с образованием строительных отходов. В период проведения работ по строительству объекта все строительные работы, складирование строительных материалов, образующихся отходов запланировано проводить на территории участка отвода со своевременным их вывозом по мере накопления. Данные мероприятия исключают возможность захламления прилегающей территории.

Негативное воздействие в период эксплуатации сооружения, может быть вызвано, главным образом, загрязнением и захламлением почвенного покрова прилегающих участков отходами (в первую очередь ТБО).

Во избежание этого, в проектных материалах предусмотрено место их временного складирования что отвечает современным санитарно-гигиеническим требованиям и позволяет предотвратить загрязнение почвенного покрова бытовым мусором.

Вывод: в целях предотвращения загрязнения и захламления почвенного покрова "Столовая", расположенного в г. Зеленодольск, образующимися в процессе эксплуатации отходами (в первую очередь ТБО), в проектных материалах предусмотрено место их временного складирования. Данное проектное решение отвечает современным санитарно-гигиеническим требованиям и позволяет предотвратить загрязнение почвенного покрова придомовых территорий бытовым мусором. Территория застройки является освоенными землями, относится к землям поселений. Плодородных почв на территории нет, в данном случае воздействие на почвы минимальное. Территория площадки после окончания строительно-монтажных работ будет очищена от мусора и благоустроена, предусматривается посадка газона, цветников, деревьев.

7. Воздействие на растительный и животный мир

Зеленые насаждения являются неотъемлемой частью практически всех функциональных зон города и их формирование в городских условиях тесно связано с развитием города.

Городские зеленые насаждения призваны выполнять ряд основных задач, к которым относятся функциональная (организация городских территорий различного назначения), санитарно-гигиеническая (оздоровление городской среды и улучшение микроклиматических условий) и архитектурно-художественная (формирование художественно-эстетического облика города вместе с архитектурным окружением). В то же время они подвергаются разнообразному воздействию со стороны города и нуждаются в постоянном контроле и поддержании их жизненности. На состояние древесной растительности в городской черте влияет целый ряд факторов: климатические, биотические, антропогенные. К последним относятся: загрязнение воздушной среды, нарушение почвенной структуры и ее загрязнение, а также всевозможные механические повреждения. Возраст насаждений достиг критической отметки, в связи с чем, зеленые насаждения требуют значительного ухода и омоложения.

Непосредственно на участке строительства Столовой, расположенной в г. Зеленодольск, присутствует древесно-кустарниковая растительность.

Вывод: в период эксплуатации проектируемого объекта растительный покров прилегающих участков не будет испытывать на себе значительного негативного воздействия. Фауна окрестностей строительства представлена синантропными видами, среди которых можно выделить: домовую мышь, серую и черную крысу, постельного клопа, рыжего и черного таракана.

Редкие и исчезающие виды, занесенные в Красные книги РТ и РФ, виды-эндемики и виды, имеющие хозяйственно-промысловое значение, а также основные миграционные пути животных здесь отсутствуют.

Строительство и эксплуатация объекта не приведет к негативному воздействию на представителей животного мира прилегающих территорий.

8. Физические факторы воздействия

Одним из основных факторов физического воздействия в городах и других населенных пунктах является шум, источником которого выступают транспортные потоки на улицах и дорогах, железнодорожные поезда, трансформаторы и источники шума внутри групп жилых домов.

Вывод: основным источником шума в период проведения строительных работ будет являться работа строительной техники. С целью снижения шума необходимо установить заборы высотой не менее 2 м.

Основным источником шума на территории в период эксплуатации является автотранспорт. Других источников шумового загрязнения в районе проектируемого объекта нет. С целью снижения шума в период эксплуатации предусматривается посадка деревьев.

Вывод

Воздействие на атмосферу:

·        В период строительства Объект "Столовая" выбрасывает в атмосферный воздух загрязняющие вещества. Выбросы являются временными , т.к. происходят лишь в период строительства.

·        В период эксплуатации основным источником загрязнения атмосферного воздуха будет являться автостоянка на 20 парковочных мест. Количество выбросов составляет 123,623 т/год. Для уменьшения загрязнения атмосферного воздуха на территории объекта предполагается посадка зеленых насаждений в виде кустарников, деревьев и газона.

Воздействие на гидросферу:

·        В период строительства водоиспользование воды в производстве (221,27 м3/ с)относится к невозобновимым потерям, нигде не собирается и в дальнейшем не используется. Вода, используемая для хозяйственно-питьевых нужд привозная, вывозится в цистернах в ближайшую канализационную систему.

·        В период эксплуатации объекта образуются отходы от дождевых, талых и поливомоечных вод. Для хозяйственно - питьевых вод предусмотрено внутреннее водоотведение в систему хозяйственно - бытовой канализации. Для отвода дождевых, талых и поливомоечных вод на территории объекта предусмотрен сток в канализацию. В период эксплуатации объект не наносит негативного воздействия на гидросферу, хотя находится в водоохранной зоне. Сточные воды не сбрасываются в ближайший водный объект, т.к. предусмотрена городская сливная канализационная сеть и ливневая канализация. Изъятия воды из водного объекта не происходит, т.к. для объекта предусмотрена городская централизованная сеть водоснабжения. Нарушение гидрохимического и гидрологического режимов водотоков также невозможно.

Воздействие на литосферу:

·        В период строительства основным источником загрязнения литосферы является строительная площадка. Образование отходов в виде строительных материаловпредусматривается местом складирования твердых бытовых отходов с периодическим вывозом.

·        В целях предотвращения загрязнения и захламления почвенного покрова территории Столовой в г.Зеленодольскобразующимися в процессе эксплуатации отходами (в первую очередь ТБО), в проектных материалах предусмотрено место их временного складирования.

С целью снижения шума на территории объекта предполагается посадка зелёных насаждений в виде деревьев, кустарников и газона.

Объект в период эксплуатации не ведет за собой негативного воздействия на окружающую среду, поэтому с экологической точки зрения проект возможен.

Литература

1.   Полонский В.М. Охрана воздушного бассейна

2.   СНиП2.04.01-85* Внутренний водопровод и канализация зданий.

3.   Отходы производства и потребления. Сборник нормативно-методических документов. Казань, 1999.

4.   Методика расчета нормативов образования отходов при строительстве жилых и общественных зданий. Казань, 1997.

5.   Правила разработки и утверждения нормативов образования отходов и лимитов на их размещение. Казань, 2001.

6.   Методика расчета количества образующихся твердых бытовых отходов на промпредприятиях и в учреждениях РТ. Минприроды РТ. Казань,1997.

7.   Методические указания по разработке и утверждению нормативов образования отходов и лимитов на их размещение. Москва, 2001.

8.   Справочник по санитарной очистке городов и поселков. Киев: "Будивельник", 1978.

9.   Справочные материалы по удельным показателям образования важнейших видов отходов производства и потребления. НИЦПУРО. Минэкономики и Минприроды России, 1996.

10.Временное положение о порядке составления паспорта отходов производства и потребления, образующихся на предприятиях, организациях и учреждениях РТ. Казань, 1997.

11.Федеральный классификационный каталог отходов (в ред. Приказа МПР РФ от 30.07.2003 №2 663).

12.Закон РФ "Об охране окружающей среды" №7-ФЗ от 10.01.02г

13.Постановление КМ РТ от 13.10.00г. №730 "О резервировании земель под ООПТ", Государственный реестр ООПТ, 1998г.

14.ГОСТ 17.1.1.01-77 "Использование и охрана вод. Основные термины и определения".

15.ГОСТ 17.2.3.02-78 "Охрана природы. Атмосфера. Правила установления допустимых выбросов вредных веществ промышленными предприятиями. Москва, 1989.

16.ГОСТ 17.4.3.02-85 "Охрана природы. Почвы. Требования к охране плодородного слоя почвы при производстве земляных работ".

17.ГОСТ 25916-83 "Ресурсы материальные и вторичные".

18.СанПиН 2.2.1/2.1.1.1200-03. Санитарно-защитные зоны и санитарная классификация предприятий, сооружений и иных объектов.

19.СНиП 2.01.01-82. Строительная климатология и геофизика.

20.СНиП 2.04.03-85. Канализация. Наружные сети и сооружения.

21.СНиП 2.07.01-89* Градостроительство. Планировка и застройка городских и сельских поселений.