Материал: Диагностический тест Вариант 9

Внимание! Если размещение файла нарушает Ваши авторские права, то обязательно сообщите нам

Д

Математика, 9 класс

иагностический тест

Вариант 9

1

1

Расположите в порядке возрастания числа 0,0206; 0,02; 0,602.

1) 0,0206; 0,602; 0,02 3) 0,02; 0,0206; 0,602

2) 0,0206; 0,02; 0,602 4) 0,602; 0,0206; 0,02

2

Найдите разность модулей наименьшего отрицательного и наибольшего положительного из данных чисел: 13,7; -13,69; 13,61; -13,9.

1) 0,2 2) 0,08 3) 0,29 4) 0,01

3

Найдите неизвестный член пропорции :

1) 5,25 2) 5,5 3) 7 4) 0,7

4

Найдите произведение и суммы .

1) 8 2) 12 3) 14 4) 10

5

Население Испании составляет 4,6 · 107 человек, а ее территория равна 5 · 105 км2. Какой из приведенных ответов характеризует среднее число жителей на 1 км2?

1) 108 чел. 2) 9,2 чел. 3)10,8 чел. 4) 92 чел.

6

Какое из выражений не имеет смысла при х = -4 ?

1) 2) 3) 4)

7

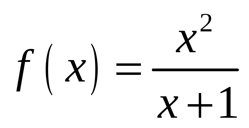
Найдите значение выражения .

1) 8 2) 3) -8 4)

8

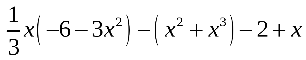
Преобразуйте выражение в многочлен стандартного вида.

1) 2) 3) 4)

9

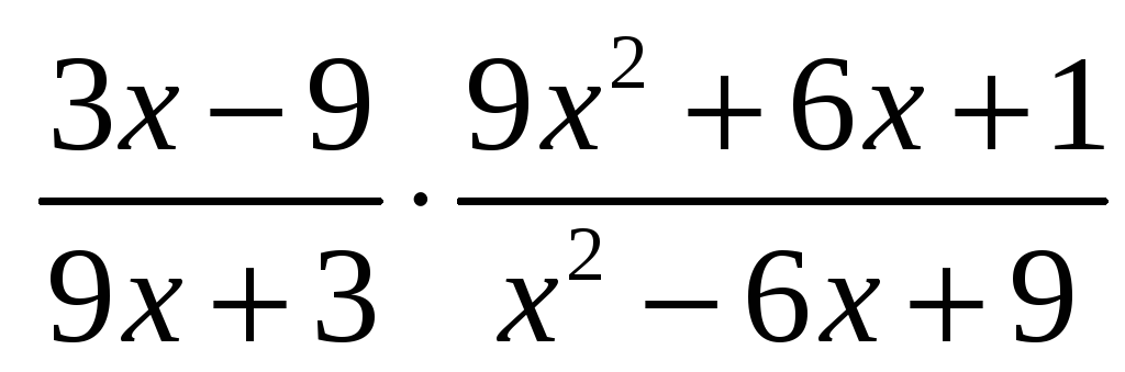
Выполните умножение: .

1) 2) 3) 4)

10

Разность двенадцатого и шестого членов арифметической прогрес­сии равна 14, а сумма шестого и третьего равна 4. Найдите сумму первых четырнадцати членов этой прогрессии.

1) 132 2) 182 3) 126 4) 142

11

Решите уравнение .

1) 6 2) 3) 4) 12

12

Найдите сумму корней уравнения: .

1) 10 2) 6 3) корней нет 4) 4

13

Найдите корни уравнения: .

1) 3 2) -3 3) - 3; 3 4) 9

14

Найдите координаты точек пересечения параболы и прямой .

1) 2) 3) 4)

15

При каких значениях х выражение принимает отрицательные значения, большие -2?

1) 2) 3) 4)

16

Решите систему неравенств:

1) 2) 3) 4)

17

Решите неравенство:

1) 2) 3) 4)

18

Укажите функцию, которая является четной.

1) 2) 3) 4)

19

График какой линейной функции изображен на рисунке?

1)

2)

3)

4)

20

На рисунке изображен график движения автобуса от одного города до другого и обратно.

Какое утверждение неверно?

1) Расстояние между городами равно 250 км.

2) Автобус на обратном пути двигался с меньшей скоростью.

3) Стоянка автобуса между рейсами длилась 3 часа.

4) Автобус, двигаясь в прямом направлении, находился в пути 4 часа.