Материал: Деловое предприятие в рыночной экономике

Внимание! Если размещение файла нарушает Ваши авторские права, то обязательно сообщите нам


Поскольку показатель постоянных издержек остается неизменным при всех уровнях производства, включая нулевой, график постоянных издержек - линия, параллельная оси абсцисс. График переменных издержек - линия восходящая, которую можно разделить на два участка. Для первого из них характерен незначительный рост издержек, а для второго - более заметный. Такое поведение переменных издержек обуславливается существованием закона убывающей предельной отдачи. Пока у нас предельный продукт (mp) каждой следующей единицы переменного ресурса растет, tvc увеличиваются, но незначительными темпами. Как только показатель mp начинает снижаться, в силу действия закона убывающей предельной производительности, переменные издержки начинают расти быстрыми темпами, поскольку для производства каждой последующей единицы продукции будет требоваться все большее количество переменного ресурса.

Помимо постоянных и переменных издержек в краткосрочном периоде выделяют еще один вид издержек - валовые (совокупные, суммарные, общие). Валовые издержки (ТС) - сумма постоянных и переменных издержек, исчисляемая для каждого данного объема производства: ТС= TFC+ TVC. Поскольку TFC равны некоторой константе, динамика валовых издержек будет зависеть от поведения TVС, т. е. будет определяться действием закона убывающей предельной производительности.

Чтобы получить кривую валовых издержек, необходимо просуммировать графики постоянных и переменных издержек - сместить график tvc вверх вдоль оси ординат на величину TFC, которая неизменна при любом Qx (см. рисунок).


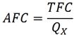
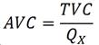
Кроме валовых издержек предпринимателя интересуют издержки на единицу продукции, поскольку именно их он будет сравнивать с ценой товара, чтобы получить представление о прибыльности работы фирмы. Издержки на единицу производимой продукции называются средними. Эта группа издержек включает:

• средние постоянные издержки (AFC) - постоянные издержки, исчисленные на единицу продукции:


• средние переменные издержки (AVC) - переменные издержки в расчете на единицу продукции:


• средние совокупные (суммарные, валовые, общие) издержки (АТС) - общие издержки в расчете на единицу продукции:


График средних постоянных издержек представлен гиперболой (рисунок ниже). График средних переменных издержек представляет собой неправильную параболу ветвями вверх. На этой кривой можно выделить два отрезка. На первом - AVC снижаются, на втором - увеличиваются. Подобная динамика средних переменных издержек связана с действием закона убывающей предельной отдачи. Пока отдача от каждой последующей единицы переменного ресурса возрастает (область возрастающей предельной отдачи на рисунке ниже), средние переменные издержки падают. По мере увеличения объемов производства дополнительный продукт начинает сокращаться - предельная отдача каждой последующей единицы переменного ресурса падает - следовательно, для дальнейшего наращивания производства требуется все большее количество переменных ресурсов, и средние переменные издержки АVС возрастают. График средних совокупных издержек получаем путем вертикального суммирования двух кривых - AFC и AVC. В этой связи динамика АТС будет связана с динамикой средних постоянных и средних переменных издержек. Пока снижаются и те и другие, АТС падают, но когда по мере увеличения объема производства рост переменных издержек начинает обгонять падение постоянных, AТС начинают возрастать.


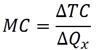
Для производителя имеет немалое значение, как изменяются издержки фирмы с выпуском дополнительной единицы продукции. Определить это можно с помощью показателя предельных издержек. Предельные издержки (МС) - дополнительные издержки, необходимые для производства каждой последующей единицы продукции:

деловое предприятие контракт прибыль

Необходимо учитывать, что предельные издержки во многом зависят от переменных издержек, поэтому аналогично ситуации с переменными издержками, а также со средними переменными и средними суммарными издержками на графике МС выделяют два отрезка: отрезок с отрицательной и отрезок с положительной динамикой, что также объясняется существованием закона убывающей предельной отдачи. Следующей особенностью графика предельных издержек является то, что он пересекает графики средних переменных и средних общих издержек в их нижних точках (А и В). Объясняется эта ситуация следующим образом: МС по своей сути имеют переменный характер, причем этот вид издержек тесно связан со средними переменными издержками. Как только предельные издержки становятся больше средних переменных, так сразу последние начинают увеличиваться. Поэтому точка пересечения графиков МС и АVС может быть только нижней точкой неправильной параболы средних переменных издержек. Аналогично объяснение и для взаимосвязи MС и АТС. Пока предельные издержки не превышают средние суммарные издержки, последние сокращаются, но если соотношение между ними характеризуется неравенством МС > АТС, средние валовые издержки имеют положительную динамику. В этой связи точка пересечения двух кривых - МС и АТС - будет являться точкой минимума графика средних общих издержек.

Снижение издержек представляет собой один из важнейших источников повышения конкурентоспособности любого предприятия. Ведь при существующих рыночных ценах на продукцию снижение издержек означает дополнительную прибыль, а значит и процветание для любого производителя. При изменении по каким-либо причинам уровня издержек графики издержек смещаются. В случае снижения издержек соответствующие графики смещаются вниз, при росте издержек графики сдвигаются вверх вдоль оси ординат.

Издержки производства в долгосрочном периоде

Главной особенностью издержек в долгосрочном периоде является тот факт, что все они носят переменный характер - фирма может увеличить или сократить мощности, а также у нее достаточно времени, чтобы принять решение покинуть данный рынок или вступить на него, прейдя из другой отрасли. Поэтому в долгосрочном периоде не выделяют средних постоянных и средних переменных издержек, а анализируют средние издержки на единицу продукции (LATC), которые по сути своей являются одновременно и средними переменными издержками.

Для иллюстрации ситуации с издержками в долгосрочном периоде рассмотрим условный пример. Некоторое предприятие на протяжении достаточно длительного периода времени расширялось, увеличивая объемы своего производства. Процесс расширения масштабов деятельности условно разделим на этапы в рамках анализируемого долгосрочного периода три краткосрочных, каждому из которых соответствуют различные размеры предприятия и объемы выпускаемой продукции. Для каждого из трех краткосрочных периодов можно построить кривые краткосрочных средних издержек применительно к различным размерам предприятия - ATC1, АТС2 и АТС3. Общая же кривая средних издержек дли любого объема производства будет представлять собой линию, состоящую из внешних частей всех трех парабол - графиков краткосрочных средних издержек.


В рассмотренном примере мы использовали ситуацию с 3-хэтапным расширением предприятия. Подобную ситуацию можно предположить не для 3, а для 10, 50, 100 и т. д. краткосрочных периодов в рамках заданного долгосрочного. Причем для каждого из них можно начертить соответствующие графики АТС. То есть мы получим фактически множество парабол, большая совокупность которых приведет к выравниванию внешней линии графика средних издержек, и она превратится в плавную кривую - LATC. Таким образом, кривая долгосрочных средних издержек (LATC) представляет собой кривую, огибающую бесконечное число кривых краткосрочных средних издержек производства, которые соприкасаются с ней в точках их минимума. Кривая долгосрочных средних издержек показывает наименьшие издержки производства единицы продукции, с которыми может быть обеспечен любой объем выпуска при условии, что фирма имеет время для изменения всех факторов производства.


В долгосрочном периоде также существуют и предельные издержки. Долгосрочные предельные издержки (LMC) показывают изменение общей суммы издержек предприятия в связи с изменением объема выпуска готовой продукции на одну единицу в том случае, когда фирма свободна изменять все виды затрат.

Кривые долгосрочных средних и предельных издержек соотносятся друг с другом так же, как и кривые краткосрочных издержек: если LMC лежит ниже LATC, то LATC падают, а если LMC лежит выше laТС, то laТС возрастают. Возрастающая часть кривой LMC пересекает кривую LATC в точке минимума.


На кривой LATC можно выделить три отрезка. На первом из них долгосрочные средние издержки сокращаются, на третьем, наоборот, возрастают. Возможна также ситуация, когда на графике LATC будет существовать промежуточный отрезок с примерно одинаковым уровнем издержек на единицу продукции при различных значениях объема выпуска - Qx. Дугообразный характер кривой долгосрочных средних издержек (наличие убывающего и возрастающего участков) можно объяснить при помощи закономерностей, называемых положительным и отрицательным эффектами роста масштаба производства или просто эффектами масштаба.

Положительный эффект масштаба производства (эффект массового производства, экономия, обусловленная ростом масштаба производства, возрастающая отдача от масштаба производства) связан со снижением издержек на единицу продукции по мере наращивания объемов выпускаемой продукции. Возрастающая отдача от масштаба производства (положительный эффект масштаба производства) имеет место в ситуации, когда объем производства (Qx) растет быстрее, чем растут издержки, и, следовательно, LATC предприятия падают. Существование положительного эффекта масштаба производства и объясняет нисходящий характер графика LAТС на первом отрезке. Объясняется это расширением масштабов деятельности, которое влечет за собой:

. Рост специализации труда. Специализация труда предполагает, что многообразные производственные обязанности поделены между разными работниками. Вместо того чтобы выполнять одновременно по нескольку различных производственных операций, что имело бы место при незначительном масштабе деятельности предприятия, в условиях массового производства каждый рабочий может ограничиться одной единственной функцией. Отсюда рост производительности труда, а следовательно, и снижение издержек на единицу продукции.

. Рост специализации управленческого труда. По мере роста размеров предприятия увеличиваются возможности использования преимуществ и от специализации в управлении, когда каждый менеджер может сосредоточиться на одной задаче и выполнять ее более эффективно. Это в конечном счете повышает эффективность функционирования предприятия и влечет за собой снижение издержек на единицу продукции.

. Эффективное использование капитала (средств производства). Наиболее эффективное, с технологической точки зрения, оборудование продается в виде крупных, дорогостоящих комплектов и требует больших объемов производства. Использование этого оборудования крупными производителями позволяет сократить издержки на единицу продукции. Подобное оборудование недоступно мелким фирмам из-за малых объемов производства.

. Экономию от использования вторичных ресурсов. У крупного предприятия больше возможностей для производства побочной продукции, чем у мелкой фирмы. Крупная фирма, таким образом, более эффективно использует ресурсы, вовлекаемые в производство. Отсюда и меньшие издержки на единицу продукции.

Положительный эффект масштаба производства в долгосрочном периоде не является беспредельным. Со временем расширение предприятия может привести к отрицательным экономическим последствиям, вызвать отрицательный эффект масштаба производства, когда расширение объемов деятельности фирмы сопряжено с ростом издержек производства на единицу продукции. Отрицательный эффект масштабаимеет место, когда издержки производства растут быстрее его объема и, следовательно, LATC растут по мере увеличения выпуска. Со временем расширяющаяся фирма может столкнуться с негативными экономическими фактами, обусловленными усложнением структуры управления предприятием, - этажи управления, разделяющие административный аппарат и собственно процесс производства, множатся, высшее руководство оказывается существенно отдаленным от производственного процесса на предприятии. Возникают проблемы, связанные с обменом и передачей информации, плохой координацией решений, бюрократической волокитой. Снижается эффективность взаимодействия между отдельными подразделениями фирмы, теряется гибкость управления, усложняется и затрудняется контроль за реализацией решений, принимаемых руководством фирмы. В результате эффективность функционирования предприятия снижается, растут средние издержки производства. Поэтому фирме при планировании своей производственной деятельности необходимо определять пределы расширения масштабов производства.

На практике возможны случаи, когда кривая LATC на некотором интервале параллельна оси абсцисс - на графике долгосрочных средних издержек есть промежуточный отрезок с примерно одинаковым уровнем издержек на единицу продукции при различных значениях Qx. Здесь мы имеем дело с постоянной отдачей от масштаба производства. Постоянная отдача от масштаба имеет место тогда, когда издержки и объем производства растут одинаковыми темпами и, следовательно, LATC остаются постоянными при всех объемах производства.

Внешний вид кривой долгосрочных издержек позволяет сделать некоторые выводы по поводу оптимального размера предприятия для разных отраслей экономики. Минимальный эффективный масштаб (размер) предприятия - уровень выпуска продукции, начиная с которого прекращается действием эффекта экономии, обусловленной ростом масштабов производства. Иными словами, речь идет о таких значениях Qx при которых фирма достигает наименьших издержек на единицу продукции. Обусловленный действием эффекта масштаба уровень долгосрочных средних издержек влияет на формирование эффективного размера предприятия, что, в свою очередь, оказывает воздействие на структуру отрасли. Чтобы разобраться, рассмотрим следующие три случая.


. Кривая долгосрочных средних издержек имеет продолжительный промежуточный отрезок, для которого величина LATC соответствует некоторой константе (рисунок а). Для данной ситуации характерно положение, когда предприятия с объемом производства от QA до QB имеют одинаковую величину издержек. Это свойственно отраслям, включающим разновеликие предприятия, причем уровень средних издержек производства у них будет одинаковым. Примеры таких производств: деревообрабатывающая, лесная промышленность, производство продуктов питания, одежды, мебели, текстиля, продуктов нефтехимии.

. У кривой LATC достаточно продолжительный первый (нисходящий) отрезок, на котором действует положительный эффект масштаба производства (рисунок б). Минимальная величина издержек достигается при больших объемах производства (Qc). Если технологические особенности производства некоторых благ порождают кривую долгосрочных средних издержек описанной формы, то на рынке этих благ будут присутствовать крупные предприятия. Это характерно, в первую очередь, для капиталоемких отраслей - металлургии, машиностроения, автомобилестроения и т. д. Существенный эффект от масштаба наблюдается и при производстве стандартизированной продукции - пива, кондитерских изделий и т. п.

. Падающий отрезок графика долгосрочных средних издержек очень незначителен, быстро начинает работать отрицательный эффект масштаба производства (рисунок в). В этой ситуации оптимальный объем производства (QD) достигается при небольшом объеме выпуска продукции. При наличии рынка большой емкости можно предположить возможность существования множества мелких предприятий, выпускающих данный вид продукции. Такая ситуация характерна для многих отраслей легкой и пищевой промышленности. Здесь речь идет о некапиталоемких производствах - многие виды розничной торговли, фермерские хозяйства и т. п.