Прочность – способность элементов конструкции противостоять внешним нагрузкам без разрушения.
Жёсткость – способность элементов конструкции противостоять деформации под действием внешних нагрузок.
Устойчивость – способность элементов конструкции сохранять форму первоначального упругого равновесия под действием внешних нагрузок.
|
|
Виды равновесия системы: 1.Устойчивое равновесие После снятия внешнего воздействия система возвращается в исходное состояние. 2. Неустойчивое равновесие. После снятия внешнего воздействия система не возвращается в исходное состояние.
|
3. Промежуточное (безразличное) равновесие.
После снятия внешнего воздействия система не возвращается в исходное состояние, но в новом состоянии она так же находится в равновесии.
Брус – модель тела, у которого один из размеров гораздо больше двух других.
Стержень – брус, работающий на растяжение-сжатие.
Вал – брус, работающий на кручение.
Балка – брус, работающий на изгиб.
Гибкость стержня – отношение расчётной длины стержня к наименьшему радиусу инерции его поперечного сечения:
.
Внутренние силовые факторы – силы сопротивления по отношению к внешним силам, возникающие внутри рассматриваемого объекта. Если внешние силы пытаются вызвать изменение размеров и формы тела, то ВСФ наоборот стремятся сохранить целостность тела и вернуть его в исходное состояние.
Для выявления внутренних усилий пользуются методом сечений (РОЗУ)
Метод сечений (РОЗУ)
1.Надо РАССЕЧЬ брус, находящийся в равновесии, на две части и рассмотреть равновесие одной из них.

2. ОТБРОСИТЬ одну из частей.
3. Действие усилий отброшенной части бруса ЗАМЕНИМ уравновешивающими рассматриваемую часть внутренней силой R и внутренним моментом M.

Для упрощения расчётов силу R и момент M принято раскладывать на составляющие усилия относительно осей координат x, y и z.
4. Уравнения равновесия позволяют определить внутренние усилия. Всего их шесть
|
|
N– продольная сила;
|
Правило знаков для ВСФ при изгибе:
1.
Для продольной силы
:
,
если стержень работает на растяжение;
,
если стержень работает на сжатие.
2.
Поперечная сила
будет считаться положительной, если
она стремится повернуть рассматриваемую
часть балки по ходу часовой стрелки.
3.
Изгибающий момент
будет
считаться положительным, если он будет
стремится отогнуть рассматриваемую
часть стержня вверх (стремится вызвать
растяжение нижних продольных волокон
балки и сжатие верхних продольных
волокон балки)
Сложные и простые виды сопротивления.
Простые сопротивления - такие случаи, при которых в сечении стержня из 6 ВСФ возникает только один отличный от нуля.
Растяжение или сжатие – такой вид нагружения, при котором в сечении стержня возникает продольная сила N, а остальные ВСФ равны нулю. Если N>0, то это растяжение, если N<0, то сжатие.
Чистый сдвиг (или срез) – это такой вид нагружения, при котором в сечении стержня появляется поперечная сила, а остальные ВСФ равны нулю.
При чистом изгибе в сечении стержня возникает изгибающий момент, а остальные ВСФ равны нулю.
Кручение – это такой вид нагружения при котором в сечении стержня возникает только крутящий момент , а остальные ВСФ равны нулю.
Сложное сопротивление – (случаи, когда возникают два или более ВСФ отличных от нуля) одновременное действие на брус нескольких простых видов деформаций: растяжения-сжатия, сдвига, кручения и изгиба.
Виды сложного сопротивления:
1. Кручение с изгибом. Сочетание деформаций изгиба и кручения.

2. Косой изгиб.
При
плоском
косом изгибе внешняя
нагрузка, приложенная к стержню, лежит
в одной плоскости, но не совпадает ни
с одной из главных плоскостей стержня.
В этом случае сам стержень будет
изгибаться в плоскости, не совпадающей
с плоскостью воздействия нагрузки, т.
е. косо по отношению к ней (
,
,
и
– 4 ВСФ).
При
пространственном
изгибе
внешняя нагрузка, приложенная к стержню,
лежит одновременно в двух или более
плоскостях (
,
,
и
– 4 ВСФ).
3.
Внецентренное
растяжение (сжатие).
При таком виде сложного сопротивления
продольная сила приложена не в центре
тяжести поперечного сечения бруса (
,
и
).

Геометрические характеристики плоских сечений
Статический
момент площади сечения [
]
Осевой
момент сопротивления
[
]–
отношение момента инерции относительно
оси к расстоянию от неё до наиболее
удалённой точки сечения:
.
Полярный
момент сопротивления сечения
– это отношение полярного момента
инерции к расстоянию от полюса до
наиболее удалённой точки сечения:
.
Виды изгиба:
1. Прямой изгиб – изгиб, при котором вся внешняя нагрузка находится в одной плоскости, и сам стержень изгибается в этой же плоскости.
При
чистом
изгибе
в сечении стержня возникает изгибающий
момент
или
,
а остальные ВСФ равны нулю.
При
поперечном
изгибе
в сечении стержня одновременно возникают
поперечная сила и изгибающий момент
(
и
или
и
– 2 ВСФ).
2. Косой изгиб.
При
плоском
косом изгибе внешняя
нагрузка, приложенная к стержню, лежит
в одной плоскости, но не совпадает ни
с одной из главных плоскостей стержня.
В этом случае сам стержень будет
изгибаться в плоскости, не совпадающей
с плоскостью воздействия нагрузки, т.
е. косо по отношению к ней (
,
,
и
– 4 ВСФ).
При
пространственном
изгибе
внешняя нагрузка, приложенная к стержню,
лежит одновременно в двух или более
плоскостях (
,
,
и
– 4 ВСФ).
При расчётах балок на прочность необходимо знать, как ВСФ меняются по длине балки и уметь строить их эпюры.
Эта задача решается на основе метода сечений, согласно которому поперечная сила в произвольном сечении балки находится как алгебраическая сумма внешних сил, действующих на отсечённую часть балки.
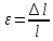
Деформации (продольная/ поперечная)
Продольная деформация вычисляется по формуле:
.
Модуль Юнга – физическая величина, характеризующая способность материала сопротивляться растяжению и сжатию при упругой деформации:
.
Поперечная деформация:
;
.
Для
изотропных материалов
.
Коэффициент Пуассона – величина отношения относительной поперечной деформации к относительной продольной деформации:
.
От 0 до 0,5
Чистый сдвиг (или срез) – это такой вид нагружения, при котором в сечении стержня появляется поперечная сила, а остальные ВСФ равны нулю.

Большинство соединений в машиностроении (резьбовые, сварочные, заклёпочные, шпоночные и т. д.) работают на срез.
Критическая сила сжатого стержня – наименьшее значение сжимающего усилия, при котором возможна потеря устойчивости.
Основные прочностные характеристики:
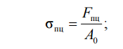
1. Предел пропорциональности – максимальное напряжение, при котором ещё соблюдается прямая пропорциональность между напряжениями и деформациями,

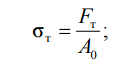
2. Предел текучести – наименьшее напряжение, при котором образец деформируется без заметного увеличения нагрузки,

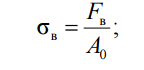
3. Временное сопротивление (предел прочности) – напряжение, соответствующее наибольшей нагрузке, достигнутой при испытании образца,

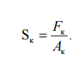
4. Истинное сопротивление разрыву – напряжение, соответствующее моменту разрыва образца,

Теории прочности для хрупких/ устойчивых материалов
Первая теория прочности (теория наибольших нормальных напряжений) связывает разрушение материала с достижением наибольшим нормальным напряжением предельного значения.
Согласно данной теории, напряжённые состояния будут равноопасными, если их наибольшие нормальные напряжения одинаковы.
Так
как при сложном напряженном состоянии
наибольшим нормальным напряжением
является
,
условие прочности будет иметь вид
![]()
Теория иногда применяется при расчёте конструкций из очень хрупких материалов (бетон, камень, кирпич).
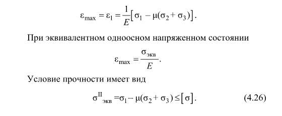
Во второй теории прочности (теории наибольших линейных деформаций) в качестве критерия разрушения принято наибольшее относительное удлинение.
Теория утверждает, что напряженные состояния будут равноопасны, если для них равны наибольшие относительные удлинения.
Наибольшее относительное удлинение при трёхосном напряжённом состоянии, согласно обобщённому закону Гука, возникает в направлении первого главного напряжения:

Эта теория прочности так же, как и первая, применима к материалам в хрупком состоянии (высокопрочные инструментальные стали, чугун).
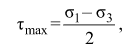
Согласно третьей теории прочности (теории наибольших касательных напряжений), напряжённые состояния будут равноопасными, если их максимальные касательные напряжения равны.
Ввиду того, что при сложном напряженном состоянии элемента
![]()
а при одноосном растяжении образца
![]()
условие прочности приобретает вид:
![]()
Третья теория даёт хорошие результаты для пластичных материалов с одинаковым пределом текучести при растяжении и сжатии.
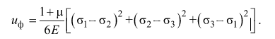
Согласно четвёртой теории прочности (энергетической теории), напряжённые состояния равноопасны, если для них равны удельные потенциальные энергии изменения формы.
При сложном напряжённом состоянии удельная потенциальная энергия изменения формы определяется по выражению
![]()


Характеристика жесткости
Жёсткость – способность элементов конструкции противостоять деформации под действием внешних нагрузок.
Виды нагружения простые/ сложные
Простые виды нагружения – случаи, при которых из шести ВСФ отличен от нуля только один.