Материал: Биохимические процессы, происходящие при обработке молока и выработке мороженого и сыра

Внимание! Если размещение файла нарушает Ваши авторские права, то обязательно сообщите нам

Взбитость смеси характеризуется степенью насыщения ее воздухом во время фризерования. Для получения мороженого хорошего качества необходимо, чтобы пузырьки воздуха были мелкими (размером не более 100 - 150 мкм), равномерно распределены по всему объему продукта. Крупные пузырьки воздуха в мороженом нежелательны. Они образуются чаще всего при слишком высокой взбитости молочных смесей. Мороженое с высокой взбитостью приобретает снежистую, или хлопьевидную, структуру. При недостаточной взбитости продукт имеет грубую структуру и очень плотную консистенцию.

Взбитость зависит от состава смеси и режимов технологической обработки. Она повышается при введении стабилизаторов, увеличении содержания СОМО и уменьшении размера жировых шариков. Взбитость понижается с повышением содержания сахарозы, жира, стабилизаторов, с образованием скоплений жировых шариков при высоких давлениях гомогенизации и т.д. Взбитость мороженого на молочной основе должна быть 50-90% и 40-70% - для мороженого на плодово-ягодной основе.

5. Образование вкусовых и ароматических веществ сыра


Биохимические процессы, протекающие во время созревания сыра, приводят к значительным изменениям его основных составных частей. Многочисленные химические соединения, являющиеся продуктами распада белков, жира и молочного сахара, влияют на вкус и аромат сыра. Все эти соединения в разной степени участвуют в формировании вкусовых особенностей сыра.

Важная роль в создании вкуса сыра принадлежит летучим жирным кислотам и карбонильным соединениям (альдегидам, кетонам), образующимся при распаде молочного сахара, аминокислот и жира. Из многих сыров выделены разнообразные летучие жирные кислоты. Так, уксусная, пропионовая, масляная, муравьиная кислоты обнаружены в твердых сырах (швейцарском, советском, голландском) и считаются основными кислотами, влияющими на вкус и аромат этих сыров. В мягких сырах в большом количестве накапливаются среднемолекулярные жирные кислоты (капроновая, каприловая, каприновая и валериановая), обладающие специфическим острым вкусом. В большинстве сыров обнаружены различные альдегиды, из которых метиональ обладает сильным сырным запахом и считается важным компонентом вкуса и аромата российского сыра и чеддера. В создании вкуса и аромата рок- фора и других мягких сыров участвуют метилкетоны, образующиеся при окислении жирных кислот.

На вкус сыров существенно влияют продукты распада белковых веществ - пептиды и аминокислоты. В первой половине периода созревания сыров вследствие накопления большого количества пептидов ощущается горьковатый привкус, но затем по мере их гидролиза горечь исчезает и сыр приобретает специфический для него вкус. Все виды сыров содержат свободные аминокислоты, многие из которых имеют выраженный вкус. Сладкий вкус характерен для аланина, пролина, глицина, горький - для триптофана, лейцина, бульонный - для глутаминовой кислоты.

Накопившиеся в процессе протеолиза свободные аминокислоты могут оказывать влияние на вкус и запах сыров, так как некоторые из них имеют выраженный вкус, например сладкий вкус имеют глицин, пролин, аланин, серии; горький - аргинин, гистадин, триптофан и лейцин; сладко-горький - валин, треонин, фенилаланин; кислый - глутаминовая и аспарагиновая кислоты, сернистый - цистин и метионин.

Вместе с тем более сильное влияние на вкус и запах молочных продуктов оказывают продукты дальнейшего превращения аминокислот (органические кислоты, альдегиды, амины и пр.).

К процессам диссимиляции аминокислот относятся peaкции дезаминирования, переаминирования, декарбоксилирования и др.

Дезаминирование аминокислот. На первой стадии разложения аминокислот микроорганизмами происходит их дезаминирование, в ходе которого отщепляется б-аминогруппа. Процесс дезаминирования аминокислот в зависимости от условий среды может идти окислительным, гидролитическим и восстановительным путями. При этом образуются различные кето-, окси- и карбоновые кислоты: пировиноградная, пропионовая, б-кетоглутаровая, янтарная, изомасляная, изовалериановая, яблочная и др.

Окислительное дезаминирование сопровождается образованием кетокислот:


При гидролитическом дезаминировании образуются оксикислоты:


В результате восстановительного дезаминирования образуются карбоновые кислоты:


Наиболее часто разложение аминокислот молочнокислыми бактериями и другими микроорганизмами в молочных продуктах идет по пути окислительного дезаминирования, приводящего к образованию аммиака и б-кетокислот. б-Кетокислоты могут далее восстанавливаться в оксикислоты или подвергаться декарбоксилированию. Так, при дезаминировании аминокислот под действием некоторых штаммов Lac. lactts, дроюкей и микрококков образующиеся кетокислоты декарбоксилируются до соответствующих альдегидов:


Таким образом, кетометилвалериановая кислота, образующаяся при дезаминировании лейцина, под воздействием декарбоксилазы превращается в изовалериановый альдегид:


Аналогичным путем из валина образуется изомасляный альдегид, из аланина - уксусный альдегид, из фенилаланина - фенилуксусный и т.д.

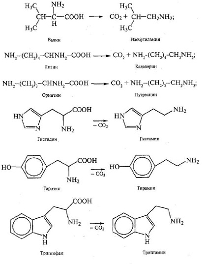
Декарбоксилирование и другие изменения аминокислот. Важным биохимическим процессом, осуществляемым микроорганизмами при выработке разнообразных молочных продуктов, особенно сыров, является декарбоксилирование аминокислот, в результате которого образуется диоксид углерода (углекислый газ) и соответствующий амин:


Например, при декарбоксилировании глицина образуется метиламин, у-аминомасляной - пропиламин, валина - изобутиламин, лизина - кадаверин, орнитина - путресиин, гистидина - гистамин, тирозина - тирамин, триптофана - триптамин, например:


Данные амины обладают ярковыраженными вкусовыми свойствами. Многие из них имеют неприятный вкус и запах (аммиачный, рыбный и др.), однако при небольших концентрациях могут играть важную роль в формировании аромата некоторых сыров (российский, чеддер и др.).

Кроме процессов дезаминирования, переаминирования и декарбоксилирования возможны и другие ферментативные и неферментативные изменения аминокислот. Например, возможен ферментативный распад аминокислот при взаимодействии с дикарбонильными соединениями (пировиноградной, щавелевоуксусной кислотами и др.). При этом одновременно с декарбоксилированием аминокислоты происходит ее переаминирование с дикарбонильным соединением. В результате из аминокислоты образуется альдегид, а из дикарбонильного соединения - аминокетон, то есть идет реакция типа реакции разложения аминокислот по Штреккеру.

Так, важный компонент аромата сыров альдегид метиональ (3-метилтиопропаналь) образуется из метионина:


Аналогичным путем из цистеина образуется другой компонент аромата сыров - меркаптоацеталъдегид:


Под действием ферментов бактерий Brevibacteriutn linens (а также гнилостных бактерий) в мягких слизневых сырах серосодержащие аминокислоты распадаются с выделением сероводорода, сульфидов, имеющих характерный запах.

6. Структурно-механические свойства масла


Сливочное масло обладает комплексом разнообразных свойств, характеризуемых такими показателями, как термоустойчивость, восстанавливаемость структуры, вытекание жидкого жира, дисперсность влаги и др.

Термоустойчивость (КТ) - способность масла сохранять форму при повышенных температурах. Она определяется термостатированием цилиндрического образца масла диаметром 20 мм и высотой 20 мм при температуре 30°С в течение 2 ч. Мерой термоустойчивости служит отношение начального диаметра образца масла к среднему диаметру основания образца D1, полученному после термостатирования

Для характеристики термоустойчивости масла пользуются шкалой, приведенной ниже.

Термоустойчивость Величина КТ

Хорошая 1,0-0,86

Удовлетворительная 0,85-0,70

Неудовлетворительная Менее 0,7

Вытекание жидкого жира (М в ж) - способность структуры сливочного масла удерживать жидкий молочный жир (предложен В. Мором и К. Бауэром, модифицирован Э. Ставровой и А. Транчевой). Пробу масла в форме кубика со стороной 3,5 см помещают на 5 слоев фильтровальной бумаги, уложенной в чашку Петри. Кубики выдерживают в термостате при 25оС в течение 24 ч. После этого пробу охлаждают при 5°С в течение 30 мин, осторожно удаляют с бумаги остатки масла.

Восстанавливаемость структуры (Кв) характеризует степень обратимости связей в структурной сетке образца.

Кислотность масла характеризует наличие в нем молочной кислоты, кислых солей, а также свободных жирных кислот молочного жира; выражают в градусах Кеттсторфера (°К) - число миллилитров однонормального раствора щелочи, израсходованного на нейтрализацию 100 г масла. Кислотность сладкосливочного масла составляет 0,6-1,2°К, а кислосливочного-1,5-2,5°К.

К важнейшим физическим характеристикам молочного жира относятся температура плавления, температура отвердевания, температура полного отвердевания, показатель преломления и число рефракции.

Температура плавления молочного жира - температура, при которой высокоплавкая фракция молочного жира полностью переходит в жидкое состояние; она составляет 28-36°С.

Температура отвердевания молочного жира-температура, при которой начинают появляться первые кристаллы высокоплавкой фракции. Эта характеристика колеблется от 18 до 24°С.

Температура полного отвердевания молочного жира - это температура, при которой кристаллизуется самая легкоплавкая фракция молочного жира.

Она колеблется от -40°С до -36°С.

Показатель преломления - оптическое свойство молочного жира, характеризующее его способность преломлять световую волну определенной длины. Обычно табличные показатели преломления приводятся для длины волны 589 нм, излучаемой натровой лампой. Молочный жир при температуре 40°С имеет показатель преломления 1,453-1,462. По показателю преломления рассчитывают число рефракции, которое для молочного жира находится в пределах от 40 до 45.

Оптическая плотность (Э) служит мерой непрозрачности слоя вещества для световых лучей; она выражается десятичным логарифмом отношения потока излучения Nо, падающего на слой, к прошедшему через этот слой N.

Э = lg (No/N)

Оптическая плотность молочного жира при длине волны 450 нм и температуре 50°С составляет 0,220-0,586.

Химический состав молочного жира можно характеризовать или количественным содержанием жирных кислот (газожидкостная хроматография), или с помощью так называемых констант, или чисел. Важнейшими химическими числами молочного жира являются следующие.

Йодное число - условная величина, представляющая собой число граммов йода, присоединившегося к 100 г жира, и выраженная в процентах. Оно позволяет судить о степени ненасыщенности жирных кислот, входящих в состав жира. Йодное число в течение года изменяется от 25 до 45.

Число омыления характеризует среднюю молекулярную массу смеси свободных жирных кислот, входящих в состав глицеридов жира; определяется количеством миллиграммов едкого калия, необходимого для омыления глицеридов и нейтрализации свободных жирных кислот в 1 г жира. Число омыления молочного жира находится в пределах от 220 до 234.

Под числом Рейхерта-Мейссля понимают условную величину, выражаемую числом миллилитров децинормального раствора едкого калия, необходимого для нейтрализации растворимых в воде летучих жирных кислот, выделенных из 5 г жира; показатель характеризует содержание низкомолекулярных жирных кислот (масляной и капроновой). Молочный жир имеет данное число 20- 32, тогда как говяжий, свиной и бараний жиры - 0,1-1,2, а подсолнечное, хлопковое, кукурузное, соевое и кокосовое масло - 0-8. Указанное различие используют для определения натуральности молочного жира при подозрении на фальсификацию.

Число Поленске характеризует количество низкомолекулярных летучих нерастворимых в воде жирных кислот (каприловой и каприновой) в 5 г жира. Молочный жир имеет число Поленске 1,9-5.

Структура масла, ее влияние на вкус, запах, цвет, консистенцию и хранимоспособность:

Под структурой масла понимают форму, размеры, распределение и взаимосвязь элементов, из которых она слагается. Твердость, пластичность и другие механические характеристики масла определяются его структурой. С последней также тесным образом связаны консистенция, вкус, цвет и стойкость масла при хранении.

Невооруженным глазом и при небольшом увеличении можно наблюдать макроструктуру, а с помощью светового и электронного микроскопов - микро- и ульстраструктуру сливочного масла.

Уже первые наблюдения тонких срезов масла под микроскопом, выполненные Ф. Шторхом в 1883 г., выявили основные структурные элементы масла, которыми оказались неповрежденные жировые шарики с оболочками, капли влаги, частицы белка и пузырьки воздуха.

Представления о структуре масла тесно связаны с теоретическими воззрениями маслообразования. И по мере совершенствования последних менялись и взгляды на структуру масла. Наиболее распространенной точкой зрения на процесс образования масла является представление об обращении фаз. биохимический вкусовой ароматический молочный

Может показаться, что непрерывность жировой фазы исключает даже возможность существования непрерывной водной фазы, так как массовая доля влаги в сладкосливочном масле примерно равна 16%. Однако наблюдения за диффузией водорастворимых веществ (метиленовой сини, растворов солей и кислот) подтвердили, что наряду с жировой фазой непререрывной является и водная. Это становится возможным благодаря тому, что жировую фазу пронизывает сетка из оболочек жировых шариков.

Электронно-микроскопические исследования позволили более глубоко изучить отдельные элементы ультрамикроструктуры масла. Определены размеры казеиновых частиц, наличие межфазных пленок вокруг капелек водной фазы; в структуре масла, выработанного методом сбивания, выявлены отдельные микрозерна жира, а в масле, полученном методом преобразования высокожирных сливок, такие микрозерна не обнаружены.

. Концентраты сывороточных белков


Концентраты сывороточных белков (КСБ) получают с помощью ультрафильтрации или диафильтрации (полученный концентрат разбавляют водой и повторно фильтруют, чтобы удалить лактозу и минеральные вещества). Ультрафильтрация позволяет выделить из сыворотки белки в неденатурированном нативном состоянии, что повышает их растворимость и биологическую ценность. К ним относят концентрат КСБ-УФ и растворимый сывороточный белок РСБ, широко используемые как белковые добавки при производстве детских молочных продуктов и питания для спортсменов.

Методами ультрафильтрации и диафильтрации также вырабатывают молочно-белковые добавки (ДМБ) из пастеризованного обезжиренного молока и пахты. Их выпускают жидкими (с содержанием белка от 14,5 до 19,5%) и сухими с количеством белка от 60 до 80%. Молочно-белковые добавки успешно применяют в молочной и мясной промышленности.

Концентрат сывороточных белков - сывороточный белковый концентрат уникален тем, что даёт как функциональные, так и оздоровляющие преимущества, так как его биологическая ценность выше, чем у других белков. Продукт обладает высоким содержанием серосодержащих аминокислот, важных для боисинтеза глютатина, трипептида с антиоксидантом, антиканцерогенного и иммуностимулирующего эффекта. Также, это самый высокосодержащий естественный источник незаменимых аминокислот, способствующих синтезу мышечного белка.