Билет №9
1.Каковы дополнения Френеля к принципу Гюйгенса?
Принцип Гюйгенса-Френеля.
Френель дополнил принцип Гюйгенса представлением об интерференции вторичных волн. Согласно принципу Гюйгенса, каждую точку фронта волны можно рассматривать как источник вторичных волн.Френель существенно развил этот принцип. 1 Все вторичные источники фронта волны, исходящей из одного источника, когерентны между собой ·2 Равные по площади участки волновой поверхности излучают равные интенсивности (мощности). 3 Каждый вторичный источник излучает свет преимущественно в направлении внешней нормали к волновой поверхности в этой точке. Амплитуда вторичных волн в направлении, составляющем угол α с нормалью, тем меньше, чем больше угол α, и равна нулю при . ·4Для вторичных источников справедлив принцип суперпозиции: излучение одних участков волновой поверхности не влияет на излучение других (если часть волновой поверхности прикрыть непрозрачным экраном, вторичные волны будут излучаться открытыми участками так, как если бы экрана не было).
2. От чего зависит разность хода лучей в тонких пленках?
Разность хода интеpфеpиpующих волн будет зависеть от угла падения лучей. Полосы максимумов и минимумов интеpфеpенции следуют тепеpь за постоянными углами падения (потому и называются полосами pавного наклона). Чтобы их наблюдать необходимо собиpать лучи, отpаженные под одним и тем же углом, т. е. собиpать паpаллельные лучи. Поэтому зpительный пpибоp (напpимеp, тpубу) или глаз для наблюдения полос pавного наклона нужно сфокусиpовать на бесконечность. Говоpят, что полосы pавного наклона наблюдаются в бесконечности (а не на пленке).
Условие максимума
:
(8)
Условие минимума
:
(9)
При освещении пленки белым светом она окрашивается в какой-либо определенный цвет, длина волны которого удовлетворяет максимуму интерференции. Следовательно, по цвету пленки можно оценивать её толщину.
Условия (8), (9) зависят при постоянных значениях n, 0 от угла падения i и толщины пленки d, в зависимости от этого различают полосы равного наклона и полосы равной толщины.
Полосами равного наклона называют интерференционные полосы, возникающие в результате наложения лучей, падающих на плоскопараллельную пластинку под одинаковыми углами.
Полосами равной толщины называют интерференционные полосы, возникающие в результате наложения лучей, падающих на пластинку переменной толщины от мест одинаковой толщины.
3. Чему равно отношение давления света на зеркальную и зачерненную поверхности?
На
зачерненной поверхности фотон с
импульсом Р:
поглощает и передает этот импульс
стенке. На зеркальной поверхности –
отражается. Импульс фотона (при
падении
на поверхность) меняется на величину
Такой же импульс передается стенке
на
зеркальную поверхность давление в 2
раза выше.
4. Чем замечателен угол Брюстера
если световой луч падает на поверхность диэлектрика под углом р, тангенс к-рого равен показателю преломления ( угол Брюстера), то свет, отраженный от поверхности диэлектрика, полностью поляризован.
Угол Брюстера - угол падения луча неполяризованного света, при котором весь свет, отраженный от поверхности диэлектрика, является плоско поляризованным. Отметим, что при падении света под углом Брюстера угол между отражённым и преломленным лучом равен ровно 900.
Угол, при котором происходит полная поляризация при отражении, называется углом Брюстера:
![]()

Когда свет отражается от поверхности диэлектрика, например стекла, и отраженный, и преломленный лучи являются частично поляризованными. При некотором угле падения, называемом углом Брюстера, отраженный свет становится полностью поляризованным. В отраженном луче вектор E параллелен отражающей поверхности. В этом случае отраженный и преломленный луч взаимно перпендикулярны, а угол Брюстера связан с показателем преломления n соотношением tg = n. Для стекла 57.
5. Что называется оптической осью кристалла? Чем отличается двуосные и одноосные кристаллы?
Оптическая ось кристалла — выделенное направление в кристаллеИз-за особенностей внутренней структуры кристалла свет распространяется вдоль оптической оси иначе чем в других направлениях..
если луч света будет не параллелен оптической оси, то, при прохождении через кристалл он расщепится на два: обыкновенный и необыкновенный, которые будут взаимно перпендикулярно поляризованы.
6. Дифракция света на дифракционной решетке
Дифракция света — отклонение света от прямолинейного распространения на резких неоднородностях среды. Дифракционная решетка - оптический прибор, представляющий собой совокупность большого числа регулярно расположенных штрихов (щелей, выступов), нанесенных на некоторую поверхность (от 0,25 до 6000 штрихов на 1 мм).
Величина d = a + b называется постоянной (периодом)
а — ширина щели; b — ширина
непрозрачной части.
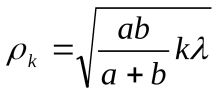
Из
условия максимума интерференции
получим:
.
k — порядок
дифракционного максимума (
равен 0, ± 1, ± 2 и т.д.).
Дифракция света. Основные формулы.
,
для плоской волны
.
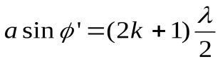
• Дифракция света на одной щели при нормальном падении лучей. Условие минимумов интенсивности света
,k=1,2,3,…,
где а —ширина щели;
Условие максимумов интенсивности света
,
k=l,
2, 3,…,
. Условие главных максимумов интенсивности
d sinφ=±kλ, k=0,1,2,3,…,
• Разрешающая
сила дифракционной решетки![]()
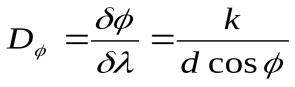
• Угловая
дисперсия дифракционной решетки![]()
линейная
дисперсия дифракционной решетки![]()
7. Теория атома водорода по Бору.
В качестве последнего примера безуспешных попыток классической физики дать полную теорию физических явлений рассмотрим атом водорода. Согласно классической модели Резерфорда атом водорода состоит из одного электрона, вращающегося вокруг положительно заряженного малого атомного ядра. Эта классическая модель не смогла объяснить два основных экспериментальных факта: а) стабильность атома водорода б) структуру излучаемого им электромагнитного спектра.В основу теории, исходящей из ядерной модели атома и объясняющей его основные опытные свойства и, прежде всего устойчивость и дискретный спектр излучения, Н. Бор положил два постулата..
1
2

3
4
Задачи
?м8. Одна из щелей, освещаемых светом с длинной волны 510 нм, закрыта очень тонким листом пластика с показателем преломления (n=1,60) В центре экрана вместо максимума света - темная полоса. Чему равна минимальная толщина пластика.
|
Дано:
|
Решение:
|
9. На щель шириной 0,25 мм падает нормально параллельный пучок монохроматического света с длиной волны 0.58 мкм. Найти ширину центрального дифракционного максимума на экране, удаленном от щели на 1,5м.
|
На щель шириной b= 20 мкм падает нормально параллельный пучок монохроматического света (λ=500 нм). Найти ширину А изображения щели на экране, удаленном от щели на расстояние l =1м. Шириной изображения считать расстояние между первыми дифракционными минимумами, расположенными по обе стороны от главного максимума освещенности. |
|||
|
Дано:
|
Решение:
то в т. Р наблюдается дифракционный минимум. Тогда
|
||
На щель шириной a=0,1 мм нормально падает параллельный пучок света от монохроматического источника (λ=0,6 мкм). Определить ширину l центрального максимума в дифракционной картине, проецируемой с помощью линзы, находящейся непосредственно за щелью, на экран, отстоящий от линзы на расстоянии L=1 м. Центральный максимум интенсивности света занимает область между ближайшими от него справа и слева минимумами интенсивности. Поэтому ширину центрального максимума интенсивности примем равной расстоянию между этими двумя минимумами интенсивности. Минимумы интенсивности света при дифракции от одной щели наблюдаются под углами φ, определяемыми условием

A=
2х1,5х1х0,58х
=6,96х
м.
10. Определить энергию, излучаемую за 1 минуту из смотрового окошка площадью 8 см2 плавильной печи. Если ее температура 1,2 кК.
|
|
|||
|
Дано:
|
Решение:
Энергия
излучения
Ответ: |
||