Материал: Бартер в современной российской экономике

Внимание! Если размещение файла нарушает Ваши авторские права, то обязательно сообщите нам

Бартер в современной российской экономике

Содержание

Введение

Глава 1.Бартер как экономическая категория

.1 Понятие и содержание бартера в экономике

.2 Основные подходы к бартерным отношениям в экономической теории

.3 Технология организации сложных бартерных сделок в современной экономике

Глава 2.Особенности бартерных отношений в российской экономике

.1 Бартерные отношения в России в 1990-х годах

.2 Снижение роли бартера российской экономике в 2000-2008 гг.

.3 Особенности бартерных отношений в России в настоящее время

Заключение

Список использованной литературы

Введение


Актуальность темы исследования. Бартерная экономика первоначально существовала на ранних стадиях товарных отношений. В наше время передовых технологий бартер продолжает мирно сосуществовать вместе с денежной системой, а порой даже и процветать, особенно когда экономические субъекты теряет доверие к денежной единице и при правительственном кризисе, а также в период гиперинфляции.

Интерес исследователей к проблемам бартера изменяется циклически. В конце восьмидесятых годов прошлого века выросли объемы бартерных обменов «Восток - Запад», что обусловило всплеск количества научных исследований и публикаций в маркетинговой литературе. В начале нынешнего века интерес к бартеру возродился на новой основе - на базе Интернет-бартера (электронного бартера). С приходом мирового финансового кризиса вновь возросла потребность в прямом обмене продуктов без применения денежных средств и других финансовых инструментов. Американская ассоциация встречной торговли (АСА) отмечает, что бартер может играть главную роль при преодолении кризиса в условиях отсутствия финансовой ликвидности. Тем не менее, ВТО и Международный валютный фонд (МВФ) рассматривают бартер как беспошлинную торговлю, искажающую результаты товарообменов. Поэтому предпосылки и возможности развития бартерной торговли находятся в поле зрения многих исследователей. Значительный вклад в изучение особенностей бартера внесли отечественные и зарубежные авторы: А.А. Афанасьев, С.Дж. Александридес, Б.Л. Боуэрс, Б. Браун, П. Верцариу, Б. Гизин, Г.Б. Клейнер, К.М. Клетцер, Б. Крести, Т. Кэмпелл, В.Л. Макаров, Д. Марин, Дж. Нассимбени, П. Оливер, К. Прендергаст, Б.Д. Райт, О.В. Ратсимор, А. Рэйсман, Ф. Садзина, Дж. Саммер, Л. Сиони, Л. Столе, В.Л. Тамбовцев, Б.Д. Таунсенд, Т. Трастер, С. Уильямсон, Д. Фрэнсис, Дж.-Ф. Хеннарт, Д. Хоэндел, М. Шнитцер, А. А. Яковлев и др.

Являясь эффективным средством обеспечения ликвидности финансовых потоков во время национальных и глобальных потрясений, бартер позволяет избежать коллапса национальных экономик и создать условия для выхода из кризиса финансовой системы. Прямые обмены продуктами защищают производителей товаров, исполнителей работ, провайдеров услуг от неплатежей в периоды гиперинфляции и дефолтов. В соответствии с определением компании USLegal, Inc., бартером является обмен товаров или услуг непосредственно на другие товары или услуги без использования денег или любой другой подобной счетной единицы или средства платежа. С нашей точки зрения, подлежащим обмену продуктом являются также и работы, которые не упоминаются в данном определении. Бартерные сделки могут включать обмены товарами, работами и услугами. Причем понятие обмена однородными товарами применимо для определения однородных бартерных сделок при обменах однородными продуктами - товарами на товары, работами на работы, услугами на услуги. Разнородные бартерные сделки имеют место при обменах разнородными продуктами - товарами на работы, работами на услуги, услугами на товары. На основании общепринятых определений отечественных и зарубежных авторов, товары рассматриваются в качестве материальных объектов, удовлетворяющих спрос при помощи обмена. Работы считаются деятельностью, изменяющей рыночную стоимость объектов; а услуги - деятельностью по обслуживанию объектов без изменения их рыночной стоимости.

Цель работы - характеристика бартерных отношений в современных условиях. Данной цели отвечают задачи работы:

.        Определение бартера как экономической категории;

.        Анализ роли бартера в российской экономике.

Глава 1. Бартер как экономическая категория

.1 Понятие и содержание бартера в экономике


Понятие «бартер» используется в различных значениях. В широком смысле бартером называют любые встречные сделки и межправительственные соглашения о взаимной торговле определенными товарами между конкретными партнерами в случаях, когда в стране вводятся валютные ограничения или же взаимные поставки товаров регулируются одним контрактом.

Российская экономика в «переходные» 1990-е годы отличалась демонетизацией: сокращением количества денег относительно выпускаемого национального продукта, которое сопровождается вытеснением из обращения «полноценных» денег (М2) их заменителями - неплатежами и бартером. О российской переходной экономике на рубеже третьего тысячелетия можно было вполне говорить, как о бартерной.

Однако, несмотря на негативный опыт России 90-х, в современном мире бартер может быть успешным крупным бизнесом. Согласно журналу «Форбс», более 60 % из тех компаний, который попали в список «Форбс-500», используют бартер. Одной из причин развития внешнеторгового бартера является бурное изменение экономических условий. Как говорит Бернард Литаер (один из создателей евро), основные валюты сегодня демонстрируют изменчивость в четыре раза более высокую, чем в 1971 году. Высокая изменчивость означает, что все большее число стран периодически испытывает дефицит иностранных валют. Бартер обеспечивает им способ торговать в условиях, когда другие страны не хотят принимать их национальную валюту. Бартер - это также способ снизить риск в условиях резких колебаний курсов валют.

Кроме того, в условиях мирового финансового кризиса многие компании вновь столкнулись с бартером. Причинами этому послужили нехватка денежных средств, низкая ликвидность, падение платежеспособного спроса, объёмов продаж.

Несмотря на то, что развитые экономики и используют бартерные отношения в своей внутриэкономической и внешнеэкономической деятельности, предпочтение отдается все же денежным. В бартерных отношениях транзакционные издержки выше по сравнению с денежными отношениями. Эти издержки делают обмен менее выгодным или невыгодным вовсе, поэтому хозяйствующие субъекты пытаются их избегать.

Первое, с чем сталкивается компания, это поиск информации о том, где можно найти потенциальных покупателей и продавцов соответствующих товаров или средств производства, каковы сложившиеся на данный момент цены. Издержки такого рода складываются из затрат времени и ресурсов, необходимых для поиска подобной информации, а также из потерь, связанных с неполнотой или недостоверностью приобретаемой информации. При этом в бартерных отношениях возникают дополнительные вопросы, например, нужен ли партнеру товар (работа, услуга), которую вы предлагаете для обмена. Если ваши товары является специфичными, то поиск партнера еще более усложняется. Современные бартерные системы (бартерные биржи, бартерные клубы) частично решают эти вопросы, однако это порождает новые проблемы: отсутствие прямых связей с производителем, что может породить невозможность возврата товара низкого качества.

бартер экономика сделка сложный

 <#"906398.files/image002.jpg"> <#"906398.files/image003.jpg">

Рис. 3 - Однородные и разнородные бартерные сделки

На практике однородность или разнородность бартерных сделок являются понятиями относительными. Например, обмен товарами сопровождается оказанием услуг (подготовка документов, погрузка и выгрузка товаров, их транспортировка, страхование, охрана, учет), а также выполнением сопутствующих работ (изготовление упаковки, ремонт поврежденных товаров, сборка сложного оборудования из комплектующих изделий и др.).

Общественное разделение труда и узкая продуктовая специализация производителей в условиях динамичных изменений в мировой экономике уже не являются безусловными факторами роста конкурентоспособности предприятий. Напротив, многопрофильная (многопродуктовая) фирма, получающая доходы из различных источников (изготовление товаров, выполнение работ и оказание услуг) более адаптирована к изменяющейся структуре рыночного спроса, лучше противостоит воздействию структурных кризисов в экономике. Многопродуктовые фирмы имеет больше возможностей удовлетворить встречный спрос участников бартерных сделок. Например, машиностроительное предприятие в составе холдинга может оплатить поставки комплектующих изделий выполнением работ по разметке, раскрою и грунтованию стальных заготовок для поставщика. Юридическая фирма холдинга может предложить юридическое сопровождение и защиту в суде интересов поставщика офисного оборудования. Авторемонтное предприятие холдинга будет выполнять ремонт грузовых автомобилей транспортной фирмы в обмен на перевозки грузов этой фирмой. Перечисленные обмены являются разнородными бартерными сделками.

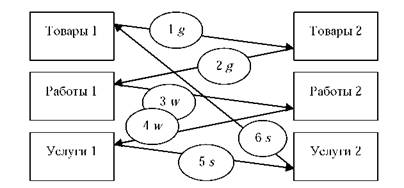
Если уже на первом этапе участникам бартерной сделки удалось добиться полного совпадения взаимного спроса и предложения по обмениваемым продуктам, такая бартерная сделка может быть названа одноходовой. Если спрос и предложение инициатора и ответчика не совпали, участники вынуждены привлекать третьих лиц. Количество дополнительных участников определяет количество трансакций по обмену продуктами в такой многоходовой бартерной сделке. При этом на каждом этапе сделки могут реализоваться как однородные, так и разнородные обмены продуктами - см. рис.4.

Рис.4- Многоходовая бартерная сделка

На рисунке 4 применены следующие обозначения графов, символизирующих действия по передаче-приемке обмениваемых продуктов. Номер в обозначении графа означает номер каждого этапа осуществления сделки, буквенный символ означает соответственно: «g» - товары (Goods), «w» - работы (Works), «s» - услуги (Services). В соответствии с рисунком 4 обмены № 1, № 3 и № 5 относятся к однородным бартерным сделкам; графы № 2, № 4 и № 6 обозначают разнородные обмены. Многоходовая бартерная сделка считается завершенной, если стрелка конечного графа совпадает с началом первого графа, иллюстрирующего бартерную сделку. В представленной на рисунке 4 сделке графы № 1 и № 2 отражают поставки обмениваемых товаров, графы № 3 и № 4 - работ, графы № 5 и № 6 описывают поставки услуг для обмена. Так как в указанной сделке обмениваются только продукты без применения уравнивающих денежных платежей, такая сделка называется продуктовой бартерной сделкой. Инициатор и ответчики бартерной сделки стремятся ее завершить при минимальном количестве ходов. Однако в условиях коллапса финансовой системы многоходовая бартерная сделка способна удовлетворить спрос значительно большего количества участников рынка и с точки зрения интересов национальной экономики является более предпочтительной.

Например, обычно требуются платежи в денежной форме для закупки сырья, материалов, комплектующих изделий, энергоносителей; на содержание оборудования; на выплату заработной платы исполнителям; на оплату телекоммуникаций, перевозок, охраны, страхования, медобслуживания и др. Поэтому парадоксом бартера в сфере обмена работами является то, что реально каждый участник бартерной сделки осуществляет внутренние денежные трансакции, т.е. оплачивает некоторые внутренние договоры с собственными исполнителями. Лишь в силу оплаты собственных издержек при выполнении работ, такой участник бартера получает возможность обменивать свои работы на работы другого участника бартера. Такие сделки могут быть оправданы трудностями в осуществлении валютных платежей между участниками бартера из разных стран либо объяснены попытками уменьшить базу налогообложения за счет скидок на выполняемые работы.

Глава 2. Особенности бартерных отношений в российской экономике

.1 Бартерные отношения в России в 1990-х годах


К началу третьего тысячелетия в российской переходной экономике сложилась парадоксальная ситуация. С одной стороны, в российском хозяйстве существовала денежная система, центральный банк, система коммерческих банков, официальная статистика денежных агрегатов и другие атрибуты денежной экономики. С другой стороны, в 1997-1999 гг. около 80 - 90% от общего объема промышленной продукции обменивалось через бартер (в 1991 - 1994 гг. этот показатель составлял около 40%, а в 1995-1996 гг. - 75%). Феномен бартера как основной формы осуществления внутренних трансакций в промышленности резко выделял Россию из числа стран с переходной экономикой.

В России активизация бартера произошла в период экономических реформ, дойдя до апогея в период кризиса 1998-1999 гг. Товарный дефицит, последовавший при отказе от плановой экономики был неизбежен, в то время, как причиной финансового дефицита в частном секторе в 1992-1994 гг. послужили неуклюжие проинфляционные меры, а общий финансовый дефицит в 1994-1996 гг. был вызван противоинфляционной монетарной политикой Правительства В.Черномырдина.

Размах бартера в конце 90-х оказался столь феноменальным, что выделил Россию из числа прочих стран с переходной экономикой. Для отраслей, производящих высоколиквидную продукцию (нефть, металл, и т.п.) бартерный способ реализации продукции являлся всеобъемлющим. Исключения составляли экспорт и розница. Крупнейший, на тот момент, производитель бензина в РФ, Омский НПЗ, реализовывал 85% продукции по бартеру.

Девальвация рубля и появление дополнительных денег в платежном балансе, несомненно, сыграли свою роль в возрождении российской экономики. Не рассматривая макроэкономические факторы ремонетизации (которым повсеместно уделяется внимание), попытаемся понять, как изменяется и какие формы принимает поведение компаний в области обмена.

Можно идентифицировать три способа трансформации бартерных сделок:

.        значительное сокращение объема бартера на микроэкономическом уровне. Оно отмечалось практически повсеместно для предприятий ещё в 2002 г. Тем не менее подобная эволюция вовсе не означает, что бартер как форма сделки прекратил свое существование;

.        постепенная интеграция бартера в форму денежного учета хозяйственной деятельности с утратой характера конкретной и явной сделки;

.        процесс преобразования бартерных сделок, состоящий в постепенном запутывании операций.

Нормализация в монетарной области сопровождалась усилением регулирования в сфере обмена. Но применение закона не происходит однозначно и механически. Оно подразумевает использование разной стратегии и разнообразной практики в зависимости от конкретной ситуации. Процесс нормализации привел к существенному сокращению после падения рубля первой категории бартера - «непрямого бартера». «Прямой бартер» - вторая категория - мог быть частично легализован, поскольку он определенным образом отражался в учете. Третья категория - «неформальный бартер» - сместился в сферу операций с финансовыми документами и превратился в более сложную процедуру, чем простой обмен товаров.

Снижение бартера связывают с воздействием девальвации рубля после дефолта, объявленного 17 августа 1998 г. по российскому долгу; иностранные конкуренты российских промышленников были поставлены в очень невыгодные условия в связи с относительной ревальвацией их валют. Но эти изменения количественных характеристик сопровождались нормализацией экономической ситуации в России, особенно в сфере обменных операций. В отношениях между компаниями был усилен юридический контроль за сделками.

Денежная нормализация, затронувшая компании, в равной степени коснулась и местных органов власти, которым было запрещено выпускать собственные суррогатные денежные средства. Подобная управляемая эволюция, сопровождаемая усилением национальной монетарной политики, приводит к снижению межрегиональной дифференциации доступа к денежной ликвидности.

Проведение любых сделок, которые не согласовывались с новыми правилами - даже между традиционными партнерами - было приостановлено. Так, металлургическое предприятие в маленьком городке в окрестностях Екатеринбурга столкнулось с тем, что его контакты с одним из ее главных поставщиков (большой металлургической холдинговой компанией) были нарушены, поскольку предприятие не могло гарантировать оплату наличными (живыми деньгами) своих заказов. Для решения прочих проблем, решавшихся с помощью бартера в 1990-е годы, предприятия теперь могли найти более дешёвые способы. <http://newsruss.ru/doc/index.php/%D0%91%D0%B0%D1%80%D1%82%D0%B5%D1%80%D0%BD%D1%8B%D0%B5_%D0%BE%D0%BF%D0%B5%D1%80%D0%B0%D1%86%D0%B8%D0%B8_%D0%B2_%D0%A0%D0%BE%D1%81%D1%81%D0%B8%D0%B8> Это было связано с тем, что в нормальных условиях бартерные сделки обычно влекут за собой более значительные трансакционные издержки, чем сделки при помощи «живых» денег. <http://newsruss.ru/doc/index.php/%D0%91%D0%B0%D1%80%D1%82%D0%B5%D1%80%D0%BD%D1%8B%D0%B5_%D0%BE%D0%BF%D0%B5%D1%80%D0%B0%D1%86%D0%B8%D0%B8_%D0%B2_%D0%A0%D0%BE%D1%81%D1%81%D0%B8%D0%B8> Поэтому уменьшение числа форс-мажорных ситуаций в экономике постепенно превращало бартерный обмен в неконкурентоспособную технологию. <http://newsruss.ru/doc/index.php/%D0%91%D0%B0%D1%80%D1%82%D0%B5%D1%80%D0%BD%D1%8B%D0%B5_%D0%BE%D0%BF%D0%B5%D1%80%D0%B0%D1%86%D0%B8%D0%B8_%D0%B2_%D0%A0%D0%BE%D1%81%D1%81%D0%B8%D0%B8>