Материал: Біосинтез вітамінів

Внимание! Если размещение файла нарушает Ваши авторские права, то обязательно сообщите нам

Біосинтез вітамінів

МІНІСТЕРСТВО ОСВІТИ І НАУКИ, МОЛОДІ ТА СПОРТУ УКРАЇНИ

НТУУ «КИЇВСЬКИЙ ПОЛІТЕХНІЧНИЙ ІНСТИТУТ»

ФАКУЛЬТЕТ БІОТЕХНОЛОГІЇ ТА БІОТЕХНІКИ









РЕФЕРАТ

з курсу «Біохімічні процеси в промислових біотехнологіях»

НА ТЕМУ: БІОСИНТЕЗ ВІТАМІНІВ


Роботу виконала:

студентка гр. БЕ-41с

Коваленко Л.А.

Роботу перевірила:

Гринюк І.І.



Київ - 2014

ЗМІСТ

ВСТУП

1. Загальна характеристика вітамінів

1.1 Класифікація вітамінів

. Біосинтез вітамінів

2.1 Вітамін В12

2.1.1 Продуценти вітаміну В12

2.1.2 Біосинтез вітаміну В12

2.2 Вітамін В2 (рибофлавін)

2.2.1 Продуценти рибофлавіну

2.2.2 Біосинтез рибофлавіну

2.3 Ергостерин (вітамін D)

2.3.1 Продуценти ергостерину

2.3.2 Біосинтез ергостерину

2.3.3 Умови утворення ергостерину дріжджами

2.4 Каротиноїди і вітамін А (ретинол)

2.4.1 Біосинтез каротиноїдів

2.4.2 Біосинтез вітаміну А (ретинолу)

2.5 Вітамін С (аскорбінова кислота)

2.5.1 Біосинтез вітаміну С

ВИСНОВКИ

СПИСОК ВИКОРИСТАНИХ ДЖЕРЕЛ

ВСТУП

Для підтримання нормальної життєдіяльності організму крім білків, жирів, вуглеводів, мінеральних речовин і води потрібні вітаміни. Цим терміном називають групу додаткових речовин їжі, що належать до різних класів органічних сполук і за рідкісним винятком не синтезуються в організмі людини. Вони мають сильний і певною мірою специфічний вплив на процеси обміну, причому в дуже невеликих кількостях.

Існування і значення вітамінів для життя встановив наприкінці минулого століття російський лікар М.І. Лунін (1881). Пізніше польський хімік К. Функ (1912) назвав біологічно активну речовину, яку виділили з висівок, "вітаміном", оскільки вона містила в своїй молекулі аміногрупу (лат. vita - життя + "аміни"). Ця назва збереглась до цього часу, хоча азотміститься не в усіх вітамінах.

Як правило, під час дослідження будь-якого вітаміну його вводять піддослідним тваринам в очищеному вигляді або навпаки, вилучають його з продукту харчування і вивчають фізіологію та біохімію піддослідних організмів. Таким чином було з'ясовано роль вітамінів в обміні речовин, їх різноманітні функції. Стало відомо, що вони беруть участь у синтезі й розщепленні амінокислот, жирів, азотистих основ нуклеїнових кислот, деяких гормонів, медіатора ацетилхоліну, який забезпечує передавання імпульсів у нервовій системі.

Нині відомо понад 20 вітамінів, які мають безпосереднє значення для здоров'я людини.

За нормального раціону і здорового способу життя потреба у вітамінах задовольняється природним шляхом. Проте навіть за цих умов узимку й навесні доцільно вживати комплексні вітамінні препарати.

Тому вивчення синтезу вітамінів є дуже важливим. І метою даного реферату є саме розгляд варіантів синтезу різних вітамінів, а також визначення їх ролі у життєдіяльності організму людини і тварин [1].

1. ЗАГАЛЬНА ХАРАКТЕРИСТИКА ВІТАМІНІВ

Вітаміни (лат. vitae - життя і амін - речовина, що містить аміногрупу (-NH2)) - низькомолекулярні органічні сполуки різної хімічної природи, що необхідні для життєдіяльності живого організму в малих дозах.

Вітаміни є незамінними елементами, необхідними для росту, розвитку й життєдіяльності людини. Більшість вітамінів в організмі не синтезується, джерелом їх зазвичай є зовнішнє середовище (харчові продукти рослинного й тваринного походження, мікроорганізми - нормальні мешканці ШКТ). Нестача вітамінів в організмі (вітамінна недостатність) може бути наслідком низького вмісту вітамінів у їжі, порушення їх усмоктування ( при патологічних змінах травного тракту). Підвищена потреба у вітамінах виникає в період інтенсивного зростання, у літньому віці, при вагітності, годівлі грудьми, важкій фізичній праці, при інтенсивних заняттях спортом. У таких випадках необхідно вживати вітамінні препарати - лікарські засоби, діючою речовиною яких є вітаміни або їх більш активні аналоги (коферменти). Вітамінні препарати отримують із природної сировини або синтетичним шляхом.

Кількість вітаміну, яку організм може засвоїти із певного джерела, залежить не тільки від вмісту цього вітаміну, а й від його біодоступності. Вона залежить від ряду факторів, зокрема: ефективності травлення і часу проходження їжі через шлунково-кишковий тракт, стану задоволення харчових потреб особи, методу приготування їжі (сира, варена, «готова до вживання»), джерела вітаміну (у складі додатку, збагаченої вітамінами їжі, їжі із природним вмістом вітаміну), іншої їжі, що вживається в той же час[2]. Наприклад біодоступність провітаміну A β-каротину збільшується при вживанні їжі, багатої на жири[10].

Для збереження вітамінів у їжі слід дотримуватись правил заготівлі, зберігання продуктів, приготування їжі - уникати її переварювання й пересмажування. Наприклад, у пошкоджених овочах і фруктах аскорбінова кислота руйнується внаслідок дії ферментів, які розщеплюють Гї молекули.

1.1 Класифікація вітамінів

Вітаміни класифікуються як водорозчинні (легко розчиняються у воді) та жиророзчинні (розчиняються у жирах та засвоюються у кишечнику за допомогою ліпідів) (табл.1.1). Водорозчинні вітаміни як правило легко виділяються організмом. Кожний вітамін зазвичай бере участь у багатьох реакціях, тому може мати багато функцій.

Таблиця 1.1 - Класифікація вітамінів [3]

Розчинність

Назва

Вітамери

Водорозчинні

Вітамін B1

Тіамін


Вітамін B2

Рибофлавін


Вітамін B3

Ніацин, нікотинова кислота, нікотинамід


Вітамін B5

Пантотенова кислота


Вітамін B6

Піридоксин, піридоксаль, піридоксамін


Вітамін B7

Біотин


Вітамін B9

Фолієва кислота


Вітамін B12

Кобаламіни


Вітамін C <#"821021.files/image001.jpg">


В молекулі вітаміну В12 розрізняють:

.        Порфіринове, хромотофорне, або коринок кільце, що пов’язане з атомом кобальту чотирма координаційними зв’язками через атоми азоту.

.        Верхнім координаційним лігандом кобальта у вітаміні В12 являється ціаногрупа. Її місце можуть займати інші неорганічні або органічні замісники, наприклад NO22-, SO22-, OH-, H2O, CH3+, аденозин; замісники визначають назви похідних вітаміну.

.        шоста позиція кобальту зайнята нуклеотидним ядром (нижнім лігандом кобальту), що складається з азотної основи та залишку фосфорної кислоти. Нуклеотидне ядро пов’язане з кобальтом через азот основи, а з кориновим кільцем через амінопропаноловий місток.

У складі вітаміну В12 або ціанокобаламіну азотиста основа представлена 5,6-диметилбензімідазолом (5,6-ДМБ). Наявність 5,6-ДМБ визначає активність молекули корриноїдів для вищих тварин. Замість 5,6-ДМБ мікроорганізми можуть включати в молекулу інші бензімідазольні та пуринові основи. Нуклеотидне ядро може бути відсутнім, як у випадку фактору В [5].

2.1.1 Продуценти вітаміну В12

У природі вітамін B12 і корриноїдні сполуки знаходять місце в клітинах мікроорганізмів, в тканинах тварин і деяких вищих рослинах (горох, лотос, пагони бамбука, листя і стручки квасолі). Проте походження вітаміну B12 у вищих рослинах остаточно не встановлено. Такі нижчі еукаріоти, як дріжджі і міцеліальні гриби, корриноїди, напевно, не утворюють. Організм тварин не здатний до самостійного синтезу вітаміну. Серед прокаріотів здатність до біосинтезу корриноїдів широко поширена. Активно продукують вітамін В12 представники роду Propionibacterium [1, 4, 5]. Природні штами пропіоновокислих бактерій утворюють 1,0-8,5 мг/л корриноїдів, але отримано мутант Р. shermanii М-82, за допомогою якого отримують до 58 мг/л вітаміну [1,5]. У сімействі Propioni bacberiaceae є й інші представники, здатні до високого накопичення вітаміну B12 в клітинах. Це, перш за все, Eubacterium limosum, Butyribacterium rettgerii. Як продуценти вітаміну практичний інтерес мають багато представників актиноміцетів і споріднених мікроорганізмів [1, 4]. Істинний вітамін B12 в значних кількостях синтезує Nocardia rugosa. Шляхом мутацій і відбору отримано штам N. rugosa, що накопичує до 18 мг/л вітаміну B12. Активні продуценти вітаміну виявлено серед представників роду Micromonospora: M.purpureae, M.echinospora, M.halophitica, M.fusса, M.chalceae. Високою кобаламінсинтезуючою активністю володіють метаногенні бактерії, наприклад Methanosarcina barkeri, M.vacuolataі окремі штами галофільних видів Methanococcus halophilus [1, 4]. Останній організм синтезує більше 16 мг корриноїдів на грам біомаси. Настільки високого вмісту корзиноїдів не відзначено в жодного іншого з вивчених мікроорганізмів. Причина високого вмісту корриноїдів у метаногенних бактерій не встановлена. Корриноїди синтезують строго анаеробні бактерії з роду клостридій. У Clostridlum tetanomorphum і Cl. sticklandil аденозилкобаламін входить до складу ферментних систем, що каталізують специфічні реакції ізомеризації таких амінокислот, як глютамінова кислота, лізин і орнітин. У значних кількостях утворюють вітамін B12 ацетогенні клостридії Cl.thermoaceticum, Cl.formicoaceticum і Acetobacter woodi, що синтезують ацетат з СО2. Відомі активні продуценти вітаміну B12 у псевдомонад, серед яких краще за інших вивчений штам Pseudomonas denitrificans MB-2436 - мутант, який дає на оптимальному середовищі до 59 мг/л корриноїдів. Інтерес представляють термофільні бацили, а саме Bacillus circulans і Вас.stearothermophilus, які ростуть відповідно при 60 і 75 °С і за 18 год культивування без дотримання стерильних умов дають високі (2,0-6,0 мг/л) виходи вітаміну. Корриноїди синтезують Rhodopseudomonas palustris, фототрофні пурпурні бактерії Rhodobactersphericus, Rh.capsulatus, Rhodospirillumrubrum, Chromatiumuinosumі та ряд інших видів. Значні кількості вітаміну B12 утворюють ціанобактерії Anabaena cylindrica, одноклітинні зелені водорості Chlorella pyrenoidosae і червоні водорості Rhodosorus marinus [6].

Продуценти вітаміну B12 культивують в середовищах, приготованих на основі харчової сировини: соєвого борошна, рибного борошна, м'ясного і кукурудзяного екстракту. В останні роки виявлені мікроорганізми, що утворюють якісні корриноїди при утилізації нехарчової сировини. Achromobacter sp., використовуючи ізопропіловий спирт як джерело вуглецю та енергії, накопичує до 1,1 мг/л провітаміну, Pseudomonas sp. синтезує вітамін B12 в середовищі з метанолом або пропандіолом (до 160 мкг/л), факультативний метилотроф утворює в середовищі з метанолом до 2,6 мг/ вітаміну. Виділено штам Klebsiella 101, який утворює велику кількість корриноїдів в клітинах тільки при зростанні на середовищі з метанолом як єдиному джерелі вуглецю та енергії [5].

2.1.2 Біосинтез вітаміну В12

Кожна структура в молекулі вітаміну: корриноїдне кільце, нуклеотидне ядро і амінопропіленовий місток - мають своє походження. Механізм їх виникнення - предмет інтенсивних, але ще не завершених досліджень. Перші етапи біогенезу корриноїдів ті ж, що і перші етапи синтезу інших тетрапірольних сполук (рис.2.2). Загальним інтермедіатом тетрапіролів є δ-амінолевулінова кислота (δ-АЛК), що утворюється у більшості організмів в результаті конденсації гліцину та сукциніл-КоА. Однак Е.limosum i C.tetanomorphum не включають 2-14С-гліцин в коринове кільце, що слід було очікувати, якщо б гліцин був попередником δ-АЛК. Отже, вже на цьому етапі шлях синтезу вітаміну у бактерій може відрізнятися.

Потім утворюється порфобіліноген, який виникає при конденсації двох молекул δ-АЛК, а при конденсації чотирьох молекул порфобіліногену - уропорфіриноген ІІІ (УПГ ІІІ). Послідовність реакцій між між УПГ ІІІ і кобіриновою кислотою отримала експериментальне підтвердження лише останні роки. Показано, що при порушенні процесу амідування клітини Propionibacterium shermanii виділяють в середовище сполуки, які названі коррифіринами - метильовані відновлені похідні уропорфірину ІІІ. До теперішнього часу виділено і охарактеризовано три сполуки: коррифірин-1 (метилкоррифірин), коррифірин-2 або сірогідрохлорин (диметилкоррифірин) та коррифірин-3 або ізобактеріохлорин (триметилкоррифірин). Мічена δ-АЛК і метіонін включаються в коррифірини, а останні - у вітамін В12.

Рисунок 2.2 - Шлях біосинтезу корзинової структури вітаміну В12 [7]

Метилювання УПГ ІІІ з одночасним декарбоксилуванням бокового ланцюга оцтової кислоти при С12 кільця С призводить до розходження шляхів біогенезу вітаміну В12 та інших тетрапіролів. В результаті подальшого метилування та утворення С-С зв’язку між кільцями А і Д синтезується кобіринова кислота.

Донором семи метальних груп, які включаються в УПГ ІІІ, є S-аденозилметіонін. Характер включення Со і утворення безпосереднього зв'язку між кільцями А і Д невідомий. На наступному етапі біосинтетичного шляху кобіринова кислота перетворюється в кобінамід (фактор В), при цьому залишки карбонових кислот кобіринової кислоти амідуються, а до залишку пропіонової кислоти кільця Д приєднується амінопропанол. На цій же стадії відбувається приєднання до корзинового кільця 5-дезоксиаденозилкобінамідом (кофермент на форма фактора В). Амінопропанол, напевно, утворюється при декарбоксилуванні L-треоніну.

Далі кобаламід фосфорилюється з утворенням кобінамідфосфату і, реагуючи з гуанозинтрифосфатом (ГТФ), дає кобінамідгуанозиндифосфот. До коферментної форми кобінамідгуанозиндифосфоту включається нуклеотид і утворюється кобаломін-5’-фосфат.

Вітамін В12, як уже відмічалось вище, містить специфічну азотисту основу - 5,6-ДМБ, яка в природі зустрічається лише в одній сполуці. Безпосереднім попередником 5,6-ДМБ служить рибофлавін. В молекулу вітаміну В12 5,6-ДМБ включається у вигляді α-рибазол-5’-фосфату. При ферментативному дефосфорилюванні кобаломін-5’-фосфату утворюється кобаломін. Послідовність реакцій при синтезі кобаломіну із кобаламіду така:

1) кобінамід + АТФ = кобінамід-Ф + АДФ;

) кобінамід-Ф + ГТФ = ГДФ-кобінамід +ФФн;

) ГДФ-кобінамід + α-рибазол-5’-фосфат = кобаломін-5’-фосфат + ГМФ;

) кобаломін-5’-фосфат = кобаломін + Фн.

Відомі дві коферментні форми вітаміну В12: аденозилкобаламін (І) і метилкобаламін (ІІ). Понад 80 % всіх синтезовани пропіоновокислими бактеріями корриноїдів знаходиться в коферментній формі І, яка в якості ліганда містить 5-дезоксиаденозил.

Джерелом аденозину служить АТФ. Коферментна форма містить Со-С-зв’язок і є першою кобальт органічною сполукою, що знайдена в живих системах. Метилкобаламін зазвичай міститься в клітинах у незначних кількостях, але у M.barkeri метил-фактор ІІІ, який містить в нуклеотидній частині 5-оксибензімідазол, складає 80 % від суми усіх корриноїдів.

Регуляція біосинтезу вітаміну В12 здійснюється за принципом репресії. Вітамін В12 пригнічує лише свій особистий синтез, не впливаючи на утворення іншиз тетрапіролів і діє на стадії метилування УПГ ІІІ. В якості регулятора виступає лише повна нуклеотидвмісна молекула вітаміну. Гем здійснює координовану репресію синтезу ферментів початкових стадій біогенезу тетрапіролів.

Функціональною формою вітаміну є аденозилкобаламін (α-(5,6-диметилбензімідазоліл)-Со-5-дезоксиаденозилкобамід) і метилкобаламін (α-(5,6-диметилбензімідазоліл)-Со-5-метилкобамід) [5].

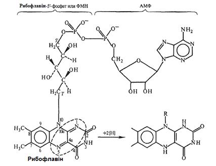
2.2 Вітамін В2 (рибофлавін)

Рибофлавін, також вітамін В2, або лактофлавін (рис.2.3) - вітамін, що бере участь в процесах росту, пластичному обміні; регуляторно впливає на стан центральної нервової системи, процеси в рогівці, кришталику ока, забезпечує світловий і кольоровий зір.; входить до складу ферментів, які регулюють важливі етапи обміну речовин, позитивно впливає на стан шкіри та слизових оболонок, функцію печінки та кровотворення.

Рисунок 2.3 - Структура рибофлавіну [8]

Рибофлавін (вітамін В2,7,8-диметил-10-(1’-D-рибітил-ізоалоксазин) був виділений в кристалічному вигляді у 1993 році. В основі будови флавінів, до яких відноситься рибофлавін, лежить гетероциклічна ізоалоксозанова система, яка представлена трьома конденсованими циклами: ароматичним (А), піразиновим (В) і піримідиновим (С). До азоту піразонового кільця приєднаний спирт рибіт (рис.2.4).

Рибофлавін функціонує в коензимних формах, що представляють собою його фосфорні ефіри: флавіномононуклеотид (ФМН) і флавінаденіндинуклеотид (ФАД). В останні десятиліття відкриті нові біокаталітичні чинники ізоалоксозанові структури, функціональні групи яких представлені модифікованими молекулами РФ, ФМН, ФАД.

Рисунок 2.4 - Структура флавінів [7]

2.2.1 Продуценти рибофлавіну

Продуцентами рибофлавіну в природі є вищі рослини, дріжджі, міцеліальні гриби і бактерії. Більшість мікроорганізмів утворює вільний рибофлавін і дві його коферментні форми - ФМН і ФАД. З багатьох бактерій і цвілевих грибів виділені аналоги РФ і їх коферментні форми. Вивчення особливостей біосинтезу РФ різними групами мікроорганізмів показало, що він, як правило, утворюється у більших кількостях, ніж потрібно для задоволення потреби клітини в цьому вітаміні. Серед прокаріотів флавіногенною групою вважають мікобактерії і ацетонобутилові бактерії. З актиноміцетів значні кількості РФ синтезують Nocardiae ritropolis. Серед цвілевих грибів найбільш активні продуценти рибофлавіну - гриби роду Aspergillus (Asp. Niger). Активні продуценти рибофлавіну Eremothecium ashbyii, Ashbyii gossypii [1, 4, 5].

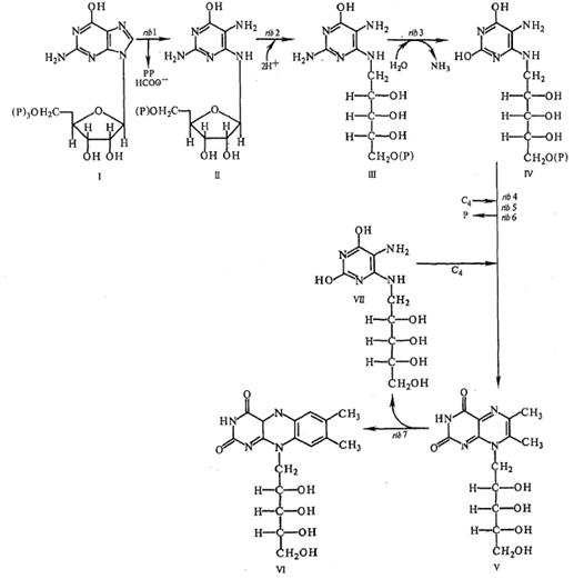
2.2.2 Біосинтез рибофлавіну

Шлях синтезу рибофлавіну (рис.2.5) встановлений в результаті досліджень, виконаних з грибом Eremothecium ashbyii, на мутантах Saccharomyces cerevisiae, Pichiaguillier mondii і мутантах бактерій Вас. subtilis. Розшифровці шляху сприяли дослідження з міченими сполуками і здійснення ранніх реакцій біосинтезу in vitro. Попередником РФ служить гуанозинтрифосфат (ГТФ). Пуриновое кільце ГТФ локалізується в гетероциклічному ядрі РФ, а рибозне ядро включається в рибітильний ланцюг РФ.

На 1-му ступені під дією ферменту ГТФ-циклогідролази ІІ з імідазольного кільця ГТФ видаляється С-8. Продуктами першого ступеню є форміат, пірофосфат і 2,5-диаміно-4-гідрокси-6-рибозиламінопіримідин-5’-фосфат. Рибозне ядро ГТФ відновлюється. На 2-му етапі біогенезу за участю відповідної редуктази відбувається відновлення рибози останньої сполуки (ІІ) з утворенням 2,5-диаміно-4-гідрокси-6-рибітиламінопіримідмн-5’-фосфату (ІІІ), яка при дезамінуванні дає 2,4-дигідрокси-5-аміно-6-рибітиламінопіримідин-5’-фосфат (ІV).

І - ГТФ; ІІ - 2,5-диаміно-4-гідрокси-6-рибозиламінопіримідин-5’-фосфат; ІІІ - 2,5-диаміно-4-гідрокси-6-рибітиламінопіримідмн-5’-фосфату; ІV - 2,4-дигідрокси-5-аміно-6-рибітиламінопіримідин-5’-фосфат; V - 6,7-диметил-8-рибітиллюмазину; VІ - рибофлавін; VІІ - 2,4-дигідрокси-5-аміно-6-рибітиламінопіримідин

Рисунок 2.5 - Шлях біосинтезу рибофлавіну у дріжджів [7]

На наступному ступені відбувається включення чотирьох вуглецевих атомів з утворенням птеридину - 6,7-диметил-8-рибітиллюмазину (V). Ця сполука виділена з E.ashbyii, A.gossypii, Cl.acetobutylicum, представників видів Candida. Показано, що донором чотирьох вуглецевих атомів може бути рибозо-5-фосфат або його метаболіт. Перед включенням в птеридин (V) піримідиновий інтермедіат (ІV) піддається дефосфорилюванню. На останньому етапі дві молекули 6,7-диметил-8-рибітиламінопіримідину (VІІ). Остання сполука (VІІ) знову включається у реакцію синтезу 6,7-диметил-8-рибітиллюмазину.

Згідно з ступенями біосинтезу РФ, що розглядалися, є 5 груп біохімічних мутантів. Перша група мутантів не накопичувала в середовищі піримідинів і птеридинів, внаслідок блокування 1-ї реакції флавіногенезу. Мутанти другої групи накопичували 2,5,6-триаміно-4-гідроксипіримідин або його рибозильоване похідне. Після взаємодії з диацетилом ці сполуки перетворюються в 6,7-диметилптерин.

Мутанти третьої групи акумулювали 2,5-диаміно-4-гідрокси-6-рибітиламінопіримідин, що дає в результаті взаємодії з диацетилом 6,7-диметил-8-рибітиллюмазин, що флюорисценціює зеленим кольором. Мутанти четвертої групи накопичували 2,4-дигідрокси-5-аміно-6-рибітиламінопіримідин, так як не синтезували люмазиновий інтермедіат (V), а мутанти п’ятої групи виділяли в середовище 6,7-диметил-8-рибітиллюмазин [8].

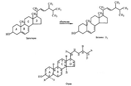
2.3 Ергостерин (вітамін D)

Ергостерин (ергоста-5,7,22-трієн-3β-ол) - це стерол, знайдений у грибах, назва якого походить від "ergot" (ріжки), грибу із роду Claviceps, із якого ергостерин був вперше виділений. Ергостерин не зустрічається в рослинних або тваринних клітинах. Він є компонентом клітинних мембран дріжджів та грибів, виконуючи ту ж саму функцію, що холестерин виконує у тваринних клітинах.

Оскільки ергостерин - це провітамін вітаміну D2, ультрафіолетове опромінювання трав'яного матеріалу, що містить гриби, може привести до вироблення вітаміну D2 [5] але треба відзначити, що це не є справжнє вироблення D вітаміну рослиною, а перетворення ергостерину грибного походження у активну форму під дією УФ-випромінювання.

Ергостерин - вихідний продукт виробництва жиророзчинного вітаміну D2 і кормових препаратів, збагачених вітаміном D2. В групу вітамінів D об'єднують споріднені сполуки, найважливішими з яких є вітаміни D2 і D3, що володіють антирахітичною дією. Вітамін D2 (ергокальциферол) утворюється при опроміненні ультрафіолетовим випромінюванням ергостерину, вітамін D3 (холекальциферол) утворюється з 7-дегідрохолестерину. В організмі людини і тварин ці сполуки регулюють засвоєння кальцію і фосфору з їжі і відкладення їх в кістковій тканині.

В основі структури ергостерину і вітаміну D лежить чотири вуглецевих цикли (А, В, С, D). У разі вітаміну D кільце В розімкнуте. Вуглеводнева структура ергостерину і вітаміну D визначає їх ліпофільні властивості.

Рисунок 2.7 - Реакція переходу ергостерину у ергокальциферол [7]

2.3.1 Продуценти ергостерину

Джерелом ергостерину є фітопланктон, бурі і зелені водорості, але особливо багаті на ергостерин дріжджі і цвілеві гриби, які і служать сировиною для його промислового отримання [1,4,5]. Відносно ергостерол синтезуючої здатності (% ергостеролу в абсолютно сухих дріжджах) дріжджі при поверхневому культивуванні розташовуються в наступному порядку: Saccharomyces. carlsbergensis (0,49-4,3), S. ellipsoidetis (1,2-1,5), Rhodotorula glutinis (0,7-0,9), Candidautilis (0,4-0,6), С. tropicalis (0,2-0,3). В міцелії грибів Aspergillus і Penicillium вміст стеринів може досягати 1,2-1,4%; (Р. westlingii близько 2,2%) у розрахунку на сухий міцелій [1, 5]. Бактерії, як правило, синтезують незначні кількості стеринів. Зазвичай вміст стеринів в їхніх клітинах складає 0,001-0,1 мг/г сухої біомаси. Стерини виявлені у Lactobacillus arabinosus, L. pentosus, Escherichia coli, Azotobacter chroococcum, Micromonosporasp., Streptomyces griseus, Sphaerotillis natans, Rhodospirillum rubrum.

 

2.3.2 Біосинтез ергостерину

Стерини відносяться до терпенів і мають шлях біосинтезу, що підкоряється «изопреновому правилу». Відповідно до цього правила, стерини (тритерпени) синтезуються з ізопренових одиниць в результаті проходження чотирьох стадій:

) утворення мевалоната з ацетил-КоА або лейцину;

) дегідратація і декарбоксилювання мевалонілпірофосфата з утворенням «активного ізопрену» - ізопентенілпірофосфату і конденсація ізопренових ланок з утворенням ациклічних терпенів різної довжини;

) циклізація ациклічних структур;

) подальша модифікація циклічної структури. Інтермедіатами синтезу стеринів є ацетат, мевалонової кислоти, сквален, ланостерин.

Сквален - загальний попередник стеринів рослинного і тваринного походження, накопичується в дріжджах і при аерації перетворюється на стерин. Розбіжність шляхів відбувається на рівні фарнезилпірофосфату:


У разі стеринів він димеризуется з утворенням сквалену:


Перетворення лангостерину в ергостерин відбувається в результаті наступни стадій:

) диметилювання лангостерину;

) транс алкілування з утворенням 24(28)-метиленової групи і одночасним відновленням С-24(25) подвійного зв’язку;

) десатурації бокового ланцюга з утворенням С-22(23) подвійного зв’язку;

) ізомеризації Δ8 Δ7;

5) дегідрування з утворенням Δ5;

Послідовність реакцій точно не встановлена, але виділений ряд речовин, які розглядають як інтермедіати на шляху до ланостерину та ергостерину. Вважають, що ферменти, які беруть участь на пізніх стадіях ергостерину, локалізуються в мікротомах дріжджів.

2.3.3 Умови утворення ергостерину дріжджами

Найбільш високі кількості стеринів синтезують штами Saccharomyces carlsbergensis ІНМІ-101 і Sacch. carlsbergensis. Біомаса Sacch. carlsbergensis може містити більше 10% ергостерину. Важлива умова синтезу ергостерину дріжджами - хороша аерація. В анаеробних умовах в клітинах дріжджів накопичується попередник ергостерину - сквален. Показано, що кисень індукує синтез стеринів, надаючи активуючий вплив на епоксідазу сквалена - першого ферменту біосинтетичного шляху. Індукція синтезу ергостерину починається при 0,03% -ому вмісті О2 в газовій фазі і досягає максимуму при 2% -вій концентрації.

Для біосинтезу стеринів дріжджами важливо, щоб середовище містило великий надлишок вуглеводів і мало азоту. Дріжджі, багаті білком, як правило, містять мало стеринів. Ці дані стосуються головним чином пекарських дріжджів. У разі дріжджів роду Candida високое C/N в середовищі призводить до накопичення ліпідів, а не ергостерину. Для дріжджів, що використовують н-алкани, останні є кращим джерелом вуглецю для синтезу ергостерину, ніж вуглеводи. Стимулюючу дію на утворення стеринів дріжджами надають інгібітори гліколізу та роз'єднувачі окисного фосфорилювання і дихання, а також забезпеченість дріжджів вітамінами, і перш за все пантотеновою кислотою, яка у складі КоА бере участь у побудові молекули ергостерину. При дії на дріжджі рентгенівського випромінювання вміст ергостерину збільшується в 2-3 рази, що пояснюють пригніченням процесу амінування, що супроводжується підвищенням синтезу ліпідів. Синтез стеринів не пов'язаний з ростом дріжджів. Вміст стеринів підвищується в міру старіння культури і стериноутворення триває після зупинки росту дріжджів [8].

2.4 Каротиноїди і вітаміну А (ретинол)

Вітамін А (рис.2.7) - група близьких за хімічною будовою речовин, яка включає ретиноїди: ретинол (вітамін A1, аксерофтол), дегідроретинол (вітамін А2), ретиналь (ретинен, альдегід вітаміну A1), ретиноєву кислоту і кілька провітамінів - каротиноїдів, серед яких найважливішим є β-каротин. Ретиноїди містяться в продуктах тваринного походження, а каротиноїди - у рослинних продуктах. Усі ці речовини добре розчиняються в неполярних органічних розчинниках і погано розчиняються у воді. Депонуються в печінці, здатні накопичуватися в тканинах. У разі передозування вітамін виявляє токсичність [9].

Рисунок 2.7 - Структурна формула вітаміну А [9]

Вітамін було відкрито 1913 року. 1931 року було описано його структуру, а 1937 року його вдалося кристалізувати [2].  

Попередником вітаміну А при його біосинтезі є каротиноїди, а саме - β-каротин.

Каротиноїди - найбільш багато чисельна і широко розповсюджена група природних пігментів. Їх утворюють вищі рослини, водорості, фототрофні бактерії та ряд хемотрофних бактерій. Крім того, каротиноїди синтезують деякі міцелі альні гриби і дріжджі.

Присутні каротиноїди також в організмі деяких членистоногих, риб, птахів та ссавців, а надходять з їжею і слугують джерелом збагачення організму вітаміном А.

Каротиноїди знаходяться у рослин та мікроорганізмів у вільній формі, можуть утворювати глікозиди, каротино-білкові комплекси, але значно частіше зустрічаються у вигляді ефірів довго ланцюгових жирних кислот.

Зазвичай каротиноїди складаються з вісьми ізопренових залишків, які з’єднані таким чином, що дві найближчі до центру молекули метальні групи знаходяться в положенні 1:6, а інші метильні групи - в положенні 1:5. Усі каротиноїди можна представити, як утворені із структури, яка має довгий центральний ланцюг кон’югованих подвійних зв’язків (рис.2.8).

Рисунок 2.8 - Поліен, з якого шляхом гідрування, дегідрування, окиснення, циклізації та інших реакцій можливий синтез різних каротиноїдів

Одна з відмінностей каротиноїдів від інших природних сполук - наявність хромофору, який містить спряжені подвійні зв’язки, число яких у найбільш розповсюджених каротиноїдів (β-каротин, γ-каротин та ін.) складає 10 - 11, а може досягати п’ятнадцяти. Від числа спряжених подвійних зв'язків в молекулі поліенів залежать наявність забарвлення і її інтенсивність. Аліфатичні поліени, що містять до п'яти пов'язаних подвійних зв'язків, -сполуки незабарвлені. Серед них найбільший інтерес представляють попередники каротиноїдів - фітон і фітовлуїн. Ці сполуки являють собою масла, що містять відповідно три і п'ять пов'язаних подвійних зв'язків. В нейроспорині присутні дев'ять пов'язаних подвійних зв'язків, і він вже має виражене жовте забарвлення. Зі збільшенням числа подвійних зв'язків у молекулі каротиноїдів відбувається поглиблення забарвлення від жовтого до оранжевого, червоного і фіолетового.

В останнє десятиліття з різних природних джерел виділено ряд каротиноїдів, які за хімічною структурою відрізняються від описаних раніше. Це так звані вищі каротиноїди, що складаються з 45 або 50 атомів вуглецю. В їх молекулі містяться додаткові С5-одиниці, що займають 2- або 2,2'- положення. С50-каротиноїди широко поширені у мікроорганізмів, в основному у нефотосинтезуючих; до таких каротиноїдів відноситься, наприклад, сарцинаксантин (рис.2.9, А), утворений Sаrcina lutea.

Іншим прикладом каротиноїдів, що мають незвичайну структуру, є пігменти, які містять термінальну метиленову групу, наприклад алеуреаксантин гриба Aleuria aurantia (рис.2.9, Б). Виділено також α-гідроксикаротиноїди, серед яких найбільш поширений α-гідроксифлеїксантин (рис.2.9, В). Виявлені каротиноїди, що мають у своїй молекулі п’ятичленне кільце і кетогрупи, наприклад актиноеритрин (рис.2.9, Г), а також арилкаротиноїди, що містять триметилфенильні кінцеві групи, і каротиноїди глікозиди (рис2.9, Д).

Нещодавно відкрита ще одна група каротиноїдів - це ω-фе- нілзаміщені поліенові карбоксилової кислоти, етерифіковані 2,5-диалкілованим резорцином (флексірубін, хлорофлексірубін), що утворюються Flexibacter elegans та Cytophaga johnsonae.

У природі зустрічаються також каротиноїди, що містять менше 40 атомів вуглецю. Вони отримали назву апокаротиноїдів - це, наприклад, β-цитраурин (З-гідроокси-8-апо-каротин-8'-ал), властивий деяким рослинам, триспорові кислоти грибів, вітамін А та ін.

В даний час вивчено хімічну будову більш 500 каротиноїдів. Завдяки вдосконаленню фізико-хімічних методів дослідження число відомих нам пігментів, постійно збільшується.

вітамін біосинтез ретинол рибофлавін

А- сарцинаксантин; Б- алеуреаксантин; В- α-гідроксифлеїксантин; Г- актиноеритрин; Д-бактеріоруберин моноглікозид

Рисунок 2.9 - Структурні формули деяких каротиноїдів [7]

2.4.1 Біосинтез каротиноїдів

Дослідження, в яких застосовувалася радіоактивна мітка (14С), а також вивчалося утворення каротиноїдів в присутності специфічних інгібіторів і мутантами мікроорганізмів, дозволили встановити, що біосинтез цих пігментів проходить у декілька етапів.

1. Утворення первинного С5-попередника. Стартовою сполукою в біосинтезі каротиноїдів є ацетат. Дві молекули ацетил-КоА конденсуються з утворенням ацетоаце-тил-КоА, який в свою чергу конденсується ще з однією молекулою ацетил-КоА, утворюючи 3-гидрокси-3-метилглутарил- КоА. При відновленні цієї сполуки утворюється мевалонова кислота (МВК), остання в присутності АТФ фосфорилюється з утворенням пірофосфату МВК. У присутності АТФ шляхом декарбоксилювання і дегідрування пірофосфат МВК перетворюється в 5-вуглецеву изопренову одиницю - ізопен- тенілпірофосфат (рис.2.10).

Рисунок 2.10 - Біосинтез каротиноїдів мікроорганізмами [7]

 

2. Біосинтез безбарвних С40-поліенів з С5-попередника. Ізопентенілпірофосфат (ІПФ) ізомеризується до стадії диметилалілпірофосфата (ДМАПФ). Потім відбувається конденсація ІПФ і ДМАПФ з утворенням геранілпірофосфата. Ці сполуки, що містять 10 атомів вуглецю, конденсуються з ІПФ і утворюють фарнезилпірофосфат, з якого шляхом подальшої конденсації виникає 20-вуглецева одиниця - геранілгеранілпірофосфат. Останній димеризуется, утворюючи фітоін (7,8,11,12,7 ', 8', 11’, 12’ -октагідро-ψ-ψ-каротин) - перший С40-попередник каротиноїдів.

Центральний хромофор фітоїну, що складається з трьох спряжених подвійних зв'язків, передбачає існування кількох стереохімічних ізомерів. В природних об'єктах фітоїн представлений двома ізомерами: 15-цис-. і 15-транс-фітоїн. Як правило, перший ізомер переважаючий, другий - зустрічається у вигляді слідів. Однак у деяких мікроорганізмів весь фітоїн може бути представлений 15-транс-ізомером. Характер ізомеру фітоїну визначає конфігурацію наступних попередників біосинтезу каротиноїдів, зокрема фітофлуїну

3. Кінцеві стадії синтезу каротиноїдів (дегідрування, циклізація, введення кисневмісних груп і С5-одиниць). Утворення каротиноїдів з фітоїну відбувається при послідовному дугідруванні останнього. Першим продуктом цієї реакції є С40-поліен-фітофлуїн. При подальшому дегідруванні фітофлуїну утворюються вже забарвлені каротиноїди - нейроспорин і лікопін (рис.2.10). Ці сполуки піддаються потім послідовній циклізації з утворенням поліенів, що містять α- або β-іононові кільця (наприклад, α- або β-каротинів). Використання нейроспорину або лікопіну як проміжного продукту при біосинтезі каротиноїдів залежить від умов вирощування та особливостей ферментної системи організму.

Встановлено, що α- і β-іононового кільця каротиноїдів утворюються із загального ациклічного попередника (рис.2.11), механізм циклізації якого відрізняється в разі синтезу α- і β-іононового кілець. Із нейроспорину (або L-каротину) виникають α- і β-зеакаротини - попередники α- і β-каротинів відповідно. Введення кисневмісних груп в молекулу каротиноїдів відбувається зазвичай після закінчення процесу циклізації, тобто синтез ксантофілів здійснюється після утворення каротинів.

Рисунок 2.11 - Механізм реакції циклізації при утворенні β-іононового кільця. А - загальний ациклічний попередник при утворенні α- і β-іононового кілець [7]

Утворення С50-каротиноїдів також відбувається після синтезу С40-каротиноїдів (каротинів). Встановлено, що С50-бактеріоруберін утворюється шляхом приєднання С5-ізопренових одиниць до кінцевих частин молекули лікопіну з наступним введенням гідроксильних груп після етапу циклізації. Вважвють, що в даному випадку додаткові С5-одиниці можуть ініціювати циклізацію каротиноїдів (етапи циклізації і приєднання С5-одиниць можуть відбуватися одночасно). Нециклічним попередником С50-каротиноїдів є лікопін. Отже, при циклізації цих поліенів не відбувається інтерконверсії β-, ε- і -γ-кілець. Для утворення деяких С50-каротиноїдів, наприклад дегідрогенанса-Р434 Flavobacterium denydrogenans, необхідною умовою є наявність світла [10].

2.4.2 Біосинтез вітаміну А (ретинолу)

Природний вітамін А1-спирт (ретинол) включає β-іононове кільце і бічний ізопреноїдний ланцюг, що складається з двох залишків метилбутадієну. Попередником вітаміну А є β-каротин. Окислювання цього поліену при утворенні вітаміну А відбувається в організмі тварин двома шляхами.

1. β-каротин розщеплюється по центральному подвійного зв'язку та за участю каротиндиоксигенази утворюються дві молекули ретиналю (альдегідна форма вітаміну А). Останній відновлюється НАДН2 в ретинол під дією алкогольдегідрогенази. Далі ретинол ферментативно етерифікується в ретинілпальмітат, що депонується в печінці.

. У кишечнику β-каротин розщеплюється по центральному подвійному зв'язку за участю НАДФН2-залежної каротиноксигенази. При цьому утворюються апокаротиналі і низькомолекулярні продукти окислення. Апокаротиналі далі за участі ферменту, локалізованого в мітохондріях і мікросомах, перетворюються в апокаротинові кислоти, що володіють біологічною активністю вітаміну А в функції росту.

Засвоєння вітаміну А відбувається в кишечнику ссавців, де протікають процеси емульгування і міцелоутворення, а також ряд біохімічних реакцій (гідроліз, етерифікация, утворення білкових комплексів).

Субстратами при утворенні вітаміну А можуть бути також інші каротиноїди, наприклад α-каротин і ксантофіли. Однак при цьому вітаміну А утворюється значно менше порівняно з β-каротином.

Вітамін А в організмі людини і тварин виконує ряд дуже важливих функцій. Перш за все він бере участь в процесі зору. При нестачі в організмі вітаміну А не відбувається утворення світлочутливого пігменту родопсину в паличках сітківки ока. У сприйнятті світла беруть участь також такі пігменти, як йодопсин і порфіропсин, до складу яких входить ретинен1 і ретінен2 відповідно. Родопсин складається з ліпопротеїну опсину і ізомеру вітаміну А альдегіду 11-цис-ретиналю.

Крім участі в процесі сутінкового зору і адаптації ока в темряві, вітамін А необхідний для нормального росту, розвитку і диференціювання тканин, виконує роль радіопротектора при рентгенівському опроміненні, регулює процеси розмноження, володіє антиінфекційним властивостями, посилює антивірусну резистентність. Відсутність вітаміну А являєтся причиною керотинізації епітелію клітин слизових оболонок, залоз, шкіри. Одна з основних функцій вітаміну А - регуляція проходження метаболітів через мембрани [9, 10].

2.5 Вітамін С (аскорбінова кислота)

Аскорбíнова кислотá (гамма-лактон 2,3-дегідро-L-гулонової кислоти, вітамін C) C6H8O6, відносно проста органічна кислота, яка міститься у свіжих фруктах (яблука, сливи, персики і т.д.) та овочах (морква, капуста, буряк, картопля та ін.).

Рисунок 2.12 - Структурна формула вітаміну С [11]

Не синтезується у організмі людини і надходить лише з продуктами харчування. Розчиняється у воді і руйнується при тривалому кип'ятінні, тому вимочування або переробка овочів знижує вміст у них вітаміну С. Велика кількість вітаміну C міститься в лимонах, плодах шипшини, червоного перцю, смородини, зеленої цибулі. Добова потреба людини в аскорбіновій кислоті досить велика - 63-105 мг. Нестача аскорбінової кислоти може привести до цинги. Отримана 1934 Тадеушем Рейхштейном, швейцарським хіміком, нобелянтом.

Вітамін С виконує в організмі два основні завдання: забезпечення імунного захисту і стабілізації психіки. Вітамін С найкращий засіб для збереження життєвої сили. Коли бракує С в людей кровоточать ясна, часті простуди, загроза запалення слизових оболонок, зайва вага, підвищувана втомлюваність, слабкі нерви, погана концетрація уваги, депресивний стан, безсоння, раннє утворення зморшок [1].

2.5.1 Біосинтез вітаміну С

Аскорбінова кислота, або вітамін С - це протицинготний вітамін, наявний у всіх вищих рослин і тварин; тільки людина і мікроорганізми не синтезують її, але людям вона невідкладно необхідна, а мікроби не потребують її. І, тим не менше, певні види оцтовокислих бактерій причетні до біосинтезу напівпродукту цієї кислоти - L-сорбози. Таким чином, весь процес отримання аскорбінової кислоти є змішаним, тобто хіміко-ферментативним.

Рисунок 2.13 - Шлях біосинтезу аскорбінової кислоти [12]

Біологічна стадія процесу каталізується мембранозв'язаною поліолдегідрогеназою, а остання (хімічна) включає послідовно наступні етапи: конденсація сорбози з діацетоном та отримання діацетон-L-сорбози, окислення діацетон-L-сорбози до діацетон-2-кето-L-гулонової кислоти, яку піддають потім гідролізу з отриманням 2​​-кето-L-гулонової кислоти; останню піддають енолізації з подальшою трансформацією в L-аскорбінову кислоту. Ферментацію G.oxydans проводят на середовищах, що містять сорбіт (20%), кукурудзяний або дріжджовий екстракт, при інтенсивній аерації (8-10 г О2/л/год). Вихід L-сорбози може досягти 98% за одну-дві доби. При досягненні культурою log-фази можна додатково внести в середовище сорбіт, доводячи його концентрацію до 25%. Також встановлено, що G.oxydans може окисляти і більш високі концентрації поліспиртів (30-50%), що утворюються на останніх стадіях процесу. Це відбувається завдяки поліолдегідрогеназі, що міститься в клітинній біомасі. Ферментацію бактерій проводять в періодичному або безперервному режимі. Принципово доведена можливість отримання L-сорбози з сорбіту за допомогою іммобілізованих клітин в ПААГ [5]. Аскорбінову кислоту використовують як антиоксидант в охороні здоров'я та харчовій промисловості.

ВИСНОВКИ

Отже, вітаміни необхідні будь-якому організму: починаючи з мікроорганізмів і закінчуючи макроорганізмами. Вважається що для нормального функціонування людини достатньо тих вітамінів, які або синтезуються мікроорганізмами у нього в організмі, або надходять в організм з їжею. Може раніше цього й вистачало, але зараз з нашою екологією, неправильним харчуванням, з вживанням різних консервантів, з величезною кількістю шкідливих звичок і т.д. люди все частіше стали стикатися з проблемою браку в організмі вітамінів (гіпо-та авітаміноз). І доводиться вживати вітаміни у вигляді лікарських препаратів, що продаються в аптеці. І якщо раніше вітаміни виробляли хімічним шляхом (він і зараз превалює), то зараз більша перевага віддається вітамінам, виробленим мікробіологічним шляхом. По-перше це все-таки не хімічні реактив, а вітаміни, вироблені живими організмами і по-друге вони краще засвоюються в організмі і менше виводяться з нього не приносячи користі. Але все ж залишаються вітаміни, вироблені за змішаною технологією: вітамін С, і ще не багато виробляються мікробіологічними шляхом: B2, B12, D, β-каротин, налагоджується виробництво біотину.

Загалом можна зробити висновок: майбутній розвиток вітамінного виробництва за біотехнологами. І це є важливим завданням для них, яке ще потрібно вирішити.

СПИСОК ВИКОРИСТАНИХ ДЖЕРЕЛ

1.      Промышленная микробиология: Учеб. пособие для вузов П 81 по спец. “Микробиология” и “Биология” / З.А. Аркадьева, А.М. Безбородов, И.Н. Блохина и др.; Под ред.. <http://cityadspix.com/tsclick-GQB3V9J0-VRMIQUYF?url=http%3A%2F%2Fwww.enter.ru%2Freg%2F13242%2Fproduct%2Ffurniture%2Fuglovoy-divan-krovat-versal-atlanta-2050600011249&sa=&bt=20&pt=9&lt=1&tl=3&im=Mjc3NS0wLTE0MTQwOTkxMTUtMTUyMjcwODc%3D&prdct=0234013604340d3706&kw=%D0%9F%D0%BE%D0%B4%20%D1%80%D0%B5%D0%B4..> Н.С. Егорова. - М.:Высш. шк., 1989. - 688с.

2.      Мюллер Э., Лёффлер В. Микология: Пер. с нем. - М.: Мир, 1995. - 343 с.

.        Куликов П.И. Производство муки, жира, и белково-витаминных препаратов в рыбной промышленности. / - Москва: Пищевая промышленность, 1991.

.        Шнайдман Л.О. Производство витаминов. / - Москва: Пищевая промышленность, 1973. - 443с.

.        Mantzouridoua F., Tsimidou M.Z. On the monitoring of carotenogenesis by Blakeslea trispora using HPLC // Food Chemistry. - 2007. - Vol.104. - № 1. - P.439-444.

6.      Никтин Г.А. Биохимические основы микробиологических производств: Учеб. пособие. - Киев: Вища школа. Головное изд-во, 1981. - 312 с.

7.      Елинов Н.П. Основы биотехнологии. - СПб.: Наука, 1995. - 600 с.

.        Н.А. Шмалько, И.И. Уварова, Ю.Ф. Осляков. Амарантовая мука - антиоксидантная добавка для макаронных изделий, обогащенных β-каротином // Пищевая технология. - 2004г. - №5-6. - стр. 39-41.

.        К.К. Полянский, Л.В. Голубева, О.И. Долматова, Д.В. Дорохина. Изучение реологических свойств видов молочных консервов с β-каротином // Пищевая технология. - 2001г. - №1. - стр. 28-29.

11.    Назаров И.Н. Химия витаминов - ПИЩЕПРОМИЗДАТ, 1959. - 98 c.

.        Дмитровский А. А. Экспериментальная витаминология/ Под ред. Островскго Ю. М. - Минск: Наука и техника, 1979.


Не нашли материал для своей работы?
Поможем написать уникальную работу Без плагиата!