В настоящее время имеется большое количество книг по изучению работы с электронными таблицами. В них дается полное описание работы в таблицах, что создает трудности для начинающих, а если учесть и стоимость этих книг, то актуальность настоящего учебного пособия не вызывает сомнения.
Microsoft Excel является мощной и, одновременно, достаточно простой в использовании программой. Кроме больших возможностей работы в электронных таблицах, эта программа позволяет оперировать с несколькими листами, хранящимися в одном файле.
Excel может работать не только с текстами, числами, датами и другими данными, но и с графиками и диаграммами.
Запуск программы Excel
Запустить программу для создания, просмотра и работы в электронной таблице можно несколькими способами. Стандартным запуском можно считать следующие действия:
. Щелкните на кнопке Пуск в левом нижнем углу панели задач.
. Раскройте меню Программы.
Если пользователь часто обращается к Microsoft Excel, то он, обычно, выносит его в виде ярлыка на Рабочий стол. Тогда запуск, электронной таблицы на выполнение, сводится только к установке курсора на этот ярлык, щелкнув на нем левой клавишей мышки.
Общие положения
Числовая обработка внесенных данных в электронную таблицу (ЭТ)¾ одна из главных задач Excel. ЭТ позволяет находить сумму рада чисел, производить вычитание, нахождение процента от общей суммы, строить различного вида графики и т.д. Однако Excel позволяет производить вычисления по 320-ти функциям. Так, например, по названию товара, из прейскуранта, автоматически возвращается его стоимость и пересылается в указанную ячейку.
При создании, прежде всего, своих формул необходимо помнить ряд правил:
· Формулы начинаются со знака равенства (=).
· В формулу может входить до 1024-х символов (вряд ли Вам, когда либо, придется руководствоваться этим правилом, но надо помнить о нем!).
· Результат вычисления отображается в указанной ячейке, а формула, по которой производилось вычисление, в строке формул.
Как Вы уже успели заметить, необходимо при составлении формул знать фактически не три, а два правила. При необходимости внесения в формулу ссылки на некоторую ячейку легче и, главное, надежнее вводить ее имя не с клавиатуры (возможны ошибки!), а установить курсор мышки на необходимую ячейку и нажать левую клавишу мышки - имя ячейки автоматически введется в формулу.
Копирование формул
Вы, наверное, при составлении формул уже убедились в том, что их составление достаточно трудоемкий процесс, даже при использовании мышки, при добавлении в нее ссылок на ячейки. А если таких формул, в процессе вычислений, потребуется несколько? Затраты времени, на их создание, будут возрастать пропорционально их числу. Где же выход? Копирование - вот эффективный выход из создавшегося положения.
Для копирования формулы методом Автозаполнения можно использовать маркер заполнения (этот метод был описан в первой главе). При этом автоматически осуществляется последовательность создания, под вычисляемые строки (столбцы), формул. При копировании формул необходимо учитывать понятия относительных и абсолютных адресов ячеек. При необходимости копирования формулы в другую ячейку или группу ячеек (в этом случае Автозаполнение не годится), можно воспользоваться буфером обмена.
Относительные адреса ячеек появляются при копировании формул с автоматическим преобразованием ссылок на вычисление столбцов или строк таблицы. Так, например, в ячейке F7 записывается сумма строки «Покупка» (ячейки - В7 и С7), а при копировании этой формулы в ячейку F9, строка «Продажа», автоматически вычисляется сумма ячеек В9 и С9 с последующей записью результата в ячейку F9. То есть, имена ячеек В7 и С7, в написанной ранее формуле, автоматически заменились на В9 и С9
Но, иногда, необходимо зафиксировать один из адресов ячейки, тогда запись исходной формулы принимает вид, например:
=СУММ (А1:А4)*$А$5
Здесь, $А$5 - фиксированное имя ячейки, так, при переходе на колонку с именем В, формула автоматически преобразуется в:
=СУММ (В1:В4)*$А$5
При такой записи имени ячейки, с использованием знака «доллар» ($), называется - абсолютным адресом ячейки.
Функция - это уже готовая сложная формула, по которой проводятся операции вычисления над группой данных определенного типа. Функции задаются с помощью формул, которые выполняют вычисления по заданным величинам, называемым аргументами, и в указанном порядке, называемом синтаксисом. Например, функция СУММ складывает значения или группы ячеек, а функция ППЛАТ вычисляет величину выплаты за один период годовой ренты на основе постоянных выплат и постоянной процентной ставки. Функцию можно вводить в ячейку самостоятельно или при помощи Мастера функций.
• Мастер функций позволяет использовать весь набор функций Excel, даже если вы точно не знаете их названия. Все функции организованы в группы (или категории), такие как Financial (Финансовые), Statistical (Статистические) и др. Мастер функций выводит краткое описание каждой функции, благодаря которому вы сможете выбрать нужную функцию. Кроме того, мастер функций помогает вводить аргументы функции и поясняет, для чего они нужны. При использовании мастера функций практически исключаются ошибки при записи формул в ячейки, кроме того, так удобнее вводить сложные функции с несколькими аргументами.
Для того, чтобы воспользоваться мастером функций необходимо:
1. Выделите ячейку, в которую нужно поместить функцию, и нажмите кнопку Вставка функции на стандартной панели инструментов.
. В списке Категории функций открывшегося окна диалога укажите нужную категорию функции.
. Выберите нужную вам функцию в списке Имя функции. В нижней части окна диалога появится описание выбранной функции. Прочитайте его и убедитесь, что функция выбрана правильно. Щелкните на кнопке ОК.
. Под строкой формул появится окно - так называемая палитра формул. Введите аргументы в соответствующие поля. Вы можете вводить значения или адреса ячеек вручную, а можете щелкать на нужных ячейках или выделять нужные диапазоны.
. Щелкните на кнопке ОК, чтобы завершить ввод функции. Результат вычисления функции появится в ячейке.
Категории функций, используемых в Exel
Арифметические и тригонометрические функции
Арифметические и тригонометрические функции позволяют производить простые и сложные математические вычисления, например вычисление суммы диапазона ячеек, вычисление суммы ячеек диапазона, удовлетворяющих указанному условию, округление чисел и прочее.
Например:
ФАКТР - возвращает факториал числа. Факториал числа - это значение, которое равно 1*2*3*…* число.
ФАКТР(число)
Число - это неотрицательное число, факториал которого вычисляется. Если число не целое, то производится отбрасывание дробной части.
МОПРЕД - возвращает определитель матрицы (матрица хранится в массиве).
МОПРЕД(массив)
Массив - это числовой массив с равным количеством строк и столбцов.
Массив может быть задан как интервал ячеек, например, A1:C3 или как массив констант, например {1; 2; 3:4; 5; 6:7; 8; 9}.
КОРЕНЬ - возвращает положительное значение квадратного корня.
КОРЕНЬ(число)
Число - это число, для которого вычисляется квадратный корень. Если число отрицательно, то функция КОРЕНЬ возвращает значение ошибки #ЧИСЛО!.
ABS - возвращает модуль (абсолютную величину) числа. Абсолютная величина числа - это число без знака.
ABS(число)
Число - это действительное число, абсолютную величину которого требуется найти.
ПИ - возвращает число 3,14159265358979,
математическую константу p с точностью до 15 цифр.
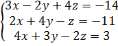
Задача. Решить систему уравнений традиционным способом и
с помощью MS Excel.
1. Запишите исходную матрицу системы:
![]()
Слева от разделительной линии стоят коэффициенты при неизвестных, а справа стоят свободные члены.
. Найдите определитель основной матрицы:
∆=
=3![]()
- (-2)![]()
+4![]()
=-55
Так как ∆ не равно 0, то система имеет единственное решение.
3. Найдём определитель дополнительных матриц, которые получаются из основной путём замены элементов одного из трёх столбцов основной матрицы элементами матрицы свободных членов bi.
∆1=
=9![]()
- (-2)![]()
+4![]()
=55
∆2=
=3![]()
-9![]()
+4![]()
=-110
∆3=
=3![]()
- (-2)![]()
+9![]()
=-220
4. Найдём решения системы алгебраических уравнений:
x1 =![]()
=![]()
=-1
x2 =![]()
=![]()
=2
x2 =![]()
=![]()
=4
|
|
|
|
|
|
|
|
|
|
|
|
|
|
|
|
|
|
|
|
|
|
|
|
|
|
|
|
|
|
|
|
|
|
|
|
|
|
|
|
|
|
|
|
|
|
Коэффиценты свободные члены |
а1 |
а2 |
а3 |
bi |
|
|
|
|
|
|
3 |
-2 |
4 |
9 |
|
|
|
|
|
2 |
-1 |
2 |
|
|
|
|
|
|
4 |
3 |
-2 |
-6 |
|
|
|
|
|
|
|
|
|
|
|
|
|
|
|
|
|
|
|
|
|
Определитель основной матрицы |
D= |
-55 |
|
|
|
|
|
|
|
|
|
|
|
|
|
|
|
|
|
|
|
|
|
|
|
|
дополнительные матрицы |
|
bi |
а2 |
а3 |
|
определители дополнительных матриц |
|
|
|
|
9 |
-2 |
4 |
|
|
55 |
|
|
|
2 |
4 |
-1 |
|
|
|
|
|
|
-6 |
3 |
-2 |
|
|
|
|
|
|
|
|
|
|
|
|
|
|
|
а1 |
bi |
а3 |
|
|
|
|
|
|
3 |
9 |
4 |
|
|
-110 |
|
|
|
2 |
2 |
-1 |
|
|
|
|
|
|
4 |
-6 |
-2 |
|
|
|
|
|
|
|
|
|
|
|
|
|
|
|
а1 |
а2 |
bi |
|
|
|
|
|
|
3 |
-2 |
9 |
|
|
-220 |
|
|
|
2 |
4 |
2 |
|
|
|
|
|
|
4 |
3 |
-6 |
|
|
|
|
|
|
|
|
|
|
|
|
|
|
|
|
|
|
|
|
|
|
Решения систем. |
|
|
|
|
|
|
|
|
|
|
x1= |
-1 |
|
|
|
|
|
|
|
x2= |
2 |
|
|
|
|
|
|
|
x3= |
4 |
|
|
|
|
Ещё совсем недавно основными инструментами инженера были калькулятор и чертёжная доска. Расчёты занимали немало рабочего времени. Например, большинство инженерных расчётов проводятся в нескольких приближениях, т.е. один и тот же алгоритм вычислений повторяется несколько раз, но каждый раз с новыми, уточнёнными данными. Инженер вынужден был повторять на калькуляторе вычислительные операции каждого приближения снова и снова. Выполнение чертежей также было нелегким занятием. За кульманом (большая чертёжная доска с закреплённой на ней рейсшиной) как правило, работали стоя, что приводило к возникновению профессиональных болезней. Так как чертежи выполнялись при помощи карандашей различной твёрдости или туши, то неосторожное движение рукой приводило к появлению на чертежах грязных разводов и смазанных линий. В современных условиях рыночной экономики, такой подход, несомненно, не позволит предприятию быть конкурентоспособным и получать прибыль. При размещении заказа на выполнение проектных работ одним из основных критериев является минимальное время выполнения проекта. Автоматизация инженерной работы (расчётов, выполнения чертежей и текстовых документов) позволяет сократить время выполнения проекта в несколько раз. Для этого требуется оборудовать место работы инженера персональным компьютером и установить на него соответствующее программное обеспечение.
В данной работе был рассмотрен метод Крамера решения систем линейных алгебраических уравнений.
Метод Крамера - способ решения квадратных систем линейных алгебраических уравнений с ненулевым определителем основной матрицы (причём для таких уравнений решение существует и единственно). Назван по имени Габриэля Крамера (1704-1752), придумавшего метод.
В работе была рассмотрена теоретическая часть, из которой выводятся различные формулы для реализации данного метода.
Автоматизация решения СЛАУ методом Крамера
была выполнена с помощью табличного процессора MS Excel.
Список литературы
1. А.В. Голышева, В.Н. Корнеев. Excel 2007 без воды. 2008 г.
2. Ю.В. Васильков, Н.М. Василькова. Компьютерные технологии вычислений. 2012 г.
3. В.В. Трофимова. Информатика. 2011 г.
4. Н.А. Лизунова, С.П. Шкроба. Матрицы и системы линейных уравнений. 2007 г.
6. А.Г. Днепров. Excel 2007 видеосамоучитель. 2009 г.
. И. Киреев, А.В. Пантелеев. Численные методы в примерах и задачах.