Материал: арьеры реализации водородных инициатив

Внимание! Если размещение файла нарушает Ваши авторские права, то обязательно сообщите нам

СПБГУАП группа 4736 Контакты https://new.guap.ru/i03/contacts

ЗапискиГорного института. 2020. Т. 244. С. 428-438

 

 

 

 

 

 

 

DOI: 10.31897/PMI.2020.4.5

В.С.Литвиненко, П.С.Цветков, М.В.Двойников, Г.В.Буслаев

 

 

 

 

 

 

 

 

 

 

35

 

 

 

 

 

 

 

 

 

 

 

 

 

 

 

 

 

 

 

 

 

 

 

 

 

 

 

 

 

 

 

 

 

 

30

 

 

 

 

 

 

 

 

 

 

 

 

 

 

 

 

 

25

 

 

 

 

 

 

 

 

 

 

 

 

 

 

 

 

 

20

 

 

 

 

 

 

 

 

y = 4E –0,6x2 – 0,3683x+ 7687,3

15

 

 

 

 

 

 

 

 

R2 = 0,7889

 

 

 

 

 

 

 

 

 

 

 

 

 

 

 

 

 

10

 

 

 

 

 

 

 

 

 

 

 

 

 

 

 

 

 

5

 

 

 

 

 

 

 

 

 

 

 

 

 

 

 

 

 

0

 

 

 

 

 

 

 

 

 

 

 

 

 

 

 

 

 

02.04.2008 15.08.2009 28.12.2012 11.05.2012 23.09.2013 05.02.2015 19.06.2016 01.11.2017 16.03.2019

Рис.1. Средняя ставка налога на выбросы углерода в Европе, евро/т CO2 [31]

В качестве одного из перспективных энергоносителей, способных решить эту проблему, предложен водород. Водород является потенциальным решением нескольких проблем энергогенерации, присущих как ВИЭ, так и углеводородным ресурсам. С одной стороны, его производство теоретически позволит преобразовывать, накапливать и сохранять энергию, произведенную из любого первичного ресурса [15]. С другой стороны, водород признан экологически чистым вторичным энергетическим ресурсом в связи с отсутствием каких-либо выбросов загрязняющих веществ на этапе его сжигания [16]. Несмотря на это, водородная энергетика находится на начальном этапе развития и еще не готова к масштабному и повсеместному внедрению в глобальную энергетическую систему. Следует четко понимать, что, если ВИЭ являются обсуждаемой, обширной применяемой группой технологий, то кластер технических решений водородной энергетики находится на самом начальном этапе развития, хотя первые работы в области использования водорода для обеспечения процессов устойчивого развития были начаты еще в середине прошлого века [10], а сам элемент изучается не одно столетие. Дискуссия о судьбе водорода в качестве энергоносителя в современных научных работах, как правило, проводится в одном из следующих направлений.

В настоящее время не существует экономически эффективных способов получения водорода в промышленном масштабе, несмотря на наличие более 100 различных способов его получения (комбинации сырья и технических методов) [11].

Отсутствует необходимая инфраструктура для масштабного развития водородной энергетики, как мобильной, так и стационарной [25]. При этом вопросы инфраструктурного развития во многих современных работах [22] ограничиваются отдельными этапами производственнологистической цепочки (производство, транспортировка, хранение или потребление), либо их комбинациями. Это связано с тем, что, несмотря на наличие в мире порядка 3000 км водородных газопроводов [34], до сих пор затруднены оценки того, какие ресурсы должны быть привлечены для модернизации уже сложившихся энергораспределительных систем.

Исследования в области влияния водорода на металлы проводятся уже не одно десятилетие. Еще в 1967 г. в СССР было сделано научное открытие «Водородный износ металлов» (№ 378), но реакционная способность водорода до сих пор недостаточно изучена, хотя ее негативные проявления уже являются большой технической проблемой (стресс-коррозия). Так, например, негативное воздействие водорода на металл оказало влияние на перспективы его использования в качестве топлива для современных космических кораблей. Аналогичные негативные последствия наблюдаются и в действующих трубопроводных системах, особенно это касается мест стыков конструктивных частей. Из-за стресс-коррозии Газпром заменил более 5 000 км трубопроводов большого диаметра. В каждом конкретном случае необходимо комплексное изучение про- странственно-энергетического распределения водорода в металле, возникающего в процессе эксплуатации технических систем с целью оценки срока службы элементов с учетом усталостного разрушения [23].

429

СПБГУАП группа 4736 Контакты https://new.guap.ru/i03/contacts

DOI: 10.31897/PMI.2020.4.5

ЗапискиГорного института. 2020. Т. 244. С. 428-438

В.С.Литвиненко, П.С.Цветков, М.В.Двойников, Г.В.Буслаев

 

Учитывая все это, водород следует рассматривать комплексно: как химический элемент, как энергоноситель, как сырьевой ресурс и, в целом, как источник возможностей и рисков. Рассмотрение водорода в контексте одной научной дисциплины приводит к потере существенной части информации и, как следствие, необоснованным выводам о его потенциале и барьерах для реализации.

Таким образом, цель данной статьи – интегральный анализ жизнеспособности идей о широкомасштабном развитии водородной энергетики в краткосрочной перспективе, развиваемых в рамках стратегических программ снижения углеродоемкости ряда ведущих мировых экономик.

Технологические аспекты производства, транспортировки и хранения водорода. В от-

личие от углеводородных ресурсов, водород, как правило, является вторичным энергетическим ресурсом, так как его добыча из природной среды крайне трудна, хотя примеры таких проектов имеются в международной практике [38].

Для производства водорода разработано множество концепций и технологий [8], которые условно можно разделить на две ключевые группы – основанные на ВИЭ («зеленый» водород) и на углеводородах («синий» и «серый» водород). Первая группа использует термохимические либо биологические процессы, вторая – процессы риформинга и пиролиза углеводородов,. Основная проблема заключается в том, что большинство доступных технологий еще не имеют достаточной апробации для их промышленного внедрения.

Производство водорода. Сегодня мировое производство водорода превышает 85 млн т. Основными потребителями являются химическая промышленность – до 70 %, нефтепереработка – более 20 %, металлургия – порядка 7 %, доля транспортной энергетики не превышает 1 % в общей структуре потребления [11].

Существует более 100 перспективных технологий производства водорода, из которых наибольшее распространение получили химические технологии конверсии углеводородного сырья (природного газа и угля) [28]. Основной промышленной технологией является паровая конверсия природного газа (SMR), хотя применяют также углекислотную конверсию (DRM), некаталитическое парциальное окисление (POX) и комбинации названных способов, среди которых крайне распространен автотермический риформинг (ATR) [17, 32].

В зависимости от источника водород условно разделяют на «зеленый», «серый», «синий» и «желтый». Это разделение не связано с цветом газа, а упрощает восприятие различий у общественности. «Зеленый» водород образуется наряду с кислородом при электролизе обычной воды. Этот процесс прост с технической точки зрения, но является крайне энергоемким. «Серый» водород получается за счет риформинга углеводородов, в результате которого также выделяются парниковые газы. Если параллельно с этим процессом реализуются цепочки захвата CO2 [35], то полученный водород называют «синим». Он же может быть получен за счет использования технологий пиролиза углеводородов. «Желтый» водород ассоциируются с атомной энергетикой. Но, учитывая объективные проблемы с общественным восприятием этих объектов, а также их ограниченную роль в глобальном энергетическом балансе, этот водородный ресурс является незначительным [36].

Следует остановиться на крайне перспективных технологиях получения водорода из метана без доступа кислорода (прямой пиролиз, низкотемпературная плазма и др) и, соответственно, без выбросов CO2 [2]. Подобные работы по созданию реакторов ведутся европейскими компаниями в рамках государственного и частного финансирования в BASF New Business GmbH, BASF SE, VdEh Betriebs Forschungs Institut, HTE GmbH, Linde AG, Thyssenkrupp Industrial Solutions AG, TU Dortmund, Verbundnetz Gas и других компаниях, входящих в число мировых лидеров в области снижения выбросов парниковых газов. Теоретически технологии пиролиза способны обеспечить не только нулевой, но и отрицательный углеродный след, в случае использования отходов и продукции сельского хозяйства [18]. Не углубляясь в детали технологических процессов, приведем только общую информацию о них (рис.2).

Хранение и транспортировка водорода. Транспортировка и хранение также являются слабыми звеньями водородных энергетических систем [9]. Повышение эффективности этих процессов связано с решением двух ключевых проблем: перевод водорода в форму, имеющую большую плотность (например, сжижение); повышение безопасности резервуаров и транспортных систем. Если первая проблема уже имеет некоторые практические решения, то вопросы безопасного обращения с водородом еще практически не изучены [21].

430

СПБГУАП группа 4736 Контакты https://new.guap.ru/i03/contacts

ЗапискиГорного института. 2020. Т. 244. С. 428-438

 

 

 

 

 

DOI: 10.31897/PMI.2020.4.5

В.С.Литвиненко, П.С.Цветков, М.В.Двойников, Г.В.Буслаев

 

 

 

 

 

 

 

 

Сравнение углеродного следа и минимальных

 

 

Прямые выбросы СО2

 

Минимальная потребность

энергетических затрат на получение водорода

 

 

в килограммах СО2 на килограмм энергии в килоджоулях

 

 

производимого водорода

 

на моль водорода

 

 

 

 

 

 

 

 

 

Водород

 

 

 

Паровой риформинг

СН4 + 2Н2O 4H2 + CO2

8,85

 

 

27

 

 

 

из метана и воды

 

природного газа

 

 

 

 

 

 

 

 

 

 

 

Водород из воды

 

Электролиз воды

2О 2Н2 + О2

 

 

 

286

 

 

Через алюминий 2Al + 3H2O 3H2 + Al2O3

 

 

 

 

 

 

 

 

 

 

 

 

 

 

 

478

 

 

 

 

 

 

 

 

 

 

 

Водород из метана Пиролиз метана

СН4 2Н2 + С

 

 

 

 

 

 

 

 

 

 

 

37

 

 

 

 

 

 

 

 

 

 

 

 

 

 

 

 

 

 

Алюминий с водой

 

 

Электролиз воды

 

 

Пиролиз метана

 

 

Al

 

 

 

 

 

 

 

 

 

C + 2H2

 

 

 

 

 

2 + Al2O3

 

 

 

Н2 + 0,5O2

 

CH4

 

 

 

 

Нг = +478 кДж/моль Н2

 

Нг = +286 кДж/моль Н2

 

 

Нг = +37 кДж/моль Н2

 

 

 

 

 

 

 

 

 

 

 

 

 

 

 

 

 

 

 

 

H2O

 

 

Низкое потребление энергии

 

 

 

 

 

 

 

 

 

 

 

 

 

 

 

 

 

 

 

 

 

Очень высокое потребление

 

Высокое потребление энергии

 

Природный газ в качестве сырья

 

 

 

 

 

 

 

Твердый углерод

Al2O3

 

 

энергии на разделение Al2O3

 

Дистиллированная вода

 

как дополнительный продукт

 

Дистиллированная вода

 

 

 

 

 

 

 

в качестве сырья

 

Существуют промышленные

 

 

 

в качестве сырья

 

 

Существуют пилотные заводы

 

установки

Рис.2. Сравнительный анализ способов получения водорода

Объемные и физические характеристики. В качестве примера потенциального проекта транспортировки водорода приведем «Северный поток-2» – один из наиболее обсуждаемых сегодня газотранспортных проектов.

В целях сохранения своих позиций на европейском рынке ПАО «Газпром» необходимо снизить углеродоемкость поставляемых энергетических ресурсов, чтобы соответствовать внедряемым экологическим стандартам, что подразумевает необходимость модернизации действующих и плановых технологических процессов. Под давлением Европейского Союза (ЕС) в качестве меры реагирования специалисты ПАО «Газпром» рассматривают возможность перевода турбин магистральных компрессоров на смесь метана с водородом (20 %), тогда выбросы углекислого газа ориентировочно уменьшатся на 30 %. Для этого на каждой компрессорной станции (более 250 в России) необходимо будет установить оборудование для производства водорода, либо необходимо транспортировать в ЕС природный газ уже в смешанном с водородом виде, с постепенным увеличением доли водорода по мере перехода ЕС к «углеродонейтральной» экономике.

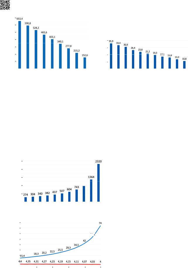
При этом существует ряд сложностей в переводе трубопроводов на подобную смесь, связанных с физико-химическими свойствами водорода, создающими при их детальном рассмотрении нетривиальные проблемы, с которыми могут столкнуться газотранспортные системы. В частности, эффективность трубопроводной транспортировки газа напрямую зависит от объема продукции, а значит и от плотности газа. На рис.3, a представлена зависимость плотности смеси водорода и метана, из которой видно, что с увеличением концентрации водорода от 10 до 90 % плотность смеси снижается более чем в четыре раза.

При обосновании преимуществ водорода отмечается высокая энергоемкость этого газа, но при этом рассматривается теплота сгорания единицы массы, что не позволяет оценить реальную картину. На рис.3, б представлена зависимость теплоты сгорания смесей с различной концентрацией. Из рис.3 видно, что энергия, получаемая из одного объема водорода, в 3,5 раза меньше энергии, получаемой из метана.

На рис.4, а представлено увеличение требуемой энергии на сжатие 1 кг смеси для повышения давления на 1 МПа по мере увеличения доли водорода. Можно сделать вывод, что энергозатраты увеличиваются примерно в 8,5 раза, что делает процесс трубопроводной доставки водородосодержащих смесей менее энергоэффективным. Связано это с тем, что кинематиче-

431

СПБГУАП группа 4736 Контакты https://new.guap.ru/i03/contacts

DOI: 10.31897/PMI.2020.4.5

ЗапискиГорного института. 2020. Т. 244. С. 428-438

В.С.Литвиненко, П.С.Цветков, М.В.Двойников, Г.В.Буслаев

 

а

700

 

 

 

 

 

 

 

 

 

 

 

 

 

 

 

 

 

 

 

 

 

 

653,4

 

 

 

 

 

 

 

 

 

 

 

 

 

 

 

 

 

 

 

 

 

 

 

 

 

 

 

 

 

 

 

 

 

 

 

 

 

 

 

 

 

600

 

 

 

 

590,8

 

 

 

 

 

 

 

 

 

 

 

 

 

 

 

 

3

 

 

 

 

 

 

 

 

 

 

 

 

 

 

 

 

 

 

 

 

 

 

 

 

 

 

 

528,2

 

 

 

 

 

 

 

 

 

 

 

 

 

 

м

 

 

 

 

 

 

 

 

 

 

 

 

 

 

 

 

 

 

 

 

 

г/

500

 

 

 

 

 

 

 

 

 

 

 

 

 

 

 

 

 

 

 

 

 

 

 

 

 

 

 

 

 

465,6

 

 

 

 

 

 

 

 

 

 

 

б

смеси,

 

 

 

 

 

 

 

 

 

 

 

 

 

 

 

 

 

 

 

 

 

 

 

 

 

 

 

 

 

 

 

 

 

 

 

 

 

 

 

 

400

 

 

 

 

 

 

 

 

 

 

 

340,1

 

 

 

 

 

 

 

 

 

 

 

 

 

 

 

 

 

 

403,1

 

 

 

 

 

 

 

 

Плотность

300

 

 

 

 

 

 

 

 

 

 

 

 

 

 

 

 

 

 

 

 

 

 

 

 

 

 

 

 

 

 

 

 

 

 

 

 

 

 

 

 

 

 

 

 

 

 

 

 

 

 

 

 

 

 

 

 

 

 

 

 

 

 

 

 

 

 

 

 

 

 

 

 

 

 

 

 

 

277,8

 

 

 

 

 

 

 

 

 

 

 

 

 

 

 

 

 

 

 

 

 

 

 

 

 

 

 

 

 

200

 

 

 

 

 

 

 

 

 

 

 

 

 

 

 

 

215,2

 

 

 

 

 

 

 

 

 

 

 

 

 

 

 

 

 

 

 

 

 

 

 

 

 

 

 

 

 

 

 

 

 

 

 

 

 

 

 

 

 

 

 

 

 

152,6

 

 

 

 

 

 

 

 

 

 

 

 

 

 

 

 

 

 

 

 

 

 

 

 

 

100

 

 

 

 

 

 

 

 

 

 

 

 

 

 

 

 

 

 

 

 

 

 

0

 

 

 

 

 

 

 

 

 

 

 

 

 

 

 

 

 

 

 

 

 

 

 

 

 

 

 

 

 

 

 

 

 

 

 

 

 

 

 

 

 

 

 

 

10

20

30

40

50

60

70

80

90

 

 

Объемная доля Н2, %

Рис.3. Зависимости плотности смеси с метаном (а)

сгорания

3

40

 

35,9

 

 

 

 

 

 

 

 

 

 

 

 

 

 

 

 

 

 

 

 

 

 

 

33,4

 

 

 

 

 

 

 

 

 

 

 

 

 

 

 

 

 

 

 

МДж/м

 

 

 

 

30,9

 

 

 

 

 

 

 

 

 

 

 

 

 

 

 

 

 

30

 

 

 

 

 

 

 

23,8 21,2

19,3

 

 

 

 

 

 

 

 

 

 

 

 

 

 

 

 

 

 

 

 

 

 

 

 

 

 

 

 

 

 

 

 

 

 

26,4

 

 

 

 

 

 

 

 

 

 

 

 

 

 

 

 

 

 

 

 

 

 

 

 

 

 

 

 

 

 

 

 

 

 

 

 

20

 

 

 

 

 

 

 

 

 

 

 

 

 

 

 

 

 

 

 

 

 

 

 

 

 

 

 

 

 

 

 

 

 

 

 

 

 

 

 

 

 

 

 

 

 

 

 

 

 

 

 

 

 

 

 

 

 

 

 

 

 

 

 

 

 

 

 

 

 

 

 

 

 

 

 

 

 

 

 

 

 

 

 

 

 

 

 

 

 

17,1

 

 

 

 

 

 

 

Теплота

смеси,

 

 

 

 

 

 

 

 

 

 

 

 

 

 

15,8

 

 

 

 

 

 

 

 

 

 

 

 

 

 

 

 

 

 

 

 

 

 

13,3

 

 

 

 

 

 

 

 

 

 

 

 

 

 

 

 

 

 

 

 

 

 

 

 

 

 

 

 

 

 

 

 

 

 

 

 

 

 

 

 

 

 

 

 

 

 

 

10,8

 

 

 

10

 

 

 

 

 

 

 

 

 

 

 

 

 

 

 

 

 

 

 

 

 

 

 

 

 

 

 

 

 

 

 

 

 

 

 

 

 

 

 

 

 

 

 

 

 

 

 

 

 

0

 

 

 

 

 

 

 

 

 

 

 

 

 

 

 

 

 

 

 

 

 

 

 

 

 

10

 

20

30

40

50

60

70

80

90

100

 

 

 

 

 

 

Объемная доля Н2, %

и теплоты сгорания (б) от объемной доли водорода

ская вязкость водорода при нормальных условиях составляет 91,05 против 14,7 сСт у метана, являющегося основой природного газа. Вследствие большей кинематической вязкости метановодородной смеси происходит рост потерь давления в трубопроводе, что влечет за собой необходимость создания больших избыточных давлений на компрессорных станциях для уже построенных трубопроводов, либо уменьшение расстояния между компрессорами для проектируемых трубопроводных систем.

С точки зрения взрывоопасности смеси метана с водородом, необходимо понимать, как изменяется область воспламенения такого газа с увеличением объемной доли H2. Как видно из рис.4, б, на котором представлены зависимости нижнего (НКПР) и верхнего (ВКПР) концентрационных пределов распространения пламени, с увеличением доли водорода в смеси увеличивается и область воспламенения. При этом НКПР изменяется незначительно, тогда как ВКПР растет с 15

 

 

 

 

 

 

 

 

 

 

 

 

 

 

 

 

 

 

 

 

 

 

 

 

 

 

 

 

 

 

 

 

 

 

 

 

 

 

 

 

 

 

 

 

 

 

 

 

 

 

 

 

до 74 % в смеси с воздухом в качестве

а

2500

 

 

 

 

 

 

 

 

 

 

 

 

 

 

 

 

 

 

 

 

 

 

 

 

 

 

 

 

 

 

 

 

 

 

 

 

 

 

 

 

 

 

 

 

 

 

 

окислителя. Смесь с концентрацией го-

 

 

 

 

 

 

 

 

 

 

 

 

 

 

 

 

 

 

 

 

 

 

 

 

 

 

 

 

 

 

 

 

 

 

 

 

 

 

 

 

 

 

 

 

 

2320

 

рючего газа, входящей в область воспла-

 

 

 

 

 

 

 

 

 

 

 

 

 

 

 

 

 

 

 

 

 

 

 

 

 

 

 

 

 

 

 

 

 

 

 

 

 

 

 

 

 

 

 

 

 

 

 

 

 

 

 

 

 

 

 

 

 

 

 

 

 

 

 

 

 

 

 

 

 

 

 

 

 

 

 

 

 

 

 

 

 

 

 

 

 

 

 

 

 

 

 

 

 

кДж

2000

 

 

 

 

 

 

 

 

 

 

 

 

 

 

 

 

 

 

 

 

 

 

 

 

 

 

 

 

 

 

 

 

 

 

 

 

 

 

 

 

 

 

 

 

 

 

 

менения, является взрывоопасной. Чем

 

 

 

 

 

 

 

 

 

 

 

 

 

 

 

 

 

 

 

 

 

 

 

 

 

 

 

 

 

 

 

 

 

 

 

 

 

 

 

 

 

 

 

 

 

 

 

 

 

 

шире диапазон области воспламенения и

1500

 

 

 

 

 

 

 

 

 

 

 

 

 

 

 

 

 

 

 

 

 

 

 

 

 

 

 

 

 

 

 

 

 

 

 

 

 

 

 

1364

 

 

 

 

 

 

,

 

 

 

 

 

 

 

 

 

 

 

 

 

 

 

 

 

 

 

 

 

 

 

 

 

 

 

 

 

 

 

 

 

 

 

 

 

 

 

 

 

 

 

 

 

ниже НКПР, тем более взрывоопасен го-

Энергия,

 

 

 

 

 

 

 

 

 

 

 

 

 

 

 

 

 

 

 

 

 

 

 

 

 

 

 

 

 

 

 

 

 

 

 

 

 

 

 

 

 

 

 

 

 

 

 

 

 

 

1000

 

 

 

 

 

 

 

 

 

 

 

 

 

 

 

 

 

 

 

 

 

 

 

 

 

 

 

 

 

 

 

 

 

 

 

963

 

 

 

 

 

 

 

 

 

 

рючий газ.

 

 

 

 

 

 

 

 

 

 

 

 

 

 

 

 

 

 

 

 

 

 

 

 

 

 

 

 

 

 

 

 

 

743

 

 

 

 

 

 

 

 

 

 

 

 

 

 

 

 

 

 

 

 

 

 

 

 

 

 

 

 

 

 

 

 

 

 

 

 

 

 

 

 

 

 

 

 

 

604

 

 

 

 

 

 

 

 

 

 

 

 

 

 

 

Как альтернатива трубопроводному

 

 

 

 

 

 

 

 

 

 

 

 

 

 

 

 

 

 

 

 

 

 

 

 

 

 

 

 

 

 

 

 

 

 

 

 

 

 

 

 

 

 

 

 

 

 

 

 

 

 

 

 

 

 

 

 

 

 

 

 

 

 

 

 

 

 

 

 

 

 

 

 

 

 

 

507

 

 

 

 

 

 

 

 

 

 

 

 

 

 

 

 

 

 

 

 

 

 

 

 

 

 

 

 

 

 

 

 

 

 

 

 

 

 

 

 

437

 

 

 

 

 

 

 

 

 

 

 

 

 

 

 

 

 

 

 

 

 

 

 

 

 

 

 

 

 

 

 

 

 

 

 

 

 

 

 

 

 

 

 

 

 

 

 

 

 

 

 

 

 

 

 

 

 

 

 

 

500

 

 

 

 

 

 

 

 

 

 

 

 

340

 

 

382

 

 

 

 

 

 

 

 

 

 

 

 

 

 

 

 

 

 

 

 

 

 

 

 

 

транспорту рассматривается технология

 

 

 

 

 

 

 

 

 

 

 

 

 

 

 

 

 

 

 

 

 

 

 

 

 

 

 

 

 

 

 

 

 

 

 

 

 

 

 

 

 

 

 

 

 

 

 

 

 

 

 

304

 

 

 

 

 

 

 

 

 

 

 

 

 

 

 

 

 

 

 

 

 

 

 

 

 

 

 

 

 

274

 

 

 

 

 

 

 

 

 

 

 

 

 

 

 

 

 

 

 

 

 

 

 

 

 

 

 

 

 

 

 

 

 

 

 

 

 

 

 

 

 

 

 

 

 

 

 

 

 

 

 

 

 

 

 

 

 

 

 

 

 

 

 

 

 

 

 

 

 

 

 

 

 

 

 

 

 

 

 

 

 

 

 

 

 

 

 

 

 

 

 

 

 

 

 

 

 

 

 

 

 

 

 

 

 

 

 

 

 

 

 

 

 

 

 

 

 

 

 

 

 

 

 

 

 

 

 

 

 

 

 

 

 

 

 

 

 

 

 

 

 

 

 

 

 

 

 

 

 

 

 

 

 

 

 

 

 

 

 

 

 

 

 

 

 

 

 

 

 

 

 

 

 

 

 

 

 

 

 

 

 

 

 

 

 

 

 

 

 

 

 

 

 

 

 

 

 

 

 

 

 

 

 

 

 

 

 

 

 

 

 

 

 

 

 

 

 

 

 

 

 

 

0

 

 

 

 

 

 

 

 

 

 

 

 

 

 

 

 

 

 

 

 

 

 

 

 

 

 

 

 

 

 

 

 

 

 

 

 

 

 

 

 

 

 

 

 

 

 

 

сжижения водорода по аналогии со сжи-

 

 

 

 

 

 

 

 

 

 

 

 

 

 

 

 

 

 

 

 

 

 

 

 

 

 

 

 

 

 

 

 

 

 

 

 

 

 

 

 

 

 

 

 

 

 

 

 

 

 

 

 

 

 

 

0

 

 

 

10 20

 

 

30

 

40

50 60 70

 

80

 

 

90

 

 

100

женным природным газом, что позволяет

 

 

 

 

 

 

 

 

 

 

 

 

 

 

 

 

 

 

 

 

 

 

Объемная доля Н2, %

 

 

 

 

 

 

 

 

 

 

 

 

диверсифицировать рынки сбыта и упро-

б

 

 

 

 

 

 

 

 

 

 

 

 

 

 

 

 

 

 

 

 

 

 

 

 

 

 

 

 

 

 

 

 

 

 

 

 

 

 

 

 

 

 

 

 

 

 

 

 

 

 

стить процесс хранения. Метан сжижа-

 

 

80

 

 

 

 

 

 

 

 

 

 

 

 

 

 

 

 

 

 

 

 

 

 

 

 

 

 

 

 

 

 

 

 

 

 

 

 

 

 

 

 

 

 

 

 

 

 

 

ется при атмосферном давлении и тем-

%

 

 

 

 

 

 

 

 

 

 

 

 

 

 

 

 

 

 

 

 

 

 

 

 

 

 

 

 

 

 

 

 

 

 

 

 

 

 

 

 

 

 

 

 

 

 

 

74

 

 

 

 

 

 

 

 

 

 

 

 

 

 

 

 

 

 

 

 

 

 

 

 

 

 

 

 

 

 

 

 

 

 

 

 

 

 

 

 

 

 

 

 

 

 

 

 

 

70

 

 

 

 

 

 

 

 

 

 

 

 

ВКПР

 

 

 

 

 

 

 

 

 

 

 

 

 

 

 

 

 

 

 

 

 

 

 

 

 

 

 

 

 

 

 

пературе ниже –161,5 °С, превращаясь в

воздухомс,

 

 

 

 

 

 

 

 

 

 

 

 

 

 

 

 

 

 

 

 

 

 

 

 

 

 

 

 

 

 

 

 

 

 

 

 

 

 

 

 

 

 

 

40

 

 

 

 

 

 

 

 

 

 

 

 

 

 

 

 

 

 

 

 

 

 

 

 

 

 

 

 

 

 

 

 

 

 

34,5

 

 

 

 

 

 

 

 

 

 

 

 

газообразной формы. Водород сжижает-

 

 

60

 

 

 

 

 

 

 

 

 

 

 

 

НКПР

 

 

 

 

 

 

 

 

 

 

 

 

 

 

 

 

 

 

 

 

 

 

 

 

53,6

 

 

 

 

 

 

жидкость с плотностью 415 кг/м3,

 

 

 

 

 

 

 

 

 

 

 

 

 

 

 

 

 

 

 

 

 

 

 

 

 

 

 

 

 

 

 

 

 

 

 

 

 

 

 

 

 

 

 

 

 

 

 

 

 

 

 

 

 

 

 

 

 

 

 

 

 

 

 

 

 

 

 

 

 

 

 

 

 

 

 

 

 

 

 

 

 

 

 

 

 

 

 

 

 

 

 

 

 

 

имеющую объем в 600 раз меньше своей

 

 

50

 

 

 

 

 

 

 

 

 

 

 

 

 

 

 

 

 

 

 

 

 

 

 

 

 

 

 

 

 

 

 

 

 

 

 

 

 

 

 

 

 

 

 

 

 

 

 

 

 

 

 

 

 

 

 

 

 

 

 

 

 

 

 

 

 

 

 

 

 

 

 

 

 

 

 

 

 

 

 

 

 

 

 

 

 

 

 

 

 

42

 

 

 

 

 

 

 

 

 

 

 

смеси

 

 

 

 

 

 

 

 

 

 

 

 

 

 

 

 

 

 

 

 

 

 

 

 

 

 

 

 

 

 

 

 

 

 

 

 

 

 

 

 

 

 

 

 

 

 

 

 

 

 

ся при атмосферном давлении и темпе-

 

 

 

 

 

 

 

 

 

 

 

 

 

 

 

 

 

 

 

 

 

 

 

 

 

 

 

 

 

 

 

 

 

 

 

 

 

 

 

 

 

 

 

 

 

 

 

 

 

 

 

 

 

 

 

 

 

 

 

 

 

 

 

 

 

 

 

 

 

 

 

 

 

 

 

 

 

 

 

 

 

29,3

 

 

 

 

 

 

 

 

 

 

 

 

 

 

 

 

 

30

 

 

 

 

 

 

 

 

 

 

 

 

 

 

 

 

 

 

 

 

 

 

 

 

 

 

25,5

 

 

 

 

 

 

 

 

 

 

 

 

 

 

 

 

 

 

 

 

 

 

 

 

 

 

 

 

 

 

 

 

 

 

 

 

 

 

 

 

 

 

 

 

 

 

 

 

 

 

 

 

 

 

 

 

 

 

 

 

 

 

 

 

 

 

 

 

 

 

 

 

 

18,3

20,2

 

 

22,5

 

 

 

 

 

 

 

 

 

 

 

 

 

 

 

 

 

 

 

 

 

 

ратуре −252,87 °C, уменьшаясь в объеме

 

 

 

 

 

 

 

 

 

 

 

 

 

 

 

 

 

 

 

 

 

 

 

 

 

 

 

 

 

 

 

 

 

 

 

 

 

 

 

 

 

 

 

 

 

 

 

 

 

 

 

 

 

 

20

 

 

 

 

 

 

16,7

 

 

 

 

 

 

 

 

 

 

 

 

 

 

 

 

 

 

 

 

 

 

 

 

 

 

 

 

 

 

 

 

 

 

 

 

 

 

 

 

 

 

 

 

 

 

 

 

 

 

 

 

 

 

 

 

 

 

 

 

 

 

 

 

 

 

 

 

 

 

 

 

 

 

 

 

 

 

 

 

 

 

 

 

 

 

Доля

 

15,4

 

 

 

 

 

 

 

 

 

 

 

 

 

 

 

 

 

 

 

 

 

 

 

 

 

 

 

 

 

 

 

 

 

 

 

 

 

 

в 848 раз. Следует учитывать, что чем

 

 

 

 

 

 

 

 

 

 

 

 

 

 

 

 

 

 

 

 

 

 

 

 

 

 

 

 

 

 

 

 

 

 

 

 

 

 

 

 

 

 

 

 

 

 

 

 

 

 

 

 

 

 

 

 

 

 

 

 

 

 

 

 

 

 

 

 

 

 

 

 

 

 

 

 

 

 

 

 

10

 

 

 

 

 

 

 

 

 

 

 

 

 

 

 

 

 

 

 

 

 

 

 

 

 

 

 

 

 

 

 

 

 

 

 

 

 

 

 

 

 

 

 

 

 

 

 

 

 

 

 

 

 

 

 

 

 

 

 

 

 

 

 

 

 

 

 

 

 

 

 

 

 

 

 

 

 

 

 

 

 

 

 

 

 

 

 

 

 

 

 

 

 

 

 

 

 

 

 

 

 

 

 

 

 

 

 

4,35

 

4,31

4,27

 

4,23

 

4,19

 

4,15

 

 

4,11

 

4,07

 

4,03

4

 

 

 

 

 

 

 

 

 

 

 

 

 

 

 

 

 

ближе температура вещества к абсолют-

 

 

0

 

 

 

 

 

 

 

 

 

 

 

 

 

 

 

 

 

 

 

 

 

 

 

 

 

 

 

 

 

 

 

 

 

 

 

 

 

 

 

 

 

 

 

 

 

 

 

 

 

 

 

0

 

 

 

 

 

 

 

 

 

0,2

 

 

 

 

 

 

 

0,4

 

 

 

 

0,6

 

 

 

 

 

0,8

 

 

 

 

1

 

ному нулю, тем больше в нем начинают

 

 

 

 

 

 

 

 

 

 

 

 

 

 

 

 

 

 

 

 

 

 

 

 

 

 

 

 

 

 

 

 

 

 

 

 

 

 

 

 

 

 

 

 

 

 

 

 

 

 

 

 

 

 

Объемная доля Н2, %

 

 

 

 

 

 

 

 

 

 

 

 

проявляться квантовые свойства, такие

 

 

Рис.4. Зависимость затрат энергии на сжатие 1 кг

 

 

 

 

как сверхтекучесть, сверхпроводимость

метано-водородной смеси давлением 1 МПа (a), изменение

и др., требующие дополнительного изу-

 

 

области воспламенения смеси метана с водородом (б)

 

 

 

 

чения для каждого контактирующего с

432

 

 

 

 

 

 

 

 

 

 

 

 

 

 

 

 

 

 

 

 

 

 

 

 

 

 

 

 

 

 

 

 

 

 

 

 

 

 

 

 

 

 

 

 

 

 

 

 

 

 

 

 

 

 

 

 

 

 

 

 

 

 

 

 

 

 

 

 

 

 

 

 

 

 

 

 

 

 

 

 

 

 

 

 

 

 

 

 

 

 

 

 

 

 

 

 

 

 

 

 

 

 

 

 

СПБГУАП группа 4736 Контакты https://new.guap.ru/i03/contacts

DOI: 10.31897/PMI.2020.4.5

ЗапискиГорного института. 2020. Т. 244. С. 428-438

В.С.Литвиненко, П.С.Цветков, М.В.Двойников, Г.В.Буслаев

 

жидким водородом материала. Плотность жидкого водорода составляет порядка 70 кг/м3, что в 5,9 раза меньше, чем плотность сжиженного природного газа, а это значит, что при одинаковых условиях в одном и том же объеме резервуара можно хранить или транспортировать почти в 5,9 раз больше сжиженного природного газа, чем жидкого водорода.

Сложность при транспорте и хранении заключается еще и в том, что при хранении жидкого водорода в специальных термически изолированных контейнерах трудно поддерживать его стабильность при той низкой температуре, которая требуется для сохранения в жидком состоянии. При этом за счет испарения растет давление в резервуаре до тех пор, пока не сработает предохранительный клапан, сбрасывающий давление. Хотя негативного экологического эффекта эта процедура не несет, но она приводит к существенным потерям водорода в случае длительного хранения.

Нельзя игнорировать и тот факт, что водород обладает чрезвычайно высокой проницаемостью (диаметр молекулы 2,47∙10–8 см), его молекулы быстрее молекул всех других газов распространяются в среде другого вещества и проходят практически через любые металлы. Из-за высокой проницаемости водорода предъявляются жесткие требования к сварным швам и герметичности соединений. Способность водорода проникать через нагретый металл создает трудности и опасности в работе с ним при высоких температурах и давлениях. Так как проницаемость водорода прямо пропорциональна перепаду давлений, температуре и времени, то при длительном хранении сжатый водород способен улетучиваться даже из герметичных резервуаров.

Таким образом, ключевые физические и объемные характеристики свидетельствуют о том, что транспортировка водорода по трубопроводным системам, а также специфика его хранения, не только существенно снижает общий КПД, но и ведет к увеличению взрывоопасности такой инфраструктуры.

Химические процессы воздействия водорода на металлы. Существуют и другие пробле-

мы, среди которых одной из наиболее критичных является взаимодействие водорода с металлом трубопровода [19].

Скопление даже незначительных объемов водорода в ловушках кристаллических решеток, а также на границах неметаллических включений вызывает рост внутренних напряжений в стали и, как следствие, провоцирует образование в ней трещин и последующее разрушение. При этом условий для образования свободного водорода в газонаполненных трубопроводах достаточно много, в том числе и из-за влияния особых термодинамических факторов.

С точки зрения электрохимии процесс сульфидного коррозионного растрескивания инициируется продуктами катодного восстановления ионов водорода (рис.5, a). Общепринятый механизм углекислотной коррозии связан с рядом электрохимических реакций (рис.5, б), протекающих на поверхности стали.

В литературе [13, 27] рассматривается взаимосвязь парциального давления водорода в транспортируемой смеси с процессом водородного охрупчивания. Как видно из таблицы, при увеличении давления смеси и объемной доли водорода увеличивается и парциальное давление H2, что приводит к ускорению скорости диффузии водорода в сталь.

Водород в глобальной энергетической повестке. Роль сырьевых ресурсов и инновацион-

ных технологии их добычи, переработки и потребления в рамках устойчивого развития мировой экономики является недооцененной. Так, например, концепцией общей ценности, обозначенной в рамках отраслевой матрицы целей устойчивого развития, сырьевые отрасли экономики поставлены в один ряд с прочими отраслями, без учета специфических межотраслевых связей [10].

На этом фоне сырьевой сектор мировой экономи-

Парциальное давление водорода в смеси

ки испытывает проблемы с доступом к инвестицион-

ным ресурсам, а также влияние дискриминационной

в зависимости от его объемной доли

 

 

 

 

 

 

 

 

 

 

 

 

политики, не позволяющей в полной мере реализовать

Давление смеси,

 

Объемная доля водорода в смеси, %

стратегические инициативы по поиску путей перехода

МПа

 

20

 

40

 

60

 

80

 

100

на путь устойчивого развития [3, 4].

 

 

 

 

 

 

 

 

 

 

 

 

 

70,0

 

14

 

28

 

42

 

56

 

70

Одновременно с этим, многими странами ставит-

 

 

 

 

 

6,0

 

1,2

 

2,4

 

3,6

 

4,8

 

6

ся задача достижения углеродной нейтральности, что

1,1

 

0,22

 

0,44

 

0,66

 

0,88

 

1,1

требует полного отказа от сжигания углеводородных

0,1

 

0,02

 

0,04

 

0,06

 

0,08

 

0,1

 

 

 

 

 

433