Более сложным, трудоемким и дорогим является получение внешней информации. Часть ее содержится в рекламных проспектах, прайс-листах, материалах периодической печати и специальной литературе. Эти данные более надежны по сравнению с получаемыми в сфере реализации путем проведения специальных выборочных обследований по изучению мнения потребителей о цене и качестве продукции. Однако информацию, получаемую из выборочных обследований, трудно чем-либо заменить, если предприятие хочет учесть желание покупателей для увеличения объема продаж путем улучшения свойств продукции. С этой целью можно использовать опрос продавцов продукции и покупателей или проводить анкетирование населения, которое в процессе обработки данных необходимо разбить на группы (классы). Это позволит знать мнение различных социальных, возрастных и других групп населения о продукции предприятия с использованием типической выборки для получения информации.
При сборке таких данных по ограниченному числу потребителей, особенно при малой выборке, удобно построение диаграмм рассеивания, позволяющих изучить зависимость между парами переменных, например ценой и внешним оформлением, упаковкой товара. Этими переменными могут быть:
а) характеристика качества или влияющий на нее фактор;
б) две различные характеристики качества;
в) два фактора, влияющих на одну характеристику качества.
Целесообразно хотя бы одной из переменных брать показатель, выражающий затраты на качество, создание или поддержание какого-либо свойства продукции или цену на нее, т.е. стоимостную величину.
Диаграмма рассеивания строится в несколько этапов. На первом в таблице записывают собираемые данные, между которыми изучается зависимость.
На втором строится шкала значений показателей путем деления разности между их максимальной и минимальной величинами на желаемое (примерно одинаковое) число частей. На оси х откладывают значения факторного, а на оси у - значения результативного признака.
На третьем этапе строят диаграмму рассеивания путем нанесения точек, полученных в результате наблюдения, на график.
На четвертом заключительном этапе вносят адресные: название диаграммы, время наблюдения, имя исполнителя и другие необходимые сведения.
Данные диаграммы рассеивания позволяют сделать предварительные выводы о взаимосвязи исследуемых переменных (например, о предпочтениях покупателей относительно качества упаковки, обеспечивающей сохранность изделия, и цены изделия).
Можно привести следующий пример. Предположим, предприятие выясняет, как влияет качество упаковки часов на спрос на данную продукцию. Для потребителя упаковка является качественным признаком в отношении как внешнего оформления, так и сохранности товара. Для производителя же это еще и количественный показатель, выраженный некоторой суммой затрат. Для удобства сбора данных обозначим каждый вид упаковки номером:
- продажа без заводской упаковки (завертывание в бумагу в магазине);
- мягкий пакет;
- фирменный мягкий пакет;
- простая картонная коробка;
- пластиковый футляр;
- коробка фирменная, подарочная.
Каждому виду упаковки соответствует
определенная цена товара (цена упаковки покупателю не сообщается и воспринимается
им как разность между последующей и предыдущей ценами изделия в зависимости от
оформления). Она колеблется в интервале от 4 до 9 денежных единиц с интервалом
в 0,5 денежной единицы. Результаты опроса 30 покупателей, который был реально
проведен, приведены в таблице 1:
Таблица 1
Данные опроса покупателей магазина «Подарки» об упаковке и цене часов «Электроника»
Следует обратить внимание, что цена подарочной коробки не называлась и максимальная цена фактически составила 8 денежных единиц.
По полученным данным можно построить
диаграмму рассеивания (квадратами выделены те точки, значение которых
встречалось дважды).
Рис.3. Диаграмма рассеивания для
вида упаковки и цены часов «Электроника»
Данные диаграммы рассеивания позволяют сделать предварительные выводы о взаимосвязи исследуемых переменных; в нашем примере - о предпочтениях покупателя относительно качества упаковки, обеспечивающей сохранность изделия, его эстетического вида, и цены изделия. Предпочтения отданы надежной упаковке при умеренной цене, верхний уровень которой в ответах не назван, что должно обратить на себя внимание предприятия-производителя как сигнал о завышении в глазах покупателя цены. Также можно сделать предварительный вывод о том, что, поскольку точки расположены от нижнего левого угла на данной диаграмме в правый верхний, зависимость между этими двумя показателями прямая.
Таким образом, несмотря на
разносторонность информации, характеризующих затраты на качество продукции, и
факторы, влияющие на него и на подобные расходы, необходимо и вполне возможно
уже на этапе формирования данных использовать наглядные формы их представления
в сочетании с методиками первичного анализа: группировкой, графическим анализом
и т.д. Это значительно ускоряет процесс анализа и облегчает дальнейшее
использование его в целях статистико-математических методов.
3. Методы анализа затрат на качество
В зависимости от целей, задач анализ
затрат на качество и возможностей получения необходимых для его осуществления
данных аналитические методы существенно различаются. Влияет на это различие и
прохождение продукцией определенного этапа деятельности предприятия, и ее место
в цепочке формирования затрат в конкретный момент.
.1 Метод функционально-стоимостного
анализа
На этапах проектирования, технологического планирования, подготовки и освоения производства целесообразно применение функционально-стоимостного анализа (ФСА). Это - метод системного исследования функций отдельного изделия или технологического, производственного, хозяйственного процесса, структуры, ориентированный на повышение эффективности использования ресурсов путем оптимизации соотношения между потребительскими свойствами объекта и затратами на его разработку, производство и эксплуатацию.
Основными принципами применения ФСА являются:
функциональный подход к объекту исследования;
системный подход к анализу объекта и выполняемых им функций;
исследование функций объекта и их материальных носителей на всех стадиях жизненного цикла изделия;
соответствие качества и полезности функций продукции затратам на них;
коллективное творчество.
Выполняемые изделием и его составляющими функции можно сгруппировать по ряду признаков. По области проявления функции подразделяются на внешние и внутренние. Внешние - это функции, выполняемые объектом при его взаимодействии с внешней средой. Внутренние - функции, которые какие-либо элементы объекта и их связи в границах объекта.
По роли в удовлетворении потребностей среди внешних функций различают главные и второстепенные. Главная функция отражает главную цель создания объекта, а второстепенная - побочную.
По роли в рабочем процессе внутренние функции можно подразделить на основные и вспомогательные. Основная функция подчинена главной и обуславливает работоспособность объекта. С помощью вспомогательных реализуются главные, второстепенные и основные функции.
По характеру проявления все перечисленные функции делятся на номинальные, потенциальные и действительные. Номинальные задаются при формировании, создании объекта и обязательны для выполнения. Потенциальные отражают возможность выполнения объектом каких-либо функций при изменении условий его эксплуатации. Действительные - это фактически выполняемые объектом функции.
Все функции объекта могут быть полезными и бесполезными, а последние нейтральными и вредными.
Цель функционально-стоимостного
анализа состоит в развитии полезных функций объекта при оптимальном соотношении
между их значимостью для потребителя и затратами на их осуществление, т.е. в
выборе наиболее благоприятного для потребителя и производителя, если речь идет
о производстве продукции, варианта решения задачи о качестве продукции и ее
стоимости. Математически цель ФСА можно записать следующим образом:
где ПС - потребительная стоимость анализируемого объекта, выраженная совокупностью его потребительных свойств, а З - издержки на достижение необходимых потребительных свойств.
Функционально-стоимостной анализ проводится в несколько этапов.
На первом, подготовительном, этапе уточняют объект анализа - носитель затрат. Это особенно важно при ограниченности ресурсов производителя. Например, выбор и разработка или усовершенствование продукции, выпускаемой в массовом порядке, может принести предприятию значительно больше выгод, чем более дорогого изделия, производимого мелкосерийно. Данный этап завершается, если найден вариант с низкой по сравнению с другими себестоимостью и высоким качеством.
На втором, информационном, этапе собираются данные об исследуемом объекте (назначение, технико-экономические характеристики) и составляющих его блоках, деталях (функции, материалы, себестоимость). Они идут несколькими потоками по принципу открытой информационной сети. В сеть информация по улучшению качества изделия и снижению затрат на его производство поступает из конструкторских, экономических подразделений предприятия и от потребителя к руководителям соответствующих служб. Оценки и пожелания потребителей аккумулируются в маркетинговом отделе. В процессе работы исходные данные обрабатываются, преобразуясь в соответствующие показатели качества и затрат, проходя все заинтересованные подразделения, и поступают к руководителю проекта.
А - главные, основные, полезные;
В - второстепенные, вспомогательные, полезные;
С - второстепенные, вспомогательные, бесполезные.
Одновременно отсекаются прежние
затраты. Использование табличной формы распределения функций облегчает такой
анализ:
Таблица 2
Распределение служебных функций изделия Х по принципу АВС
В итоговые графы заносятся данные о количестве второстепенных, вспомогательных, бесполезных функций по деталям, что позволяет сделать предварительный вывод об их необходимости.
Далее можно построить таблицу стоимости деталей по смете или наиболее важным ее статьям и оценить весомость функций каждой детали во взаимосвязи с затратами на их обеспечение. Это позволит выявить возможные направления снижения издержек путем внесения изменений в конструкцию изделия, технологию производства, замены части собственного производства деталей и узлов полученными комплектующими, замены одного вида материалов другим, более дешевым или экономичным в обработке, смена поставщика материалов, размера их поставок и т.д.
Группировка затрат на функции по
факторам производства позволит выявить первоочередность направлений снижения
себестоимости изделия. Такие направления целесообразно детализировать, ранжируя
по степени значимости, определяемой экспертным путем, и сопоставляя с
затратами, выбирать пути удешевления продукции. Для этого можно составить
таблицу:
Таблица 3
Сопоставление коэффициентов значимости функций и их стоимости
Сопоставив удельный вес затрат на функцию в общих затратах и значимость соответствующей ему функции, можно вычислить коэффициент затрат на каждую функцию. Оптимальным считается Кз/ф 1. Кз/ф < 1 желательнее, чем Кз/ф > 1. При существенном превышении данного коэффициента единицы необходимо искать пути удешевления данной функции (в нашем примере это вторая функция).
Результатом проведенного ФСА являются варианты решения, в которых необходимо сопоставить совокупные затраты на изделия, являющиеся суммой поэлементных затрат, с какой-либо базой. Этой базой могут, например, служить минимально возможные затраты на изделие. Теория ФСА предлагает исчислять экономическую эффективность ФСА, которая показывает, какую долю составляет снижение затрат в их минимально возможной величине:
где КФСА - экономическая эффективность ФСА (коэффициент снижения текущих затрат); Ср - реально сложившиеся совокупные затраты; Сф.н. - минимально возможные затраты, соответствующие спроектированному изделию.
На четвертом, исследовательском, этапе оцениваются предлагаемые варианты разработанного изделия.
На пятом, рекомендательном, этапе
отбираются наиболее приемлемые для данного производства варианты разработки и
усовершенствования изделия. С этой целью можно рекомендовать построение
матричной таблицы:
Таблица 4
Таблица решений по вариантам выбора изделий для производства
С учетом значимости функции изделия,
его узлов, деталей и уровня затрат посредством ценообразования, основываясь на
знании спроса на продукцию, определяется уровень ее рентабельности. Все это в
совокупности служит цели принятия решения о выборе к производству конкретного
изделия или направлений и масштаба его усовершенствования.
.2 Методы технического нормирования
Существенную помощь в определении и анализе затрат на качество продукции могут оказать методы технического нормирования. Они основаны на расчете подетальных норм и нормативов материальных ресурсов (сырья, покупных комплектующих изделий и других видов материалов), расчете трудоемкости и иных затрат, включаемых в себестоимость продукции в соответствии с проектными размерами, конкретной технологии ее изготовления, хранения и транспортировки, а также затрат на гарантийное и сервисное обслуживание. Для их расчета используются методы микроэлементного нормирования, нормативно-справочные материалы. Методы технического нормирования позволяют достаточно точно определить затраты как на новое изделие по его составляющим, так и на усовершенствование продукции.
Если предприятие переходит к
производству новой продукции, имевшей ранее аналог по потребительскому
назначению и свойствам, то затраты на качество (Зк) можно определить разностью
между затратами на старую (Зст) и новую (Зн) продукцию:
Зк = Зст - Зн , (3)
Если предприятие усовершенствует качественные параметры производимого ранее изделия, то затраты на качество можно определить прямым счетом по соответствующим нормам и направлениям.
Степень взаимосвязи между
какими-либо характеристиками качества, имеющими количественное выражение, и
затратами на него или ценой изделия в целом как формой его стоимости, в которой
основной удельный вес занимают затраты, позволяет определить коэффициент
корреляции. Его можно исчислить по формуле:
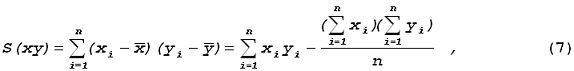
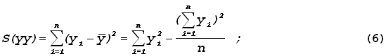
где
где n - число пар данных; S(xy) называется ковариацией; x и y - два исследуемых показателями.
Коэффициент корреляции может
принимать значения от -1 до +1. При r, близком к ¦1¦, можно говорить о высокой
степени тесноты связи между исследуемыми переменными и напротив: при r, близком
к 0, корреляция между ними выражена слабо. Если r = ¦1¦, все точки на диаграмме
рассеивания будут лежать на одной прямой. Если же r = 0, корреляционная связь
между факторным и результативным показателями отсутствует. Знак «+» или «-»
говорит о направлении связи - прямом или обратном. По формулам (4) - (7) и
данным табл. 1 можно найти коэффициент корреляции. Дополнительные необходимые
расчеты приведены в табл. 5. Тогда, подставив полученные значения, будем иметь: