Материал: Анализ уровня образования населения как фактора повышения благосостояния нации

Внимание! Если размещение файла нарушает Ваши авторские права, то обязательно сообщите нам

Так же характерной чертой образовательной услуги является ее существенная цена. На данный факт влияет высокий уровень квалификации исполнителей, необходимость материально-технического и информационного обеспечения процесса обучения.

Образовательная услуга характеризуется двойственностью своей полезности. С одной стороны она полезна для отдельного субъекта потребителя услуги, с другой стороны - она полезна для общества. Полезность для отдельного субъекта тоже трактуется двояко: с одной стороны, она способствует интеллектуальному обогащению личности, повышает ее культурный и нравственный уровень. А с другой стороны - это эффективное средство для получения материальных выгод, увеличения доходов.

Помимо этого, дуализм образовательной услуги заключается еще и в том, что она, с одной стороны, имеет свойство общественного блага. Чистое общественное благо - это всеобщее достояние, производство и распределение которого относится к общественному сектору экономики и осуществляется за счет средств общества и в интересах всех его членов.

Но с другой стороны, полностью отнести к общественному благу образовательную услугу нельзя.

Это объясняется тем, что вуз, оказывая платные образовательные услуги, является носителем частных благ, которые имеют свойство исключительности и реализуются на индивидуальной основе. Таким образом, можно сделать вывод, что образовательная услуга является смешанным благом. Двойственность природы образовательных услуг является прямым объяснением ограниченности возможностей коммерциализации и ограниченности использования рыночного механизма регулирования цен в области образовательных услуг.

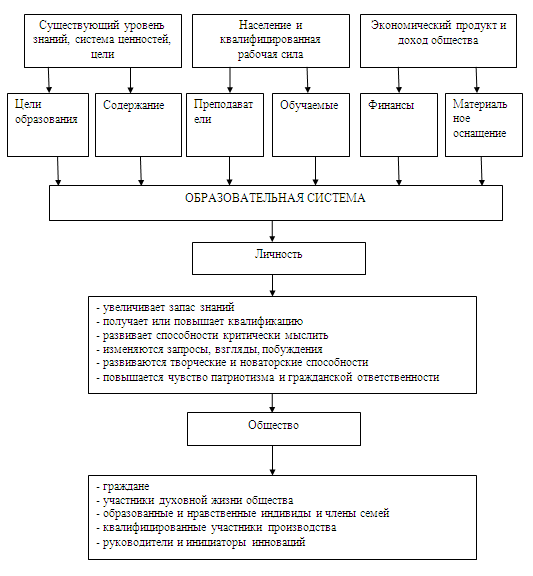
На рынке образовательных услуг основными субъектами экономических отношений являются производители и потребители. Общество и государство в качестве потребителей ожидают развитие экономики страны, рост благосостояния граждан, повешение уровня культуры и образованности, социальной и политической грамотности посредствам обучения и воспитания активных, всесторонне развитых, зрелых членов общества. На рисунке № 1 представлена схема взаимодействия общества и образовательной системы. [9]

Таким образом, можно сделать вывод, что предприятия и организации в качестве потребителей продукции вузов заинтересованы в получении специалистов, которые имеют необходимые профессиональные знания, положительное отношение к своей профессии и которые с минимальными для организации временными и материальными издержками включаются в производственный процесс.

При этом работодатели часто готовы сотрудничать с вузами, с одной стороны, возмещая затраты на подготовку квалифицированных специалистов, а с другой стороны, требуя расширения границ стандартных образовательных программ.

В свою очередь обучаемый в качестве потребителя услуг вуза стремиться к повышению уровня образованности, интеллектуального уровня, для того чтобы быть востребованным на рынке труда, увеличивать свои доходы и повышать социальный статус.

Рис. № 1 Схема взаимодействия общества и образовательной системы


2.3 Экономика знаний - новое направление экономической науки

Интеллектуальную составляющую в экономическом росте исследовало много авторов. Так Л. Туроу оценил состояние мировой экономики, благосостояние стран, компаний и даже отдельных граждан согласно достигнутого ими уровня развития экономики знаний.[17] Е. В. Сафонова сформулировала набор правил, действуя согласно которому, можно подняться на высокий уровень благосостояния в обществе, в котором знания играют определяющую роль. Но ни теоретической модели, ни результатов практического применения, подтверждающего справедливость и эффективность этих правил автор не приводит.[16] Л. Н. Макаров уточнил понимание предмета экономики знаний, проиллюстрировал теоретические положения при помощи примеров из экономки, которые были основаны на данных мировой экономической статистики.[11]

П. Ромер построил теоретическую модель экономического роста, в которой одним из определяющих факторов является определенная оценка уровня развития технологий. Данная модель является вариантом классической модели Кобба-Дугласа и модели Солоу. Заданными переменными на входе являются физический капитал, рабочая сила, человеческий капитал и уровень развития технологий. Для того чтобы описать взаимосвязь между выпуском продукции и переменными предложена система дифференцированных уравнений. Особенность данной модели состоит в том, что человеческий капитал предлагается разделить на две части: капитал, который используется в производстве и капитал, который используется в исследовательском секторе экономики.

Интерес к экономике знаний вызван тем, что обладание знаниями, новыми технологиями, способностью их внедрения в жизнь является определяющим фактором эффективного развития экономики.

Подход с точки зрения экономики знаний полезен также и для оценивания качества жизни населения. Вопрос оценки качества жизни населения и построения ее интегральных индикаторов в экономических исследованиях занимает много места. Данное направление исследований считается достаточно новым и перспективным, так как необходимо согласовывать различные синтетические категории качества жизни населения и ключевые факторы, их определяющие.

Качество жизни населения напрямую зависит от инвестиций государства в развитие прикладных и теоретических исследований в области образования. В связи с этим можно предположить, что если государство ставит перед собой цель повысить уровень развития экономики, а в частности уровень благосостояния населения, то оно должно осуществлять большие инвестиции в НИОКОР. Доказано, что для получения заметных результатов, инвестиции должны составлять 3 - 4% ВВП в год. Такое финансирование не должно носить единовременный характер, его необходимо осуществлять не менее 10 - 12 лет, ежегодно.

Еще одним важным направлением исследований экономики знаний является решение проблемы индивидуального выбора на рынке образовательных услуг. Актуален вопрос учета предпочтений индивида, которые могут сильно отличаться от предпочтений членов его семьи. В данном случае выбор образовательной услуги, образовательного учреждения, профиля образования является результатом коллективного решения, при котором предпочтения и интересы индивида могут учитываться не в полной мере.

В литературе представлены экономико-математические модели, которые имитируют реальные ситуации. Их целью является количественное выражение функции прогресса развития экономики. По мнению В.В. Чекмарева и Е. М. Скаржинской, субъективное восприятие и измерение времени как блага и как производственного фактора применительно к рынку образовательных услуг является последовательным развитием принципа методологического индивидуализма. [16, c. 136] Если предположить, что существует рациональный характер выбора образовательной услуги, то возникает противоречие убеждениям о неполной информированности потребителей об образовательных услугах и о наличии препятствий в процессе сравнения альтернатив. Влияние данных факторов на выбор образовательных услуг приобретает особое значение, так как человек вынужден пользоваться нечеткими оценками: «Образовательное учреждение А скорее всего лучше такого же учреждения В». При этом если происходит незначительное изменение какого-либо из факторов, это может радикально повлиять на выбор поведения и существенно уменьшить число альтернативных вариантов.

Другой подход к уточнению ожидаемого спроса на образовательные услуги представлен в работе Т.К. Екшикеева и А.В. Николаева. [7, c.347] К примеру, существует два образовательных центра. При этом в одном из них А представлен широкий спектр образовательных услуг по доступным ценам, но находится этот центр далеко. Другой образовательный центр представляет более узкий спектр образовательных услуг, цены выше, но находится он ближе. Для того чтобы определить выбор объекта по оказанию образовательной услуги используется гравитационная модель «притягательных центров тяготения» Рейли. Хотя в работе Т.К. Екшикеева и А.В. Николаева она представлена в упрощенном варианте, данная модель может являться хорошей основой для приблизительной оценки распределения спроса на образовательные услуги. (рис. № 2) [17]

Линии безразличия предпочтений в модели Рейли на рис. 4.1. представлены окружностью, на рис. 4.2 - гиперболой. Использование модели Рейли позволяет оценить графически влияние системы предпочтений на распределение спроса на образовательное учреждение в пространстве.

Гравитационная модель «притягательных центров тяготения» Рейли.


Таким образом, можно сделать вывод, что новое направление экономической науки - экономика знаний базируется на утверждении, что достигнуть высокого уровня благосостояния может то общество, в котором знания играют главную роль. Экономика знаний формирует гипотезу о том, что существует плотная зависимость между институциональными показателями развития страны и показателями развития экономики знаний. Данное экономическое направление основывается на экономических моделях, которые имитируют процесс развития экономики образования и выбора индивида.

Заключение

Взаимосвязь уровня образования и уровня доходов населения в национальной экономике очевидна. По оценкам специалистов увеличение продолжительности образования на один год увеличивает ВВП на 5 - 15%. Для развивающихся стран мира отдача от вложений в образование еще выше: в странах Центральной Африки инвестирование в начальное образование обеспечивает рост ВВП на 24%, а в странах с низким доходом в среднем на 23%. Анализируя факторы экономического роста в развитых странах мира, так же, можно сделать вывод, что уровень образования играет значительную роль в повышении доходов населения.

Согласно таблице Э. Денисона, образование определило 14% прироста реального национального дохода в США, то есть образование является одним из источников экономического роста в любом обществе.

Анализ мирового опыта развития системы образования позволяет сделать вывод, что для ее эффективного функционирования необходимы:

децентрализованное и демократичное управление,

многоканальная система финансирования образования,

действенные стимулы и механизмы для привлечения частных инвестиций,

существование системы гарантий доступности всех звеньев образования для населения, а для этого необходимо согласовать центральные и региональные цели и задачи в развитии образования,

развитие системы оценки качества образования,

участие государства в регулировании рынка образовательных услуг и рынка труда,

системная организация образования, взаимосвязанность всех звеньев системы образования в единую системы непрерывного образования.

Анализ состояния образовательных рынков России и его влияние на благосостояние населения показал, что современная российская система образования представлена двумя моделями региональных рынков - монопольной и олигополистической. При этом, доминирует олигополистическая модель. Для того чтобы эффективно функционировать в условиях олигополии региональному вузу необходимо иметь развитую идеологию предпринимательства.

Конкурентоспособность образовательных учреждений и конкурентоспособность услуг, которые они оказывают по подготовке специалистов, напрямую зависят друг от друга. Чем выше конкурентоспособность специалистов, подготовленных в определенном вузе, тем больше они востребованы на рынке труда, а значит и выше доходы таких специалистов, что в свою очередь повышает конкурентоспособность образовательного заведения.

Список используемых источников и литературы

1.Анисимоа А.А, Артемьев Н.В, Тихонова О.Б. Макроэкономика. Учебник. 2011 - 598с.

.Бодровский В.П., Рудокова О.В., Самородова Е.М. Экономика: учебник - М: ИД «Форум»; ИНФРА - М, 2011 - 672с.: ил.

.Большакова Л.Г. Бурая Ю.С. Качественное образование как фактор стабильного социально-экономического развития страны. Электронный ресурс. (kirgteu.com›filemanager/download/899/)

.Владимиров В. Организационная структура российских вузов // Высшее образование в России. - 2001. - №5.

.Гайдар Е. Как менялась организация систем финансирования образования и здравоохранения в Европе и США http: // sps.ru/ id=144212

.Добрынин А.И. Тарасевич Л.С. Экономическая теория. Учебник. 2004 - 544с.

.Екшикеев Т.К. и Николаев А.В. Адаптация модели Рейли для прогнозирования спроса образовательных услуг // Экономика образования. 2005 (1): (материалы журн. «Экономика образования») М., 2006. С. 347

.Ефимова У.Г. Экономика. Уч. пос. МГИУ, 2005 - 368с.

.Кумбс Филипп Г. Кризис образования в современном мире. Системный анализ. - М.: Прогресс, 1970.

.Лукашенко М.А. Высшее учебное заведение на рынке образовательных услуг: актуальные проблемы управления. - М.: Маркет ДС. 2003.

.Макаров В.Л. Экономика знаний: уроки для России: докл. на науч. сес. Общ. собр. РАН // Вестник РАН. 2003. Т. 73, № 5

.Миронова Н.В. Маркетинг различных типов услуг // Маркетинг в России и за рубежом. - 2003. - №4.

.Образование в Российской Федерации. Статистический сборник. - М.: ГУ-ВШЭ, ЦИСН, 2003.

.Попов Е. Услуги образования и рынок // Российский экономический журнал. - 1992. - №6

.Романова И. Б. Диссертация. Обеспечение конкурентоспособности высшего учебного заведения на региональном рынке образовательных услуг: теория и практика, 2006

.Сафонова Е.В. Фактор экономики знаний в социально-экономическом развитии и качестве жизни населения // Экономика и математические методы. 2005. Т. 41 № 4

.Скоробогатова Ю.А. Экономика знаний: теоретические и прикладные аспекты спроса на образовательные услуги//Известия Иркутской государственной академии - 2009 - № 3

.Чекмарев В.В., Скаржинская Е.М. Проблема выбора на рынке образования // Экономика образования. 2004: (материал журн. «Экономика образования») М., 2006 с. 136

.Шиканов С.В. Конкуренция как многоуровневая система оценки состояния образовательного учреждения // Известия Томского политехнического университета. 2008. Т. 313. № 6