Материал: Анализ результатов газогидродинамических исследований скважин сеноманской залежи Комсомольского месторождения

Внимание! Если размещение файла нарушает Ваши авторские права, то обязательно сообщите нам

В пределах Западного купола выделено 15 объектов, в составе которых 25 залежей (14 нефтяных, 5 нефтегазовых и 6 газовых). Эти залежи приурочены к продуктивным пластам: АП9, БП, БП, БП3, БП4, БП51, БП, БП61-2, БП63, БП, БП, БП, БП, ачимовская толща III, Ю2.

По величине запасов месторождение относится к крупным, многопластовым. По строению - к сложным.

Распространение залежей в той или иной части разреза контролируется наличием в разрезе глинистых покрышек, способных удерживать скопления углеводородов. Наиболее крупная по размерам и величине запасов залежь приурочена к верхней части сеноманских отложений (пласт ПК1), которая содержит 63 % от суммарных по месторождению запасов углеводородов. На Комсомольском месторождении залежь сеноманской продуктивной толщи вскрыта на глубинах 851,8-1050,2 м (а.о. минус 796,8 - 915,6 м). По своему строению она идентична одновозрастным залежам не только месторождений Надым-Пурской, но и других нефтегазоносных областей (НГО) севера Тюменской области.

Высокие коллекторские свойства песчано-алевролитовых пород пласта ПК1 определяют высокую продуктивность скважин. При испытании газонасыщенных интервалов в разведочных скважинах рабочие дебиты на шайбе 22 мм изменялись от 240 до 705 тыс.м3/сут, при депрессиях на пласт 0,19-0,26 МПа. Расчетные значения абсолютно свободного дебита составляли порядка 450 - 7000 тыс.м3/сут.

При разведке продуктивность залежи изучена по данным испытания 26 скважин. Данными испытаний залежь по площади изучена достаточно равномерно (приложение 3).

Сеноманская газовая залежь по типу является массивной водоплавающей и объем ее определяется кровлей сеноманских коллекторов и поверхностью газоводяного контакта.

Уровень ГВК сеноманской залежи Комсомольского месторождения по материалам бурения и испытания поисково-разведочных и эксплуатационных скважин устанавливается на отметках минус 914 - 924 м, в том числе в пределах Северного купола на а.о. минус 915 - 924 м, Западного купола - на а.о. минус 915 - 919 м, Центрального купола - на а.о. минус 914 - 918 м, Восточного купола - на а.о. минус 914 - 918 м.

.3 Параметры продуктивных пластов

Исследование керна проводилось в Центральной лаборатории Главтюменьгеологии. Были проведены гранулометрический, минералогический, петрографический анализы, определение фильтрационно-емкостных свойств пород-коллекторов. Выполнено 213 анализов гранулометрического состава, 670 анализов пористости, в том числе на 479 образцах (71,6 %) из специальной скважины №151. На 422 образцах из 19 скважин определена пористость газонасыщенных коллекторов. Определение проницаемости выполнены на 74 образцах, в том числе - на 50 образцах из газонасыщенной части разреза. На 71 образце измерены значения остаточной водонасыщенности.

Диапазоны изменения и средние значения геолого-геофизических параметров по результатам измерения на керне приведены в таблице 2.1. Средние значения рассчитаны для всего пласта ПК1 и для коллекторов его газонасыщенной части. На рисунках 2.1-2.3 приведены распределения коэффициентов пористости, проницаемости, остаточной водонасыщенности по керну.

Таблица 2.1 - Диапазоны изменения и средние значения геолого-геофизических параметров продуктивных пластов по результатам измерения на керне

Пласт

Оценка:

Коэффициент пористости д.ед.

Коэффициент проницаемомсти мкм2

Коэффициент остаточной водонасыщенности, д.ед.

ПК1

Количество определений

670

74

71


Минимум

0,02

0,0005

0,116


Максимум

0,441

4,8060

0,943


Среднее

0,339

0,3005

0,527

Газонасыщенная часть пласта ПК1

Количество определений

422

50

47


Минимум

0,251

0,0024

0,116

0,441

4,8060

0,916


Среднее

0,337

0,3803

0,459


Необходимо отметить, что в скважинах, где достигнут высокий вынос керна, средние и модальные значения пористости более высокие. В скважинах с невысоким выносом керна наиболее рыхлые разности не выносились, и среднее значение пористости по этой причине могло занижаться.

Рисунок 2.1 - Комсомольское месторождение.

Дифференциальные распределения коэффициента пористости по керну

Рисунок 2.2 - Комсомольское месторождение.

Дифференциальные распределения коэффициента проницаемости по керну

Рисунок 2.3 - Комсомольское месторождение.

Дифференциальные распределения коэффициента остаточной водонасыщенности по керну 75,8 % определений пористости выполнено на керне скв. № 151, где средний вынос керна из газонасыщенной части разреза составил 100 %. При этом среднее значение коэффициента пористости для коллекторов газонасыщенной части отложений скв. № 151 достигает 0,342 д.ед.

Среднее значение коэффициента пористости по керну для коллекторов всего разреза скв. № 151 составляет 0,352 д.ед. Учитывая, что часть высокопористых образцов отобранного керна (при высоком выносе) была разрушена и представляла собой песок, либо обломки породы, исследовать параметры которых не представляло возможным, можно допустить более высокие значения максимальной и следовательно - средней пористости на Комсомольском месторождении.

.4 Свойства и состав пластовых флюидов

Компонентный состав свободного газа сеноманской залежи Комсомомльского месторождения представлен 22 анализами газа из 20 скважин, из которых 1 анализ выполнен в лаборатории ООО "Газпром ВНИИГАЗ", а остальные в Центральной лаборатории Главтюменьгеологии (таблица 2.4).

По химическом у составу газ сеноманской залежи Комсомольского месторождения сходен с газом сеноманских залежей других месторождений севера Тюменской области. Содержание метана составляет 97,6 %.

Содержание тяжёлых углеводородов во многих случаях отсутствуют или отмечены их следы, и лишь в трёх пробах содержание С2+в достигает 1,48 %-1,78 %, Содержание углекислого газа составляет 0,32 %, азота - изменяется в пределах от 0,91 % до 2,51 %, в среднем - 1,63 %. Аргон определен в двух пробах и составляет в среднем 0,052 %. Содержание водорода составляет 0,041 %, гелия - 0,017 %.

Относительная плотность газа составляет 0,566. Низшая теплотворная способность имеет значение 7857 ккал/м3. Псевдокритическое давление и температура свободного газа составляют соответственно 4 59 МПа и 190,12 К.

В пробах свободного газа содержания С5+в не установлено. Газоконденсатные исследования при опробовании сеноманской залежи не проводились.

2.5 Запасы углеводородов

Сеноманская газовая залежь была открыта в 1966 г. Впервые запасы газа по Комсомольскому месторождению были утверждены ГКЗ (протокол №5774 от 24.09.69) в 1969 г. по результатам бурения 30 разведочных скважин в объеме 377,6 млрд.м3 (сеноманская залежь, восточный купол). Уточнение контура газоносности на восточном куполе позволило спустя два года получить более точную оценку запасов - 457,6 млрд.м3

В дальнейшем разведка залежи продолжалась в основном на западном и северном куполах и на нижележащие горизонты. В ноябре 1987 г. ГКЗ утвердила величину начальных запасов газа в сеноманской залежи (восточный, западный и северный купола) в объеме 773 580 млн.м3 (протокол ГКЗ №10297 от 20.11.87).

В 1999 г. ОАО "СибНАЦ" была проведена переоценка запасов газа на основе анализа данных бурения и исследования 17 эксплуатационных скважин с увязкой результатов обработки гидродинамических исследований разведочных скважин. При рассмотрении этой оценки в ЦКЗ МПР РФ, в связи с замечаниями экспертов, отчет был направлен на доработку и в 2000 г. было составлено дополнение к отчету.

Результаты выполненного пересчета начальных запасов свободного газа залежи ПК1, утвержденные ЦКЗ МПР РФ (протокол № 114 от 01.02.2001) приведены в таблице 2.5.

Таблица 2.2 - Сводная таблица подсчетных параметров и запасов свободного газа

Категория запасов

Площадь газоносности, тыс.км2

Средняя толщина, м

Объем газосодер жащихпород, тыс. м3

Коэффициенты

Пластовое давление, физ. атм

Поправки

Начальные запасы Свободного газа, млн. м3





пористости

газона-сыщен-ности

на-чальное

ко-неч-ное

на свой-ства газа

на темпе-ратуру













В

82 985

74,09

6 148 756

0,346

0,768

96,1

1,04

1,18

0,98

179 910

С1

797 934

25,60

20 423 994

0,346

0,768

96,1

1,04

1,18

0,98

597 596

Итого по залежи

880 919

30,18

26 840 260

0,768

96,1

1,04

1,18

0,98

777 506


Начальные запасы свободного газа составили 777 506 млн.м3.

Балансовые запасы газа сеноманской залежи, оцененные по категориям В и С1, составили, соответственно, 179 910 и 597 596 млн.м3 (всего - 777 506 млн.м3).

В 2010 г. ООО "ЦНИП ГИС" проведена переоценка запасов газа сеноманской залежи Комсомольского месторождения по состоянию изученности на 01.01.2010.

Запасы газа по категории А составили 188873 млн.м3, по категории В - 465337 млн.м3, категории С1 - 149017 млн.м3, в том числе за пределами лицензионного участка 186 млн.м3. Принятые подсчетные параметры и результаты подсчета запасов газа сеноманской залежи приведены в таблице 2.6.

Сопоставление начальных геологических запасов свободного газа и подсчетных параметров пласта ПК1 Комсомольского месторождения, учтенных в Госбалансе и утвержденных ГКЗ (протокол № 10297 от 20.11.1987) с подсчетом запасов 2010 г. по состоянию на 01.01.2010 приведено в таблице 2.7.

В подсчете 2010 г. запасы газа по сумме промышленных категорий А+В+С1 увеличились по сравнению с утвержденными ГКЗ (категория С1) на 29647 млн.м3 или 3,8 %. Увеличение запасов произошло в основном за счет увеличения средневзвешенного значения коэффициента пористости на 6,1 %, при этом площадь газоносности уменьшилась на 2,4 %. Небольшое увеличение газонасыщенной толщины произошло по причине уточнения методики выделения коллекторов с использованием количественных граничных критериев.

По сравнению с числящимися на Госбалансе запасы газа по сумме категорий А+В+С1 увеличились на 25721 млн.м3 или 3,3 %, в том числе запасы категории В полностью переведены в категорию А в пределах Западного и Восточного куполов, а в пределах Северного и Центрального куполов выделена категория В.

Основное увеличение запасов связано с увеличением площади газоносности на 2,5 % за счет уточнения модели залежи по результатам сейсморазведочных работ 3D, небольшим увеличением газонасыщенной толщины и соответственно увеличением газонасыщенного объема на 2,9 %,также уточнился коэффициент пористости и газонасыщенности и величина пластового давления.

3. Анализ газогидродинамических исследований

.1 Состояние фонда скважин

По состоянию на 01.07.2010 общий фонд скважин по месторождению составил 210 ед., в том числе 166 эксплуатационных, из которых 159 действующих и семь в бездействии, 34 наблюдательных, пять поглощающих, четыре ликвидированных. Основные причины бездействия скважин связаны с обводнением, наличием песчанно-жидкостных пробок на забое и снижением продуктивности скважин. (таблица 3.1, рисунок 3.1)

Таблица 3.1 - Динамика фонда скважин Комсомольского месторождения


Рисунок 3.1 - Комсомольское месторождение. Состояние фонда скважин на 01.07.2010

.2 Газогидродинамические исследования. Понятие и общие положения

Газогидродинамические исследования пластов и скважин - комплекс методов для получения информации о термобарических и фильтрационных характеристиках газовых и газоконденсатных пластов, условиях притока газа к забою скважин и продуктивности последних. Проводятся при стационарном и нестационарном режимах фильтрации.

Газогидродинамические исследования в первом случае осуществляются методом установившихся отборов. По результатам исследования строится индикаторная кривая - зависимость между дебитом скважины Q и разностью квадратов пластового и забойного давлений D Р2 = Р2пл - Р2з для различных установившихся режимов работы скважины, характеризующая условия притока газа к скважине. Испытания скважины проводятся с выпуском газа в атмосферу (на неосвоенных площадях в процессе разведки месторождения) или газопровод (при эксплуатации месторождения). Метод позволяет определять коэффициенты фильтрационного сопротивления, зависящие от параметров призабойной зоны пласта и конструкции забоя скважины; условия разрушения призабойной зоны, накопления и выноса твёрдых и жидких частиц с забоя скважины;устанавливать технологические режимы эксплуатации скважины и оценивать эффективность ремонтно-интенсификационных работ и др. На форму индикаторной кривой влияют неполная стабилизация пластового и забойного давлений, очищение или накопление на забое и в призабойной зоне скважины жидкости и твёрдых частиц, образование гидратов и др. При исследовании низкопродуктивных скважин с длительным периодом стабилизации забойного давления и дебита используют модифицированные варианты метода установившихся отборов (изохронный, экспресс-методы и др.), позволяющие значительно сократить продолжительность испытания.

Газогидродинамические исследования при нестационарных режимах фильтрации проводятся методами восстановления давления (после остановки скважины, работающей на установившемся режиме) и стабилизации давления и дебита (при пуске остановленной скважины в определенном режиме работы). Сущность первого метода - наблюдения за изменением забойного (устьевого) давления Р и температуры с течением времени и построение по полученным данным кривой восстановления давления (КВД), второго - за изменением забойного (устьевого) давления, температуры, дебита скважины Q в результате чего строится кривая стабилизации давления (КСД). С помощью КВД и КСД определяются проводимость, пьезопроводность, пористость, проницаемость, трещиноватость, неоднородность пластов-коллекторов и др. Кривые позволяют также оценивать изменение параметров пласта в процессе работы скважины (очищение призабойной зоны и др.). На форму КВД влияют приток газа в скважину после её остановки, неизотермичность процесса восстановления давления, неоднородность пласта (в т.ч. тектонические и литологические нарушения), межпластовые перетоки и др. Te же факторы влияют на форму КСД, однако чаще искажение вызывается изменением фильтрационных характеристик призабойной зоны скважины, неоднородностью пласта по площади и мощности. Данные, полученные при газогидродинамическом исследовании, используются для подсчёта запасов газа, при составлении технологических проектов и анализе разработки месторождений, а также при планировании мероприятий по увеличению продуктивности скважин.

.3 Основные задачи исследования скважин

Исследования газовых пластов и скважин включают комплекс взаимосвязанных методов, различающихся теоретической основой, технологией и техникой исполнения.

По данным этих исследований определяют следующие параметры.

. Геометрические характеристики залежи, в частности общие размеры газоносного резервуара„ изменение общей и эффективной мощности пласта по площади и разрезу, границы газоносной залежи, размеры экранов и непроницаемых включений, положение газоводяного (газонефтяного) контакта и его изменение в процессе разработки.

. Коллекторские и фильтрационные свойства пласта (пористость, проницаемость, гидропроводность, пьезопроводность, сжимаемость пласта, газонасыщенность, пластовые, забойные и устьевые давления и температуры), их изменение по площади и разрезу -пласта, а также по стволу газовой скважины.

. Физико-химические свойства газа и жидкостей (вязкость, плотность, коэффициент сжимаемости, влажность газа), условия образования гидратов и их изменение в процессе разработки залежи.

. Гидродинамические и термодинамические условия в стволе скважины в процессе эксплуатации.

. Изменение фазовых состояний при движении газа в пласте, стволе скважины и по наземным сооружениям в процессе разработки залежи.

. Условия скопления и выноса жидкости и твердых примесей из забоя скважины, эффективность их отделения.

. Условия процесса коррозии, степень и характер его изменения при исследовании и эксплуатации скважины, в продукции которых содержатся коррозионно-активные компоненты.

. Технологический режим работы скважин при наличии различных факторов, таких, как возможность разрушения призабойной зоны пласта, наличие подошвенной воды, влияние температуры продуктивного пласта и окружающей ствол скважины среды,многопластовость и неоднородность залежи, наличие агрессивных компонентов в добываемой продукции, конструкция и свойства применяемого оборудования скважин и наземных коммуникаций и др.

Для изучения перечисленных параметров применяются газогидродинамические‚ геофизические и лабораторные методы исследования. При комплексном использовании эти методы дополняют друг друга и позволяют получить наиболее достоверные сведения и выяснить связь между отдельными параметрами и факторами, влияющими на них.

.4 Проведение исследования

Перед исследованием скважины методом установившихся отборов необходимо ознакомиться с геолого-промысловыми материалами по данной скважине и месторождению. Если процессы восстановления и стабилизации давления, дебита и забойного давления продолжаются несколько часов и более, то следует выбрать ускоренные методы испытания скважины, Перед началом исследования давление на устье скважины должно быть статическим Рст. Исследование нужно начинать с меньшего дебита и наращивать его от режима к режиму - прямой ход. После фиксирования статического давления скважину следует пускать в работу с небольшим дебитом и дожидаться полной стабилизации забойного устьевого давления и дебита. Забой скважины при испытании ее методом установившихся отборов должен быть чистым, или, если имеется какой-то столб жидкости или песчаная пробка, желательно, чтобы высота их оставалась неизменной. В противном случае коэффициенты сопротивления, определяемые по результатам испытания, будут переменными от режима к режиму, что приводит к сильному искажению индикаторной линии.

Значения забойных давлений, дебита и температуры должны быть фиксированы после полной стабилизации давления и дебита. Условия стабилизации оцениваются постоянством показаний приборов, используемых для измерения давления, перепада давлений на расходомере и температуры во времени. После снятия этих показаний на первом режиме - диафрагме (штуцере) скважину закрывают для восстановления давления до статического. Процессы пуска скважины и стабилизации давления и дебита при этом, работа скважины на установившемся режиме, восстановления давления после закрытия скважины на данной диафрагме (штуцере) составляют один режим работы скважины.

Характер изменения давления на одном режиме с полной стабилизацией забойного устьевого давления и дебита, работой на режиме и с полным восстановлением давления после закрытия скважины показан на рис. 3.3. Процесс перераспределения давления в пласте, или, как принято называть этот процесс, стабилизация давления и дебита после пуска, зависит от фильтрационных и емкостных параметров пористой среды и насыщающих ее жидкостей и газов. Используя эту зависимость, можно определить параметры пласта. Поэтому при исследовании скважины следует фиксировать статическое давление перед пуском скважины, процесс стабилизации давления и дебита, параметры скважины при работе после стабилизации давления, дебита и температуры и процесс восстановления давления после закрытия. Этот комплекс информации при соответствующей обработке позволяет определить большое число фильтрационных, емкостных и технических характеристик пласта и ствола скважины.

После достижения Ре, скважину пускают в работу на новом режиме, отличающемся от первого большим дебитом н меньшим забойным давлением. На втором режиме, так же как и на первом, регистрируются процессы стабилизации забойного давления и дебита, параметры после стабилизации режима и процесс восстановления давления до достижения Рт. Таким же образом снимаются показания давления, дебита и температуры на всех 5-8 режимах (рис. 3.4). Таким образом, если приступаем к исследованию скважин методом установившихся отборов на 8 режимах, то это означает, что имеем 8 кривых стабилизации давления и дебита, 8 значений установившихся различных по величине забойных давлений и дебитов, 8 кривых восстановления давления.

Рисунок 3.2 - Изменение давления при исследовании скважин на одном режиме

Рисунок 3.3 - Изменение давления при исследовании скважин на стационарных режимах фильтрации. 1-6 - прямой ход, 1обр-3обр - обратный ход.

Обработка этих данных позволяет определить режим работы скважины; коэффициенты фильтрационных сопротивлений тремя способами - по индикаторной кривой, по кривым стабилизации давления и дебита и по сочетанию забойных давлений и дебитов без использования пластового давления; проводимость тремя методами; ухудшения или улучшения параметров призабойной зоны; пьезопроводность пласта; наличие экранов и ухудшений параметров пласта за пределами призабойной зоны; емкостные параметры пласта; приведенный радиус скважины и др. При исследовании скважин методом установившихся отборов необходимо: соблюдать условия стабилизации и восстановления давления; наблюдать за давлением вмежколонном пространстве; замерять давление, температуру, дебит газа, воды, конденсата; определять количество твердых примесей. При наличии жидкости в потокегаза желательно, чтобы один из режимов обратного хода был с наименьшим дебитом. Такой контрольный режим позволит определить наличие жидкости на забое, вынос которой был затруднен при прямом ходе в начале испытания скважины заданной конструкции. При наличии пакера в затрубном пространстве и значительного количества влаги в потоке газа, определение забойного давления по давлению на устье приводит к существенным погрешностям. В этом случае следует пользоваться глубинными приборами с местной или дистанционной регистрацией забойного давления на различных режимах. Если Забойное оборудование и коррозионно-активные компоненты затрудняют измерение забойного давления глубинными манометрами, то следует в зависимости от количества жидкости и газа, конструкции скважины, коэффициента сопротивления труб и структуры потока вывести эмпирическую формулу для достаточно точного определения забойного давления таких скважин. Если скважина, в которой будут выполнены исследования, работала перед началом испытания, то ее следует закрыть и дождаться полного восстановления давления.

3.5 Определение коэффициентов фильтрационного сопротивления а и b

Коэффициенты фильтрационных сопротивлений характеризуют физические свойства газа, фильтрационные свойства пористой среды и геометрические параметры фильтрации. Значения коэффициентов фильтрационных сопротивлений используются при проектировании и анализе разработки газовых и газоконденсатных месторождений. Коэффициенты фильтрационных сопротивлений зависят от:

·        состава газа, фазовых переходов в процессах испытания и эксплуатации скважин,

·        свойств газа и газоконденсатной смеси;

·        законов фильтрации;

·        механических, емкостных и фильтрационных свойств пористой среды, анизотропии пласта;

·        продолжительности процесса испытания на отдельных режимах;

·        термобарических параметров пористой среды и газа;

·        конструкции скважины и степени совершенства вскрытия пласта;

·        качества вскрытия продуктивного разреза, промывочного раствора и проведения ремонтно-профилактических работ в скважине;

·        величины газонасыщенности (газонефтенасыщенности при наличии нефтяной оторочки) пласта и других факторов и параметров.

Все параметры, входящие в формулы для определения коэффициентов а и b (а к ним относятся: коэффициенты вязкости, сверхсжимаемости, проницаемости, макрошероховатости‚ плотность газа, температура, радиусы контура питания и скважины, коэффициенты несовершенства и неоднородности), зависят от давления, продолжительности испытания, насыщенности пористой среды газом и водой, наличия соседних скважин и расстояния до них, величины депрессии на пласт, условия выпадения, накопления и выноса конденсата, тепловых свойств пористой среды и т.д.

Без знания величин коэффициентов а и b невозможен прогноз дебитов скважин в процессе разработки, следовательно, и добывные возможности месторождения в целом. Поэтому определение коэффициентов а и b является одной из основных задач при подготовке месторождения к разработке. По результатам исследования скважин определяются величины коэффициентов а и Ь, и при проектировании разработки месторождений они считаются известными. Естественно, что каждая скважина имеет свой коэффициент фильтрационных сопротивлений. Поэтому при проектировании разработки месторождения определяются осредненные (арифметическое или по дебитам и желательно при одинаковых депрессиях на пласт по тем скважинам, по которым осредняются эти коэффициенты) значения коэффициентов а и b.

Как следует из формулы притока газа (газоконденсатной смеси) к скважине, в одном уравнении имеются два неизвестных коэффициента сопротивлений. При известных значениях величин пластового и забойного давлений и дебитов для определения коэффициентов а и Ь необходимо как минимум два уравнения притока с одинаковыми значениями а и b. Однако, учитывая возможные ошибки при определении пластовых и забойных давлений и дебитов, приводящие к большим погрешностям в величинах а и b, двухрежимньпй метод не получил широкого распространения, хотя математически такой метод не требует дополнительного обоснования.

Широкое применение получил графический метод определения коэффициентов а и b, требующий исследовать скважины на не менее 5-8 режимах. При этом 2-3 режима из 8 должны проводиться обратным ходом, т.е. с большего дебита на меньший, с целью проверки данных, полученных при сравнительно небольших дебитах, когда возможны наличие столба жидкости на забое, влияние загрязнения забоя на дебит скважины. Отметим, что очень часто на промыслах число режимов, особенно если они охватывали весь диапазон изменения дебита с минимального до максимального, приводит к неправильной интерпретации результатов. Несмотря на наличие утвержденного нормативного документа "Инструкция по комплексному исследованию газовых и газоконденсатных пластов и скважин", из-за ограниченного числа режимов испытания в узком диапазоне изменений дебитов и вообще из-за ограниченного числа первичных и текущих исследований в последние годы резко ухудшилось качество исходной информации, получаемой проектными организациями. В эпоху научно-технического прогресса, широкого внедрения ЭВМ при проектировании и анализе разработки требования к количеству и качеству исходной информации резко возросли, а проведение качественных исследований сократилось. Это противоречие может быть ликвидировано только путем надлежащего контроля за выполнением программ исследовательских работ, прилагаемых к проектам разработки газовых и газоконденсатных месторождений. Существующая разрозненная система проектирования залежи и наземных сооружений и стремление обустройщиков свести к минимуму протяженность шлейфов, а также и другие коммуникации являются одной из причин (наряду с несвоевременными вводами скважин и других промысловых объектов по добыче газа при неизменном плане по добыче), приводящей к сокращению числа исследований скважин на стадии освоения залежи.

Ниже на примере одной скважины, испытанной на 7 режимах, дан графический метод определения коэффициентов а и b. По данным испытания определены Pпл, Рз, и Q.

Рассчитаны значения Pпл2з2на различных режимах. Затем построена зависимость между и Q, и, как видно из рис. 3.5, индикаторная кривая проходит через начало координат. Обработанная в координатах  от Q индикаторная кривая позволилаопределить из графика, показанного на рис. 3.5, коэффициент а как отрезок, отсекаемый на оси , равный а = 0,180, и коэффициент b как тангенс угла наклона прямой к оси, равный b = 0‚000138.

При значительном числе точек (режимов исследования скважин) коэффициентыфильтрационных сопротивлений могут быть определены и численным методом.

Cчитается целесообразным использовать численный метод при числе режимов, превышающем 10, Причем если среди точек имеются такие, которые явно отличаются от общей закономерности между и Q, то значения этих точек следует отбрасывать при численном определении коэффициентов а и b. В противном случае такие явно ошибочные точки приводят к сильно завышенным или заниженным величинам а и b, часто к отрицательному коэффициенту b. Численный метод определения коэффициентов а и b получен методом наименьших квадратов. Формулы для определения коэффициентов фильтрационных сопротивлений имеют вид

(3.1)

(3.2)

где N - общее число режимов.

Значения коэффициентов а и b, определенные по формулам (3.1) и (3.2), при числе режимов N = 7 равны соответственно 0,168 и 0,0001371. Такое сравнительно хорошее совпадение вызвано качеством проведенного в рассматриваемой скважине исследования.

Рисунок 3.4 - Зависимость ΔР2(1) и ΔР2/Qот Q

В тех случаях, когда пластовое давление неизвестно, результаты испытания могут быть обработаны в координатах от и определены (как графически, так и численно) коэффициенты а и b. Формулы для определения коэффициентов а и b численным методом при неизвестном пластовом давлении имеют вид

(3.3)

(3.4)

где N- число сочетаний, определяемое по формуле

 (3.5)

где m - общее число режимов; n - порядковый номер режимов.

.6 Анализ результатов газогидродинамических исследований скважин сеноманской залежи

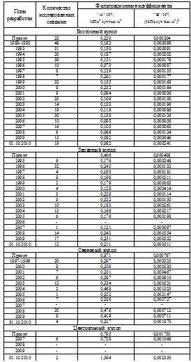
Газодинамические исследования скважин регулярно проводятся на месторождении с 1993 г. Всего на месторождении за весь срок эксплуатации проведено 611 исследований скважин на стационарных режимах фильтрации, в том числе по куполам: на восточном - 365, на западном - 142, на северном - 96 и на центральном - восемь. В 2010 году на восточном участке проведены исследования в 19 эксплуатационных скважинах, на западном участке в 12, на северном участке в четырех и на центральном в двух.

Газодинамические исследования проводились по стандартной методике на шести - восьми стационарных режимах фильтрации прямого и обратного хода с замерами дебитов с помощью ДИКТа. Расчет забойного давления проводился по неподвижному столбу газа в затрубном пространстве. Замеры устьевых давлений проводились образцовыми манометрами класса 0,4 с диапазоном измерения до 9,8 МПа. Пластовое давление при исследовании скважин определялось пересчетом по устьевому статическому давлению. При обработке данных исследований скважин для каждого режима рассчитывалась скорость движения газа у башмака НКТ, определялись коэффициенты гидравлического сопротивления труб. Для каждой скважины определялся свободный и абсолютно свободный дебиты, коэффициенты фильтрационного сопротивления, а также проницаемость призабойной зоны.

В таблице 3.2 и на рисунке 3.6 приведены коэффициенты фильтрационных сопротивлений по результатам исследований скважин.

На восточном куполе в 2010 году проведены исследования в 19 скважинах. По результатам интерпретации величины фильтрационных коэффициентов изменялись в следующих пределах: "а" от 0,013·10-2 МПа2 сут/тыс.м3 (скважина №1143) до 0,379·10-2 МПа2 сут/тыс.м3 (скважина №1124); "b" от 0,000025×10-2 (МПа сут/тыс.м3)2 (скважина №1073) до 0,000897·10-2 (МПа сут/тыс.м3)2 (скважина № 1124).

Средневзвешенные по дебитам коэффициенты фильтрационных сопротивлений для скважин восточного купола имеют следующие значения: "а" = 0,062·10-2 МПа2 сут/тыс.м3; "b" = 0,00024·10-2 (МПа сут/тыс.м3)2.

На рисунке 3.7 представлены результаты определения коэффициентов "а" и "b" по скважинам, исследованным в 2010 году. Как видно из рисунка, скважины №№ 1026, 1095, 1101, 1103, 1104, 1124, 1161, 1172, 1173 характеризуются высокими значениями фильтрационных коэффициентов, то есть ухудшенной продуктивностью. Анализ индикаторных диаграмм (рисунки 3.8 - 3.10) по скважинам №№ 1026, 1095, 1101, 1103, 1161, 1172, 1173 показал, что их продуктивность в целом не изменилась относительно исследований за предыдущие годы. В скважине № 1124 судя по индикаторной диаграмме в 2010 году отмечается некоторое улучшение фильтрационных характеристик относительно предшествующего исследования 2003 года. Улучшение вероятно связано с проведенной в 2006 г. промывкой песчаной пробки и снижением ее толщины. Тем не менее, коэффициенты "а" и "b" по скважине в 2010 г. остаются достаточно высоки. Причиной этому служит обводнение (о чем свидетельствует содержание ионов хлора в количестве 1206,6 мг/л) и сохраняющаяся на забое песчаная пробка толщиной 14,6 м.

Стоит отметить, что, как показывают индикаторные диаграммы, в ходе проведения ГДИ в 60 % (12 ед.) исследованных скважин дебиты на режимах не достигали области рабочих дебитов, соответственно нет возможности достоверно оценить изменение продуктивности скважин.

На западном куполе величины фильтрационных коэффициентов по 12 исследованным скважинам изменялись в следующих пределах: "а" от 0,094·10-2 МПа2 сут/тыс.м3 (скважина №1352) до 0,709·10-2 МПа2 сут/тыс.м3 (скважина №1361), "b" от 0,00008×10-2 (МПа сут/тыс.м3)2 (скважина № 1482) до 0,008753·10-2 (МПа сут/тыс.м3)2 (скважина №1361).

Средневзвешенные по дебитам коэффициенты фильтрационных сопротивлений для скважин западного купола имеют следующие значения: "а" = 0,2110·10-2 МПа2 сут/тыс.м3; "b" = 0,00051·10-2 (МПа сут/тыс.м3)2 (рисунок 3.11).

На рисунке 3.12 представлены результаты определения коэффициентов "а" и "b" по скважинам, исследованным в 2010 г. Скважины №№ 1361, 1431, 1462, 1492 характеризуются наиболее высокими значениями фильтрационных коэффициентов, то есть ухудшенной продуктивностью. На основе полученных данных были построены индикаторные диаграммы (рисунки 3.13-3.14).

В скважине № 1361 по результатам гидрохимического анализа проб воды во втором квартале 2010 года было выявлено повышенное содержание ионов хлора. После проведенного в этом же квартале ремонта, связанного с изоляцией притока подошвенной воды, содержание ионов хлора снизилось незначительно. Таким образом, высокие значения фильтрационных коэффициентов в скважине, то есть ее низкая продуктивность связана с активным внедрением пластовых вод.

Таблица 3.2 - Комсомольское месторождение. Динамика коэффициентов фильтрационного сопротивления


Рисунок 3.6 - Комсомольское месторождение. Восточный купол

Динамика коэффициентов фильтрационных сопротивлений

Рисунок 3.7 - Комсомольское месторождение. Восточный купол

Коэффициенты фильтрационных сопротивлений по скважинам исследованным в 2010 г.

Рисунок 3.8 - Индикаторные диаграммы скважин восточного купола Комсомольского месторождения, исследованных в 2010 году (№ 1014, 1026, 1041, 1042, 1046, 1047, 1063, 1073, 1095)

Рисунок 3.9 - Индикаторные диаграммы скважин восточного купола Комсомольского месторождения, исследованных в 2010 году (№ 1101, 1103, 1104, 1105, 1124, 1131, 1143, 1161)

Рисунок 3.10 - Индикаторные диаграммы скважин восточного купола Комсомольского месторождения, исследованных в 2010 году (№ 1172, 1173)

Индикаторные диаграммы по скважинам №№ 1431, 1462 в целом показывают снижение продуктивных характеристик в 2010 г. относительно исследований прошлых лет. Ухудшение продуктивности скважин вероятно связано с их обводнением. Не смотря на проведенные в четвертом квартале 2009 г. ремонты, связанные с изоляцией притока пластовых вод, результаты гидрохимического анализа в 2010 году показали повышенное содержание ионов хлора: 5861,15 мг/л в скважине № 1431 и 3960,3 мг/л в скважине № 1462.

По скважине № 1492 наблюдается снижение продуктивности относительно предыдущего исследования. Это связано с проведенным в 2009 г. ремонтом и уменьшением, интервала перфорации.

По скважинам №№ 1352, 1371, 1411, 1413, 1451, 1452, 1471, 1482, как показывает анализ индикаторных диаграмм, продуктивность в целом не изменилась относительно исследований за предыдущие годы.

Стоит отметить, что в результате анализа индикаторных диаграмм было выявлено, что восемь скважин купола исследовались на дебитах, не достигающих значений рабочих дебитов скважин. Таким образом, судить достоверно об изменении продуктивных характеристик скважин не представляется возможным.

Рисунок 3.11 - Комсомольское месторождение. Западный купол

Динамика коэффициентов фильтрационных сопротивлений

Рисунок 3.12 - Комсомольское месторождение. Западный купол

Коэффициенты фильтрационных сопротивлений по скважинам исследованным в 2010 году

Рисунок 3.13 - Индикаторные диаграммы скважин западного купол Комсомольского месторождения, исследованных в 2010 году (№№ 1352, 1361, 1371, 1411,1413, 1431,1451,1452, 1462)

Рисунок 3.14 - Индикаторные диаграммы скважин западного купол Комсомольского месторождения, исследованных в 2010 году (№№ 1471, 1482, 1492)

На северном куполе по результатам газодинамических исследований четырех скважин, проведенных в 2010 году, фильтрационные коэффициенты изменялись в следующих пределах: "а" от 0,170·10-2 МПа2 сут/тыс.м3 (скважина №1311) до 0,547·10-2 МПа2 сут/тыс.м3(скважина №1301); "b" от 0,00063·10-2 (МПа сут/тыс.м3)2 (скважина №1202) до 0,00391·10-2 (МПа сут/тыс.м3)2 (скважина № 1301).

Коэффициенты, взвешенные по дебитам, составили: "а" равно 0,327·10-2 (МПа2 сут/тыс.м3);"b" равно 0,00187·10-2 (МПа сут/тыс.м3)2 (рисунок 3.10).

Наиболее высокими значениями коэффициентов "а" и "b", а значит и низкой продуктивностью характеризуются скважины №№ 1231, 1262, 1301 (рисунок 3.11).

Индикаторная диаграмма по скважине №№ 1231 (рисунок 3.17) в целом показывает снижение продуктивных характеристик в 2010 г. относительно исследований прошлых лет. Ухудшение продуктивности связано с обводнением. По результатам гидрохимического анализа в 2010 г. отмечено повышенное содержание ионов хлора в продукции скважины - 5327,5 мг/л.

В скважине № 1262 снижений фильтрационных характеристик (рисунок 3.12) вероятно связано с интенсивным накоплением песчаной пробки на забое. За два года толщина пробки увеличилась с 3,8 м до 10,0 м, при интервале перфорации 14 м.

Индикаторная диаграмма скважины № 1301 (рисунок 3.17) показывает заметное ухудшение фильтрационных характеристик скважины по сравнению с предыдущим исследованием. Это произошло в результате проведенного во втором квартале 2009 г. ремонта скважины и уменьшения интервала перфорации.

В скважине № 1311 (рисунок 3.17) по результатам анализа индикаторных диаграмм, продуктивность осталась неизменной относительно исследований 2006 г.

Результаты анализа показали, что стандартные исследования трех скважин северного купола (№1262, 1231, 1311) были проведены при дебитах, не достигающих значений рабочих дебитов скважин. Поэтому, достоверно оценить характер изменения продуктивности не представляется возможным.

Рисунок 3.15 - Комсомольское месторождение. Северный купол

Динамика коэффициентов фильтрационных сопротивлений

Рисунок 3.16 - Комсомольское месторождение. Северный купол

Коэффициенты фильтрационных сопротивлений по скважинам исследованным в 2010 г

Рисунок 3.17 - Индикаторные диаграммы скважин северного купол Комсомольского месторождения, исследованных в 2010 г. (№№ 1262, 1231, 1311)

На рисунке 3.18 представлены индикаторные диаграммы скважин № 1511 и № 1521 центрального купола Комсомольского месторождения. Сравнивая исследования 2010 г. по скважине № 1511, с первичными исследованиями, проведенными в 2007 г., можно увидеть значительное изменение ее продуктивности. Снижение продуктивности скважины связано с образованием песчаной пробки на забое толщиной 21,4 м., а также с обводнением скважины (наличие ионов хлора в пробе составляет 2827,36 мг/л). Анализ диаграммы скважины № 1521 показал, что продуктивность скважины практически не изменилась относительно первичных исследований 2007 г.

Рисунок 3.18 - Индикаторные диаграммы скважин центрального купол Комсомольского месторождения, исследованных в 2010 г. (№№ 1511, 1521)

Выводы

Таким образом, по завершении газогидродинамических исследований можно сделать ряд заключений.

Высокие значения фильтрационных коэффициентов по скважинам могут быть обусловлены активным внедрением пластовых вод (повышенное содержание ионов водорода), нарастанием песчаной пробки на забое или это может быть связано с уменьшением перфорационного канала и др.

В настоящее время разработка сеноманской газовой залежи Комсомольского месторождения осложняется рядом факторов геологического, технического и технологического характера (снижение запаса пластовой энергии, обводнение скважин, физический износ оборудования, сезонная неравномерность газопотребления и др.).

В основу выбора расчетных вариантов разработки сеноманской газовой залежи положен принцип максимально возможного поддержания годовых отборов газа и сохранение действующего эксплуатационного фонда скважин.

Предлагается рассмотреть варианты разработки, предусматривающие забуривание боковых стволов в выбывающих из эксплуатации скважины, а так же дополнительное бурение наклонно-направленных скважин на всех куполах месторождения кроме центрального.

нефтегазоконденсатный газогидродинамический скважина фильтрационный

Список использованной литературы

[1] Коррективы технологических показателей разработки сеноманской газовой залежи Комсомольского нефтегазоконденсатного месторождения: Отчет о НИР/ООО "ТюменНИИгипрогаз"; Руководитель А.Н. Лапердин.

[2] Глаголев П.Л., Колотущенко Л.Д., Кондратьева Л.А., Левченко А.А., Чурикова И.В. Хилько В.А. Пересчет запасов газа сеноманской залежи Еты-Пуровского месторождения по состоянию изученности на 01.01.2006 г., ООО "ЦНИПГИС" Москва,2007г.

[3] Дещеня Н.П. Дополнение к пересчёту запасов 1999 года по Комсомольскому месторождению сеноманской залежи газа пласта ПК1. ОАО "СибНАЦ", г. Тюмень, 2000 г.

[4] Дещеня Н.П. Оценка изменения подсчетных параметров подсчета запасов газа сеноманской залежи 1987 года Комсомольского месторождения по новым данным эксплуатационного бурения и обобщения геолого-геофизического материала. ОАО "СибНАЦ", г. Тюмень, 1999 г.

[5] Корректировка основных проектных решений по разработке центрального купола Комсомольского месторождения: Отчет о НИР/ООО "ТюменНИИгипрогаз"; Руководитель А.С. Гацолаев. - Тюмень, 2007. - 123 с.

[6] Проект опытно-промышленной эксплуатации Комсомольского месторождения: Отчет о НИР/ООО "ТюменНИИгипрогаз"; Руководитель Е.М. Нанивский. - Тюмень, 1975 . - 156 с.

[7] Проект разработки сеноманской залежи Комсомольского месторождения: Отчет о НИР/ООО "ТюменНИИгипрогаз"; Руководитель В.Н. Маслов. - Тюмень, 1985 . - 143 с.

[8] Проект разработки сеноманской залежи Комсомольского месторождения: Отчет о НИР/ООО "ТюменНИИгипрогаз"; Руководитель В.Н. Маслов. - Тюмень, 1987 . - 171 с.