Материал: Анализ производственно-финансовой деятельности Регионального центра связи

Внимание! Если размещение файла нарушает Ваши авторские права, то обязательно сообщите нам

Анализ производственно-финансовой деятельности Регионального центра связи

Введение

связь региональный финансовый

Хозяйство железных дорог многоотраслевое, состоящее из подвижного состава и его ремонтной базы, пути и искусственных сооружений, станционных и линейных зданий, устройств электроснабжения, автоматики и связи, вычислительной техники, погрузо-разгрузочных машин, механизмов и других технических средств. Кроме того, на железнодорожном транспорте имеются промышленные предприятия, строительные организации, материальные склады, предприятия общественного питания, торговая сеть и другие вспомогательные организации и службы. При осуществлении перевозочного процесса все они взаимодействуют между собой. Поэтому очень важно, чтобы их развитие происходило в комплексе, в определенных пропорциях, что способствует выполнению большего объема перевозок, более эффективному использованию транспортных средств.

Устройства связи являются одним из важных элементов технического вооружения железнодорожного транспорта. Они обеспечивают развитие пропускной способности и повышение безопасности движения поездов на железных дорогах. В то же время эти устройства позволяют полнее и производительнее использовать все технические средства транспорта, особенно подвижной состав, и тем самым способствуют росту производительности труда и снижению себестоимости перевозок.

Железные дороги - основной вид транспорта РФ. От их чёткой и сложенной работы в решающей степени зависит успех экономического и социального развития страны.

В работе железных дорог важное значение имеет применение средств автоматики, телемеханики и связи (АТС). Устройства АТС появились на железной дорогие одновременно с началом движения поездов в первой половине XIX в. Для передачи информации на поезд предназначались семафоры, а начиная с конца XIX в. - светофоры. В 30-х гг. XX в. начали внедрять автоматическую блокировку и автоматическую локомотивную сигнализацию. С 50-х гг. широко используют диспетчерскую централизацию и диспетчерский контроль. В 70-х гг. появилась полуавтоматическая блокировка, позволяющая регулировать движения поездов.

Устройства АТС служат для регулирования и обеспечения безопасности движения поездов на перегонах и станциях. Они позволяют увеличить пропускную способность линий станций, возрастанию провозной способности дорог, повышению перерабатывающей способности сортировочных и грузовых станций, увеличению эффективности использования всех технических средств транспорта, особенно локомотивов и вагонов повышению производительности и культуры труда различных категорий работников железнодорожного транспорта.

Основными устройствами АТС являются системы автоблокировки, электрической и диспетчерской централизации, средства автоматизации и механизации сортировочных горок. Основными средствами электросвязи являются системы и устройства проводной и радиосвязи. Наибольшее распространение получили технические средства проводной телефонной связи с использованием воздушных и кабельных линий. Радиосредства, в основном, используется для организации каналов связи с подвижными единицами, а также при ремонтно-восстановительных работах.

Работникам связи отводится важная роль в выполнении больших и ответственных задач по удовлетворению потребностей народного хозяйства и населения в перевозках.

Основными задачами регионального центра связи (РЦС) являются:

) организация устойчивой работы систем и устройств для обеспечения безопасности движения поездов;

) проведение мероприятий по повышению надежности работы устройств связи, их эффективности и экономичности;

) эффективное взаимодействие с другими службами железной дороги, предприятиями и организациями по вопросам использования средств связи;

) разработка проектов перспективных и годовых планов проектирования и строительства объектов хозяйства;

) организация контроля за выполнением капитального ремонта в РЦС;

) организация изобретательской работы, рассмотрение поступающих рационализаторский предложений;

) организация работы по широкому внедрению в РЦС прогрессивных форм организации и стимулирования труда;

) разработка и осуществление мероприятий по развитию и укреплению материально-технической базы РЦС, в том числе при сооружении новых железнодорожных линий и вторых путей, внедрение новой техники;

) разработка и осуществление мероприятий по модернизации и ремонту устройств связи и более эффективному их использованию, внедрение технических мероприятий, направленных на повышение качества эксплуатационной работы и эффективности использования средств;

) анализ и утверждение изменений технической документации на устройства связи, находящиеся в эксплуатации.

Основными функциями РЦС являются:

. обеспечение безопасности движения поездов;

. обеспечение надежной работы устройств связи на объектах железной дороги;

. осуществление ремонта и модернизации обслуживаемых устройств;

. обеспечивает разработку годовых планов экономического и социального развития РЦС;

. выполнение Правил технической эксплуатации железных дорог, приказов, инструкций по безопасности движения поездов, разработку и осуществление мероприятий по предупреждению крушений, аварий и случаев брака в работе;

. рациональное расходование материальных и топливно-энергетических ресурсов;7. разработка и осуществление мероприятий по росту производительности труда, доходности и рентабельности, снижения себестоимости, улучшение режима экономии в использовании трудовых и материальных ресурсов;

. выполнение требований экологической безопасности и охраны здоровья населения;

. укрепление государственной и трудовой дисциплины, эффективная кадровая политика, повышение квалификации и подготовка кадров;

. организация труда, заработной платы, социальная защита работников на основе единой политики, проводимой на железнодорожном транспорте;

. улучшение условий труда и предупреждение производственного травматизма.

1. Выполнение объёмных и качественных показателей

Основными задачами Регионального центра являются:

обеспечение услугами технологической связи всех структурных подразделений ОАО “РЖД”, находящихся в границах обслуживания Дирекции, а также при необходимости всех структурных подразделений ОАО “РЖД”, для организации перевозочного процесса, управления структурными подразделениями ОАО “РЖД”, финансовыми ресурсами и персоналом, с приоритетом обеспечения безопасности движения поездов.

Региональный центр обязан:

обеспечивать в пределах компетенции безопасность движения поездов, содержания в исправном состоянии технических средств связи, производственных объектов, транспортных средств.*(Приложение 1 - “Положение о РЦС”)

.1 Расчёт технической оснащённости

Техническое обслуживание устройств связи - главный производственный процесс, поэтому , основной деятельностью центра и его структурных подразделений следует считать надежное , бесперебойное функционирование техники.

Чтобы измерить техническую оснащённость предприятия связи введен условный показатель -техническая единица (т.е.)

Величина технических единиц, обслуживаемых РЦС устройств, рассчитывается ежегодно, в соответствии с Указанием МПС № М - 2896 от 05.12.2000 года.

Расчет технических единиц выполняем в таблице 2, используя методику определения объёма работ в технических единицах.

Кол-во тех.един =  (1)

Таблица 2 Расчёт показателей объёма работ предприятий связи в технических единицах

Наименование показателей

Единица измерения

Величина технической единицы на измеритель

Количество измерителей

Сумма баллов т.е

 1

2

3

4

5

1.Устройства проводной связи





1.1.Автоматические телеграфные станции -координатные -электронные -цифровые

10номеров 256точек подключения 256точек подключения

0,14 1,25  0,20

    300

    0,23

1.2.Узел автоматической коммуникации

10каналов

0,07

6100

42,7

1.3.Автоматические телефонные станции систем: -релейной,  декадно-шаговой и координатной -квазиэлектронной, электронной -цифровой

  100номеров  100номеров  256точек подключения

  0,44  0,21  0,20

  437  2000  13200

  1,92  4,2  10,31

1.4.Коммутаторы междугородных и местных телефонных станций

1коммутатор

0,08

7

0,56

1.5.Коммутаторы оперативно-технологической связи

10номеров

0,02

4100

8,2

1.6.Телефонные аппараты

100аппаратов

0,25

12000

30

1.7.Аппаратура высокочастотного телефонирования -полукомплекты цифрового оконечного оборудования

30каналов

0,20

1200

8

-полукомплекты цифрового оконечного оборудования незадейственного -промежуточные регенерационные пункты -промежуточные усилительные станции

 12каналов  1комплект  1станция на одну систему передачи

 0,21  0,02  0,10

 270  37  20

 4,72  0,74  2

1.8.Распорядительные станции диспетчерской связи: -диспетчерской связи на одно направлении -постанционной связи на одно направление

  1комплект  1комплект

  0,03  0,01

  33  -

  0,99  -

1.9.Аппаратура связи совещаний в: -управлениях, отделениях -станциях

 1комплект  1комплект

 0,28  0,10

 11  3

 3,08 0,3

1.10.Аппаратура дальнего набора

1комплект

0,01

37

0,37

1.11.Аппаратура частотного телеграфирования (оконечные установки в одноканальном исчислении)

  10каналов

  0,12

  2

  0,02

1.12.АРМТ-телеграф -факсимильные

1аппарат 1аппарат

0,06 0,06

12 6

0,72 0,36

1.13.Провода воздушных линий связи  ВЛС-магистральные ВЛС-местные

100проводок 100 проводо-км

 0,28 0,28

 3000 132

 8,4 0,36

1.14.Кабельные линии связи -КЛС магистральные -КЛС местные приведённые к 50 парам

  10км 10км

  0,20 0,08

  560 310

  11,2 2,48

1.15.Волоконно оптическая линия связи

10км

0,22

111,4

2,45

1.16.Промпункты оперативно-технологической связи

100промпунктов

1,14

182

2,07

1.17.Часы первичные

1шт

0,03

37

1,11

1.18.Часы электрические вторичные

10шт

0,07

-

-

1.20.Аппаратура охранной и водокачальной сигнализации

10комплектов

0,12

39

0,46

1.21.Аппаратура тональной частоты, переходные и соединительные устройства

10шт

0,03

56

0,16

1.22.Дизельный агрегат

Агрегат

0,11

4

0,44

Итого




148,55

2.Устройства вычислительной техники





2.1.Персональные ЭВМ

10машин

0,33

76

2,5

2.2.Модем

1канал

0,02

2

0,04

2.3.Устройства согласования с объектом

1устройство

0,06

100

6

2.4.Отдельное печатающее устройство

1устройство

0,06

37

2,22

2.5.Аппаратура передачи данных

Комплект

0,48

37

17,76

Итого




28,52

Автоматизированные устройства для обслуживания пассажиров





Промышленные телевизионные установки

1перед. Камера

0,03

12

0,36

Автоматические справочные установки

10установок

0,12

42

0,5

Билетопечатающие машины

10машин

0,49

88

4,31

Автоматические камеры хранения

90ячеек

0,4

45

0,2

Итого




5,37

Всего по РЦС




182,44


Расчёты

1.1)300*0,20/256=0,23

1,16)182*1,14/100=2,07

1.2)6100*0,07/10=42,7

1,17)7*0,03/1=1,1

1.3)437*0,44/100=1,92 2000*0,21/100=4,2 13200*0,20/256=10,31

1,18) -

1.4)7*0,08/1=0,56

1,20)39*0,12/10=0,46

1.5)4100*0,02/10=8,2

1,21)56*0,03/10=0,16

1.6)12000*0,25/100=30

1,22)4*0,11/1=0,44

1.7)1200*0,20/30=8 270*0,21/12=4,72 37*0,02/1=0,74 20*0,10/1=2

2,1)76*0,33/10=2,5

1.8)33*0,03/1=0,99

2.2)2*0,02/1=0,04

1.9)11*0,28/1=3,08 3*0,10/1=0,3

2,3)100*0,06/1=6

1.10)37*0,01/1=0,37

2,4)37*0,06/1=2,22

1.11)2*0,12/10=0,02

2,5)37*0,48/1=17,76

1.12)12*0,06/1=0,72 6*0,06/1=0,36

4.1)12*0,03/1=0,36

1.13)3000*0,28/100=8,4 132*0,28/100=0,36

4.2)42*0,12/10=0,5

1.14)560*0,20/10=11,2 310*0,08/10=2,48

4.3)88*0,49/10=4,31

1.15)111,4*0,22/10=2,45

4.4)45*0,4/90=0,2


1.2 Расчёт показателя качества технической работы РЦС

Плановый показатель качества (Бпл) для РЦС устанавливает дирекция связи по формуле:

 

То

Бпл = Бпс * ---, (2)

Тоср

 

,44

Бпл = 20 * --- = 80 , (2)

45,61

где То - величина технических единиц, обслуживаемых устройств РЦС;

Тоср - усредненная величина технических единиц, обслуживаемых устройств, приходящих на один РЦС дороги.

Бпл=80

Бпл дирекция связи устанавливает не позднее 20 февраля.

1.3 Расчет показателя качества технического обслуживания цеха (бригады)

Для оценки результатов эксплуатационной работы цеха (бригады) устанавливается плановый показатель качества (Бп), рассчитывается по формуле:

 

Бп=  (3)

 

Бп=

где: Бпл - плановое задание РЦС

Тц - сумма технических единиц цеха,

То - сумма технических единиц РЦС.

1.4 Расчёт качества технического обслуживания РЦС

Показатель качества РЦС (Б) рассчитывается по суммарной бальной оценке нарушений работоспособности и является удельной величиной в расчете на каждые 100 технических единиц обслуживаемой техники:

 

Бд= (4) Бд== 46 удовлетворительно

где Ботк- сумма штрафных баллов, начисленных за нарушения работоспособности устройств (баллы начисляются на отказ только, если время восстановления превышает нормативное, если нормативное время не определено Ботк= Бо).

То - величина технических единиц, обслуживаемых РЦС устройств,

0,3 - поправочный коэффициент для ТЕ устройств связи РЦС устанавливается Дирекцией, и может принимать значения 0,8 - 0,2.

.5 Расчёт качества технического обслуживания цеха

Качество технического обслуживания цеха (бригады) определяется по отказам (нарушение нормальной работы) устройств связи, допущенным по вине работников цеха (бригады) РЦС. Классификация отказов, оценка их в баллах и среднее время устранения отказов (tсв) как и по РЦС в целом приведены в Приложении 2

Показатель качества учитывает обеспечение безопасности движения поездов, бесперебойность работы и время восстановлен действия технических средств связи. Отношение планового показателя качества (Бп) к начисленным штрафным баллам определяет результат работы Бк (отлично, хорошо, удовлетворительно, неудовлетворительно) таблица 2.1, 2.2

Показатель качества для цеха (Бк) рассчитывается по формуле:

Бк =  (5) Бк = = 32,56 отлично

где: Бо - сумма баллов, начисленных за нарушения работоспособности устройств, если штрафные баллы не начислены, принимается Бо = Бп.

Бп - плановый показатель качества, утверждаемый для каждого цеха Дорожной дирекцией связи.

Продолжительность отказов средств связи считается с момента нарушения до восстановления работоспособности путем устранения отказа или резервной замены.

Во всех случаях, когда фактическое время восстановления устройств отличается от среднесетевого времени, приведенного в Приложении 2, балльная оценка отказа определяется по формуле:

 

Ботк=Бо+0,5Бо (6) Ботк=2+0,5*2 =3,35

 

где 0,5 Бо  - дополнительно начисленные баллы

 

tcc из-за несвоевременного устранения отказа

о - количество баллов

tcс -среднесетевое время восстановления устройств

tф- фактическое время восстановления устройств.

.6 Оценка категории качества

Высшая категория качества РЦС «отлично» для всех одинакова, а граница между категориями «хорошо» и «удовлетворительно» регулируется заданием Бпл.

Таблица 2.1 Категория качества РЦС

Значения показателя качества РЦС, баллы Б

Категория качества

0-10

Отлично

10,1- Бпл

Хорошо

Бпл- до80

Удовлетворительно

Больше до80

Неудовлетворительно

 

Таблица 2.2 Категория качества цеха ( бригада)

Значение показателя качества цеха

Категория качества

1

Отлично

0,99- 0,4

Хорошо

0,39- 0,2

Удовлетворительно

0,19- 0

Неудовлетворительно


2. План по труду

Планирование эксплуатационного штата

Штат электромехаников, электромантеров и других работников РЦС определяется по «нормативам численности работников регионального центра связи обслуживающих центров связи и вычислительной техники, рекомендации по применению нормативов численности» от 5.06.2007 года РЖД которые действуют с 01.01.2008

Используя нормативы численности рассчитаем требуемый контингент по формуле (7)

, (7)

где Ут.е.- количество одноименных устройствш- штатный норматив, количество единиц техники которую может обслужить один человек

аименование бригад и устройств

Должность профессия

Измеритель

Норма обслуживания

Норматив численности на измеритель

Оснащенность РЦС

Контингент расчетный (явочный) чел

Коэффициент перевода явочной численности в списочную

Расчетная (списочная) численность чел
































































Таблица 3 Расчёт численности работников обслуживающих устройств проводной связи





.2 Планирование годового фонда заработной платы и определения среднемесячной заработной платы

При нормировании заработной платы используем «отраслевую единую тарифную сеть, дополнительные оклады по оплате труда работников занятых в основной деятельности» от 12.08.2008 г. Среднемесячная заработная плата одного работника рассчитывается по формуле (8)

"ФОТ" /"12 месяцевЧ Ч" , (8)

где ФОТ - общегодовой фонд заработной платы

Ч - контингент

"2418693735,32"12 Ч 268" = 7520,81

  Профессия

Кол-во человек

Разряд

Тарифный коэф фициент

Час. тариф. ставка

Месячная тариф. ставка

Доплата за ночные часы

Премия

Общ. заработная плата

Среднем. зарплата с учетом районного коэф фициента

Годовой фонд заработной платы

1

2

3

4

5

6

7

8

9

10

11

РЦСС

1

-

-

119

20944

-

4200

25144

9806,16

117673,92

РЦСН

24

-

-

76

13376

5364,8

4023

22763,8

8877,882

2556830,016

РЦСС

2

-

-

119

20944

-

4200

25144

9806,16

235347,84

РЦСМ

40

6

2,12

54

9504

-

2870

12374

4825,86

2316316,8

РЦСН

13

-

-

76

13376

-

4023

17399

6785,61

1058555,16

РЦСМ

32

6

2,12

54

9504

-

2870

12374

4825,86

1853053,44

РЦСС

12

-

-

119

20944

-

4200

25144

9806,16

1411920

РЦСН

16

-

-

76

13376

5364,8

4023

22763,8

8877,882

1704553,344

РЦСС

4

-

-

119

20944

-

4200

25144

9805

470640

РЦСН

8

-

-

76

13376

5364,8

4023

22763,8

8877,882

852276,672

РЦСМ

17

6

2,12

54

9504

-

2870

12374

4825,86

984475,44

РЦСС

7

-

-

119

20944

-

4200

25144

9805

823620

РЦСН

64

-

-

76

13376

5364,8

4023

22763,8

8877,882

6818213,376

РЦСН

28

-

-

76

13376

5364,8

4023

22763,8

8877,882

2982968,352

ИТОГО










2418693735,32


Месячная тарифная ставка: часы тарифной ставки * 176 РЦСС 119*176=20944 РЦСН 76*176=13376 РЦСМ 54*176=9504

Общая заработная плата: месячная тарифная ставка + премия РЦСС 20944+4200=25144 РЦСН 13376+4023=17399 РЦСМ 9504+2870=12374

Среднемесячная заработная плата с учётом районного коэффициента РЦСС25144*0,3=7543,2*0,3=2262+7543,2= 9806,16 РЦСН17399*0,3=5219,7*0,3=1565,91+5219,7=6785,61 РЦСМ12374*0,3=3712,2*0,3=1113,66=3712,2=4825,66


Таблица 5 Штатное расписание руководителей и специалистов

Профессия

Количество человек

Разряд

Тарифный коэффициент

Часовая тарифная ставка

Месячная тарифная ставка

Премия

Общая заработная плата

Среднемесячная зарплата с учетом районного коэффициента

Годовой фонд заработной платы

1

2

3

4

5

6

7

8

9

10

Начальник РЦС

1

-

-

139,68

24583,68

6960

31543,68

12302,0352

147624,4224

Главный инженер

1

-

-

130,05

22888,8

6480

29368,8

11453,832

11453,832

Зам начальника РЦС

2

-

-

119,21

20980,96

5940

26920,96

10499,1744

251980,1036

Экономист

1

-

-

91,52

16107,52

4560

20667,52

8060,3328

96723,99

Специалист по управлению персоналом

1

-

-

87,30

15364,8

4350

19714,8

7688,77

92265,264

Главный бухгалтер

1

-

-

116,20

204512

5790

26241,2

10234,068

122808,816

Бухгалтер

2

-

-

90,91

16000,16

4530

20530,16

8006,7624

192162,2976

Инженер по связи

1

-

-

101,15

17802,40

5040

22842,4

8908,536

106902,432

Инженер по охране труда и технике безопасности

1

-

-

101,15

17802,40

5040

22842,4

8908,536

106902,432

Дело производитель

1

-

-

54,79

96430,4

2730

12373,04

4825,4856

57905,8272

Итого









1312721,654


По формуле (9) рассчитываю среднемесячную заработную плату одного работника

*12=9116,122 (9)

Месячная тарифная ставка: Начальник РЦС 139,68*176=24583,68 Главный инженер 130,05*176=22888,8 Зам начальника РЦС 119,21*176=20980,96 Экономист 91,52*176=16107,52 Специалист по управлению персоналом 87,30*176=15364,8 Главный бухгалтер 116,20*176=204512 Бухгалтер 90,91*176=16000,16 Инженер по связи 101,15*176=17802,40 Инженер по охране труда и техники безопасности 101,15*176=17802,40 Дело производитель 54,79*176=9643,04

Общая заработная плата: 24583,68+6960=31543,68 22888,8+6480=29368,8 20980,96+5940=26920,96 16107,52+4560=20667,52 15364,8+4350=19714,8 204512+5790=26241,2 16000,16+4530=20530,16 17802,40+5040=22842,4 17802,40+5040=22842,4 9643,04+2730=12373,04


Среднемесячная заработная плата с учётом районного коэффициента:

,68*0,3=9463,104* 0,3=2832,9312+ 9463,104=12302,0352

,8*0,3=8810,64*0,3=2643,192+8810,64=11453,832

,96*0,3=8076,288*0,3=2422,8864+8076,288=10499,1744

,52*0,3=6200,256*0,3=1860,0768+6200,256=8060,3328

,8*0,3=5914,2*0,3=1774,26+5914,2=7688,77

,2*0,3=7872,36*0,3=2361,708+7872,36=10234,068

,16*0,3=6159,048*0,3=1847,7144+6159,048=8006,7624

,4*0,3=6852,72*0,3=2055,816+6852,72=8908,536

,04*0,3=3711912*0,3=1113,5736+3711,912=4825,4856

Годовой фонд:

Начальник РЦС 12302,0352*12*1=147624,4224

Главный инженер 11456,832*12*1=137481,984

Зам начальника РЦС 10499,1744*12*2=251980,1036

Экономист 8060,3328*12*1=96723,99

Специалист по управлению персоналом 7688,77*12*1=92265,264

Главный бухгалтер 10234,068*12*1=122808,816

Бухгалтер 8006,7624*12*2=192162,2976

Инженер по связи 8908,536*12*1=106902,432

Инженер по охране труда и техники безопасности 8908,536*12*1=106902,432

Дело производитель 4825,4856*12*1=57905,8272

.3 Производительность труда

Производительность труда - важнейший экономический показатель работы предприятия.

Уровень производительности труда измеряется количеством продукции, выработанной за единицу времени

ПТ =  (10)

Nг. - объем продукции;

Fг. - фонд рабочего времени.

Или затратами труда на производство единицы продукции

ПТ=  (11)

На предприятиях связи, производительность труда измеряется - количеством технических единиц, приходящихся на одного человека эксплуатационного штата.

ПТ=  , (12)

где, Т - количество технических единиц (тех. ед.); таблица 2

Ч - эксплуатационный штат (чел.).таблица 3

3. Анализ основных производственных финансовых результатов

Анализ деятельности предприятия является важнейшей функцией управления производством, его экономического изучения контроля и оценки результатов хозяйственной и финансовой деятельности выявление возможности трудовых и финансовых ресурсов.

Фактическое значение каждого показателя сравнивается с плановым и уровнем предшествующего года (базисным) выявляет причины отклонения и, разрабатываются мероприятия позволяющие улучшить показатели работы.

Таблица 6 Аналитическая таблица



Расчёты

Отклонение от плана: Оснащенность 2498-2500=-2 Стоимость основных средств 7625000-7625000=0 Фондоотдача 1413-1356=+57 Фондовооруженность 396-400=-4 Доходы 14216-14216=0 Расходы 14653-14399=+254 Прибыль 15850-15250=+600 Рентабельность 30-56=-26 Контингент 317-316=+1 Годовой фонд оплаты  28394240-28394240=0 Среднемесячная оплата труда 6548,38-6548,38=0 Производительность труда 60-60=0

Выполнение плана: 2498/2500*100=99,9  7625000/7625000*100=100 1413/1356*100=104 396/400*100=99 14216/14216*100=100 14653/14399*100=102 15850/15250*100=104 30/56*100=53 317/316*100=100  28394240-28394240*100=100  6548,38/6548,38*100=100 60/60*100=100


.1 Анализ эффективности использования основных производственных фондов

Для определения эффективного использования основных фондов применяют следующие показатели:

.Фондоотдача- показатель, характеризующий уровень эффективного использования основных фондов. Он представляет собой отношение объема продукции, размера дохода или прибыли к годовой стоимости производственных фондов. Как правило, каждый показатель сравнивается с плановым или базовым, если отчетный показатель был больше, то фондоотдача - эффективна.

Фотд=  (13)

Фотд=  (14)

Фотд=  (15)

.Фондоемкость - показатель, обратный показателю фондоотдачи, определяется как отношение среднегодовой стоимости основных производственных фондов к объему выработанной продукции :

чем меньше показатель фондоемкости, тем эффективнее работают основные фонды.

.Фондовооруженность - стоимость основных производственных фондов, приходящихся на одного человека эксплуатационного штата

 

Ф вооруж.=  (16)

где Фопф - стоимость основных производственных фондов ,т.р.,

Ч эк - эксплуатационный штат .

по результатам хозяйственно- финансовой деятельности рассчитайте аналитические показатели, характеризующие состояние и использование производственных фондов предприятия

проанализируйте рассчитанные показатели, их динамику, сформулируйте выводы об эффективности использования производственных фондов предприятия

3.2 Анализ производительности труда

При оценке уровня производительности труда применяется система обобщающих и вспомогательных показателей.

К обобщающим показателям относится среднегодовая, среднедневная и среднечасовая выработка продукции на одного работающего в стоимостном измерении или объём выполненных работ за единицу времени

Наиболее обобщающим показателем производительности труда является среднегодовая выработка продукции одним работающим.

.3 Анализ фонда заработной платы

Наибольший удельный вес в себестоимости продукции занимает фонд оплаты труда. Приступая к анализу использования фонда заработной платы необходимо рассчитать отклонение фактической величины от плановой и сравнить с предыдущим годом.

Анализ заработной платы необходимо также увязывать с анализом контингента и производительности труда.

При анализе производительности труда следует знать, что производительность труда на предприятии изменяется под воздействием множества факторов.

Таких как:

·              повышение технического уровня производства

·              улучшения организации производства

·              изменение объёма и структуры производства

·              изменение внешних условий и прочие факторы

При анализе показателя производительности труда сопоставьте его величину за отчётный период плановой и за ряд прошлых лет с тем, чтобы установить динамику этого показателя и среднемесячной заработной платы. При правильной организации труда темпы роста производительности труда должны быть выше темпов роста заработной платы.

.4 Анализ эксплуатационных расходов

Центральное место в экономическом расчете занимает анализ эксплуатационных расходов и себестоимости. Сравнение эксплуатационных расходов необходимо выполнять в увязке динамикой объёма работ, оснащенности и с данными предшествующих периодов.

В исходных данных предполагается ,что рост объёма работ опережает рост эксплуатационных расходов, что несомненно повлияет на снижение себестоимости. Преподаватель может изменить показатели по своему усмотрению

.5 Анализ прибыли и рентабельности

Доходность хозяйствующего субъекта характеризуется абсолютными и относительными показателями. Абсолютный показатель доходности - это сумма прибыли (доходов). Относительный показатель - уровень рентабельности. Рентабельность представляет собой доходность (прибыльность) производственного процесса. Ее величина измеряется уровнем рентабельности. Уровень рентабельности хозяйствующих субъектов, связанных с производством продукции (товаров, работ и услуг), определяется процентным отношением прибыли от реализации продукции к себестоимости (затратам) продукции:

 

R = (17)

где R - уровень рентабельности, % ;

П - прибыль , руб. ;

Р - затраты , руб. ;

Анализ доходности проводится также в сравнении с планом и предшествующим периодом

4. Вывод и мероприятия по стабилизации финансового состояния предприятия

Финансовый успех деятельности предприятия зависит от понимания того, что было в прошлом и есть в настоящем, затем на основе анализа производственно-финансовых показателей делается вывод о благополучии предприятия, и намечаются мероприятия по выполнению одной из главных целей предприятия - получение максимальной прибыли.

Предложения по улучшению производственно-финансовых показателей необходимо сделать с учётом экономической ситуации в отрасли, на конкретной железной дороге и в стране.

Вывод:

В 2014 году по отношению к 2013 году, РЦС сработало значительно хуже, так как уменьшилась прибыль, тем самым не была достигнута одна из главных задач. Так как для обеспечения увеличения прибыли и организации своевременной и качественной связи производительность труда не должна быть меньше чем в предыдущем году.(Так как производительность труда зависит от персонала).

По оценки категории качества: плановое задание по качеству РЦС выполнена на «удовлетворительно», по качеству цеха выполнена на «отлично».

Годовой фонд оплаты труда не отклонился от плана, следовательно, это не сказалось на организации. Организация в целом сработала удовлетворительно, так как показатели доходов не превышают показатели по отчёту и за предыдущий год.

Учитывая все показатели организации можно сказать, что организация отклонилась от плана в худшую сторону, за исключением расходов.

Список рекомендуемой литературы

1  Карпов И.В., Климович С.Г., Хляпова Л.И. Экономика, организация и планирование хозяйства сигнализации и связи - М.: Марщрут, 2002.

2       Лебецкая Г.И., Анисимов Н.К., Берндт А.Н. Организация, планирование и управление в хозяйстве сигнализации и связи - М.: Маршрут, 2004.

3  Данилин В. Ф. Финансы, денежное обращение и кредит: учебник для техн. и колледж. ж.-д. трансп. М.: ГОУ «УМЦ ЖДТ», 2005.

Приложение



Оснащенность

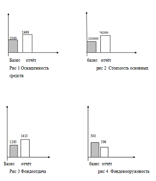
Вывод: В данном графике оснащённости отчет больше базиса на 498.

Стоимость основных средств

В данном графике стоимости основных средств отчет меньше базиса на 7625000

Фондоотдача

В данном графике фондоотдачи отчет больше базиса на 113.

Фонд вооружённость

Вывод: В данном графике фондовооруженности отчет меньше базиса на 104

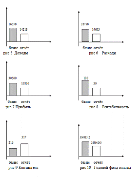
Доходы

Вывод: В данном графике доходов отчет меньше базиса на 2142.

Расходы

Вывод: В данном графике расходов отчет меньше базиса на 14145

Прибыль

Вывод: В данном графике прибыли отчет меньше базиса на 14650.

Рентабельность

Вывод: В данном графике рентабельности отчет меньше базиса на 70.

Контингент

Вывод: В данном графике контингента отчет больше базиса на 101.

Годовой фонд оплаты труда

Вывод: В данном графике годового фонда оплаты труда отчет меньше базиса на 2304275.

Среднемесячная оплата труда

Вывод: В данном графике среднемесячной оплаты труда отчет меньше базиса 995,52.

Производительность труда

Вывод: В данном графике производительности труда отчет больше базиса на 58.