Материал: Анализ пожарной опасности и разработка мер противопожарной защиты процесса окраски

Внимание! Если размещение файла нарушает Ваши авторские права, то обязательно сообщите нам

Анализ пожарной опасности и разработка мер противопожарной защиты процесса окраски

МИНИСТЕРСТВО ПО ЧРЕЗВЫЧАЙНЫМ СИТУАЦИЯМ

РЕСПУБЛИКИ БЕЛАРУСЬ

ГОСУДАРСТВЕННОЕ УЧРЕЖДЕНИЕ ОБРАЗОВАНИЯ

"КОМАНДНО-ИНЖЕНЕРНЫЙ ИНСТИТУТ"

Факультет инженерный

Кафедра пожарной профилактики и предупреждения чрезвычайных ситуаций



КУРСОВАЯ РАБОТА

по дисциплине: "Безопасность технологических процессов"

Тема: "Анализ пожарной опасности и разработка мер противопожарной защиты процесса окраски"

Исполнитель: курсант 31 взвода 3 курса

Гасымов Т.И.

Руководитель: доцент В.П. Артемьев





МИНСК 2011

Содержание

 

1. Описание технологического процесса окраски деталей

2. Основное оборудование технологического процесса

3. Анализ возможных причин повреждения технологического оборудования процесса окраски

3.1 Причины повреждения технологического оборудования

3.2 Мероприятия для предотвращения повреждения оборудования

4.1 Определение пожарной опасности использующихся в технологическом процессе веществ и материалов

4.2 Определение возможности образования горючей среды, внутри аппаратов и в помещениях

Определение возможности образования горючей среды в аппаратах и в помещениях при их нормальной работе

Анализ образования горючей среды и в помещениях при нормальной работе технологического оборудования

4.3 Определение возможности образования горючей среды в помещениях и на открытых площадках в случае аварий в технологическом оборудовании

Анализ возможности образования горючей среды в помещениях и на открытых площадках в случае аварии

Расчетное обоснование пожарной опасности выхода горючих веществ из поврежденного технологического оборудования

4.4 Определение возможности образования в горючей среде источников зажигания

4.5 Расчёт категории помещений, зданий и наружных установок по взрывопожарной и пожарной опасности

Характеристика пожарной опасности помещений

Пожароопасные характеристики обращающихся веществ

4.6 Расчёт категории первого помещения

4.7 Расчёт категории второго помещения

4.8 Расчёт категории третьего помещения

4.9 Расчёт категории четвёртого помещения

4.10 Расчёт категории наружной установки

4.11 Исследование возможных путей распространения пожара

Анализ путей распространения пожара

Мероприятия, предотвращающие пути распространения пожара

5. Обеспечение пожарной безопасности технологического процесса


1. Описание технологического процесса окраски деталей

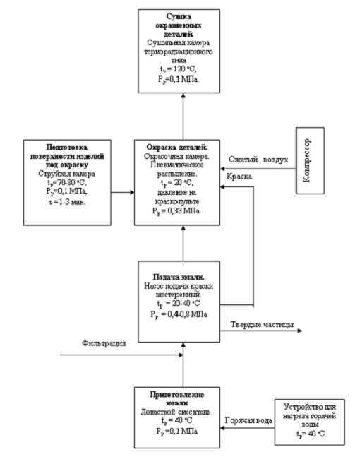
Технологический процесс окраски деталей автомобилей протекает в окрасочном цехе. В данном цехе производится обезжиривание, окраска и сушка деталей машин. Так же в краскоприготовительном отделении цеха путём растворения полуфабриката растворителем приготовляется необходимое количество лакокрасочного материала. Нанесение окрасочных составов на поверхности изделий производится с целью увеличения срока их службы и придания им соответствующего внешнего вида.

Для окрашивания поверхностей применяется эмаль ПФ-115 различных цветов. Полуфабрикат эмали представляет собой суспензию двуокиси титана рутильной формы и других пигментов и наполнителей в пентафталевом лаке с добавлением растворителя. В качестве растворителя применяется т.

Нанесение окрасочных составов на поверхности изделий осуществляется воздушными распылителями (пульверизацией).

Процессу окраски характерны следующие стадии: подготовка поверхности изделий под окраску, приготовления краски, подача краски, окраска деталей, сушка окрашенных деталей.

Рассмотрим подробнее каждую стадию технологического процесса.

Стадия 1. Подготовка поверхности изделий под окраску.

В процессе механической обработки, сборки и транспортировки поверхность металла изделия загрязняется жирами. Для обезжиривания в рассматриваемом технологическом процессе применяется щелочной раствор, являющийся пожаробезопасным моющим средством.

Для щелочного обезжиривания поверхностей применяется раствор, содержащий в 1 л воды 5-10 г кальцинированной соды и 3-5 г тринатрий фосфата. Обработка таким раствором, нагретым до 70-80°С, продолжается 1-3 мин в струйных камерах. Для очистки сильно загрязненных поверхностей содержание тринатрий фосфата в 1 л воды доводится до 20-30 г и добавляется 5-10 г эмульгатора ОП-7. После щелочного обезжиривания поверхность изделий необходимо тщательно промывается водой, так как остатки щелочей могут разрушать лакокрасочные покрытия. Толстые слои жировых загрязнений предварительно удаляются промывкой горячей водой струйным методом.

При обезжиривании щелочной раствор удаляет жиры растительного и животного происхождения - стеарин, сало, олеиновая кислота. Под действием щелочей образуются растворимые соли жирных кислот - мыла, а жиры минерального происхождения - смазочные масла, вазелин, парафин - образуют эмульсии. Мыла и эмульсии с поверхности легко удаляются водой.

Стадия 2. Приготовление эмали ПФ-115 к применению.

Суть стадии - растворение полуфабриката краски до требуемого готового состава путем смешивания с растворителем. Полуфабрикат эмали ПФ-115 подается из бункера в смеситель-растворитель со скоростью 0,007 м3/с. Одновременно из расходной емкости в смеситель-растворитель центробежным насосом подаётся необходимое количество растворителя (уайт-спирита) со скоростью 0,014 м3/с. В смесителе размешивание полуфабриката с растворителем происходит непрерывно.

Растворение до требуемого готового состава краски происходит при температуре 40 °С, которая поддерживается за счет подогрева горячей водой. Из смесителя готовая эмаль перекачивается шестеренным насосом в бак готовой эмали, проходя через фильтр, в котором очищается от твёрдых частичек.

Стадия 3. Подача эмали в окрасочную камеру.

Транспортировка приготовленной эмали производится по трубопроводам диаметром 100 мм с требуемым расходом. Из бака эмаль подается и непрерывно циркулирует за счёт центробежного насоса по кольцевой линии до окрасочной камеры и обратно.

Стадия 4. Окраска деталей.

Окраска осуществляется методом воздушного распыления. Эмаль наносится на поверхность деталей с помощью автоматических пистолетообразных краскораспылителей (пульверизаторов) КРУ-2. Эмаль с температурой до 40-85°С распыляется под давлением 0,33 МПа. К каждому пульверизатору по гибкому рукаву подводится краска от циркуляционного кольца, а по отдельному рукаву - сжатый воздух. Детали поступают в окрасочную камеру после обезжиривания и сушки через открытые проемы в торцовых стенах.

Стадия 5. Сушка окрашенных деталей.

Сушка окрашенных деталей осуществляется в сушильной камере терморадиационного типа. Окрашенные детали перемещаются на конвейере и облучаются со всех сторон ламовыми излучателями с температурой нагрева 350-400°С. В окрасочной камере температура достигает 120°С.

Высушенные детали конвейером подаются на площадку и далее отвозятся тележками на склад.

Рисунок 1. Принципиальная схема процесса окраски

2. Основное оборудование технологического процесса


В данном технологическом процессе используется следующее оборудование:

.        В качестве насоса подачи растворителя - используется центробежный насос нормального давления. Подачу растворителя осуществляет под необходимым напором и заданной производительностью. Состоит из корпуса, крышки корпуса, вала с консольное закрепленным рабочим колесом, а так же уплотнительных сальников, устойчивых к действию толуола.

2.      Мерник растворителя представляет собой закрытый аппарат, выполненный в форме цилиндра с дозирующим устройством. Оборудован дыхательным клапаном и устройством для измерения уровня жидкости.

.        Смеситель растворителя представляет собой закрытый аппарат, состоящий из корпуса с крышкой, смесительного устройства (рабочего колеса). Работает от электродвигателя переменного тока. Приготовление нужного состава и консистенции краски происходит за счет вращения рабочего колеса в смесительной камере. Рабочее колесо представляет собой спаренный диск с лопастями. Смеситель оборудован так же рубашкой охлаждения.

.        Бункер полуфабриката. В качестве данного аппарата используется емкость выполненная из нержавеющей стали, оборудованная дыхательной арматурой, датчиками температуры и давления, боковыми щёками, препятствующими сползанию полуфабриката с волков.

.        Насос подачи краски представлен диафрагменным насосом. Данный насос состоит из плунжера, цилиндра, мембраны и системы впускных и выпускных клапанов. Плунжер возвратно поступательным движением создает перепады давления по одну сторону мембраны, следовательно по другую сторону происходит перекачивание краски с помощью системы клапанов.

.        Фильтр имеет достаточно простое устройство и состоит из корпуса, отстойника с краном для очистки его, перегородки и фильтрующего элемента, задерживающего твердые частицы содержащиеся в краске.

.        Бак готовой краски представляет собой ёмкостный аппарат закрытого типа, оборудованный дыхательными клапанами, датчиками температуры и давления, соединительной и распределительной арматурой.

.        Циркуляционный насос имеет схожее строение с насосом подачи растворителя. Особенностью циркуляционного насоса является его бесперебойное функционирование и поддержание циркуляции краски по кольцевой линии в течение процесса окраски.

.        Краскораспылитель. Основными деталями являются корпус с ручкой, распылительная головка с соплом, запорная игла, пусковой крючок, запорный винт, прокладка и др. При нажатии на пусковой крючок вначале подается воздух в распылительную головку, а затем отводится запорная игла и краска, попадая в поток сжатого воздуха, дробится и образует факел.

.        Расходная ёмкость растворителя - ёмкостный аппарат закрытого типа, оборудованный дыхательными устройствами, датчиками давления и температуры, а так же имеющий устройство аварийного слива и заземление.