Содержание
Введение
1. Теоретическая часть
1.1 Метод уравнений Кирхгофа. Методика расчета
.2 Метод контурных токов (МКТ). Методика расчета
.3 Баланс мощностей
.4 Метод эквивалентного источника напряжения
.5 Метод наложения
. Расчетная часть
Заключение
Курсовая работа посвящена анализу электрического состояния линейных электрических цепей постоянного тока.
Приступая к решению заданий работы необходимо иметь четкое представление о схемах соединения (последовательное, параллельное, смешанное) приемников и источников электрической энергии, их свойствах и о способах расчета линейных электрических цепей постоянного тока.
Задача анализа электрического состояния линейных цепей постоянного тока заключается в определении токов в отдельных ветвях, напряжения между двумя любыми узлами цепи или конкретно на отдельном элементе, а также построение необходимых диаграмм. Расчеты производятся различными методами: по I и II закону Кирхгофа, методом наложения, методом эквивалентного источника напряжения.
Выполнение данной курсовой работы позволяет решить следующие задачи:
закрепить теоретические знания, полученные на лекционном курсе;
развить творческое техническое мышление;
усвоить методики выполнения расчетов;
развить навыки по работе со справочной литературой.
. Теоретическая часть
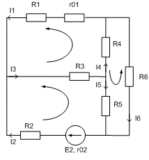
. Пронумеровать ветви (1, 2, 3,..., 7) и обозначить узлы (А, В, С, D) в соответствии с графом цепи.
. Произвольно выбрать и обозначить положительные направления токов в ветвях и полярность напряжения на зажимах источника тока.
3. Для (n-1) узла записать уравнения по 1-му закону
Кирхгофа в форме
.
Алгебраическая сумма токов в любом узле электрической цепи равна нулю. Токи, направленные от узла, следует принять условно отрицательными, а токи, направленные к узлу - положительными (или наоборот).
4. Произвольно выбрать и обозначить совокупность
независимых контуров и направление их обхода. Для каждого контура записать
уравнение по 2-му закону Кирхгофа в форме
.
Алгебраическая сумма падений напряжения на потребителях замкнутого контура равна алгебраической сумме напряжений источников в нем.
При записи левой части положительными будут падения напряжения на тех потребителях, в которых выбранное положительное направление тока совпадает с обходом контура. При записи правой части источники ЭДС (тока), потенциал которых возрастает в направлении обхода контура, принимаются положительными.
Уравнения, записанные по 1-му и 2-му законам Кирхгофа,
образуют систему, число уравнений которой равно числу неизвестных величин.
Применение метода к расчету электрической цепи позволяет уменьшить общее количество уравнений системы до числа r (независимых контуров). Для расчета цепи МКТ необходимо:
. В произвольно выбранной совокупности независимых контуров и обозначить контурные токи. Направление контурных токов выбирается со направленным с направлением обхода контуров.
. Для определения контурных токов составить систему уравнений в следующей
форме
где R11, ..., Rpp - собственное сопротивление контура (арифметическая сумма сопротивлений всех ветвей, входящих в контур);= R21, ..., R1p = Rp1 - общее сопротивление двух контуров, которое может быть положительным, если контурные токи по общей ветви протекают согласно; отрицательным, если контурные токи по общей ветви протекают встречно; равным нулю, если два контура не имеют общей ветви;
Е11, ..., Еpp - контурные ЭДС (алгебраическая сумма ЭДС, включенных в ветви, образующие данный контур. Правило знаков аналогично II закону Кирхгофа).
3. Решить полученную систему уравнений любым известным методом.
. На основании полученных значений контурных токов
рассчитать токи во всех ветвях по 1-му закону Кирхгофа как алгебраическую сумму
контурных токов, протекающих по данной ветви.
Для любой автономной электрической цепи сумма
мощностей, развиваемых источниками энергии (Рист), равна сумме мощностей,
расходуемых в потребителях энергии (Рпотр).
или
.
В левую часть уравнения со знаком "плюс" войдут мощности
источников, отдающих энергию (рис. 2, а, в), а со знаком "минус" -
мощности источников, работающих в режиме потребителей (рис. 2, б, г).
Применение метода целесообразно для определения тока в какой-либо одной ветви сложной электрической цепи. При определении тока k-й ветви методом эквивалентного источника напряжения исследуемая ветвь размыкается, а вся остальная часть цепи, подключенная к зажимам этой ветви, представляется в виде эквивалентного источника напряжения, ЭДС которого равна Еэ.и, а внутреннее сопротивление Rвн. Расчет целесообразно вести в следующем порядке:
. Определить напряжение на зажимах эквивалентного источника Еэ.и, равного Uхx (напряжению на зажимах разомкнутой ветви k в режиме холостого хода). Для этого составить уравнение по 2-му закону Кирхгофа для любого контура цепи, включающего в себя разомкнутые зажимы исследуемой ветви, предварительно рассчитав токи в ветвях цепи в режиме холостого хода ветви k.
. Определить внутреннее сопротивление эквивалентного источника Rвн, равного Rвх (входному сопротивлению пассивной цепи относительно зажимов ветви k; при этом все источники напряжения заменить короткозамкнутыми участками, а ветви с источниками тока - разомкнуть).
. Определить ток в ветви с сопротивлением Rk по закону
Ома:
.
Линейная электрическая цепь описывается системой линейных уравнений Кирхгофа. Это означает, что она подчиняется принципу наложения (суперпозиции), согласно которому совместное действие всех источников в электрической цепи совпадает с суммой действий каждого из них в отдельности.
Метод наложения опирается на принцип наложения и заключается в следующем: ток или напряжение произвольной ветви или участка разветвленной электрической цепи постоянного тока определяется как алгебраическая сумма токов или напряжений, вызванных каждым из источников в отдельности.
При использовании этого метода задача расчета разветвленной электрической цепи с n источниками сводится к совместному решению n цепей с одним источником.
Порядок расчета линейной электрической цепи методом наложения:
. Произвольно задать направление токов в ветвях исследуемой цепи.
. Исходную цепь, содержащую n источников, преобразовать в n подсхем, каждая из которых содержит только один из источников, прочие источники исключаются следующим образом: источники напряжения замыкаются накоротко, а ветви с источниками тока обрываются. При этом необходимо помнить, что внутренние сопротивления реальных источников играют роль потребителей, и поэтому они должны оставаться в подсхемах.
. Определить токи каждой из подсхем, задавшись их направлением в соответствии с полярностью источника, любым из известных методов. В большинстве случаев расчет ведется по закону Ома с использованием метода эквивалентных преобразований пассивных цепей.
4. Полный ток в любой ветви исходной цепи определяется
как алгебраическая сумма токов вспомогательных подсхем, причем при суммировании
со знаком "+" берутся токи подсхем, направление которых совпадает с
направлением тока в исходной цепи, со знаком "-" - остальные.
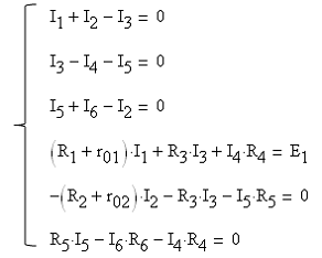
1. Составление на основании законов Кирхгофа системы уравнений для определения токов во всех ветвях схемы. В данной схеме (рис. 1) имеем четыре узла и три независимых контура, следовательно, должно быть три уравнения по 1-му закону Кирхгофа и три по 2-му.
Уравнения по 1-му закону Кирхгофа для узлов A, D, C
(рис. 1):
Уравнения по 2-му закону Кирхгофа для контуров 11, 22,
33 (рис.1):
Решая данную систему из шести уравнений, находим токи
в ветвях.
2. Определение токов во всех ветвях схемы методом
контурных токов. В данной схеме (рис.1) имеем три контура обхода, следовательно
в системе будет три уравнения - 11, 22, 33.
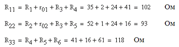
Где собственные сопротивления контуров:
Общие сопротивления:

Решим систему с помощью определителей.
Вычислим контурные токи.
Согласно направлению обхода контуров, находим токи в
ветвях:
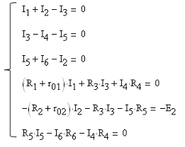
. Определение токов во всех ветвях схемы на основании метода наложения. В данной схеме (рис. 1) два источника питания. Следовательно, находим токи в ветвях схемы от каждого источника по отдельности. Для этого другой источник исключаем из схемы, оставляя только его внутреннее сопротивление (рис. 3, 4).
.1. Нахождение токов схемы от первого источника
питания (рис. 3). Удобнее для нахождения токов воспользоваться системой
уравнений из п.1, заменив в ней второй источник ЭДС на "0":
Рис. 3 - Схема для первого источника
Решив данную систему, находим:
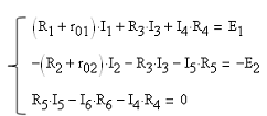
Нахождение токов схемы от второго источника питания
(рис. 4). Удобнее для нахождения токов воспользоваться системой уравнений из
п.1, заменив в ней первый источник ЭДС на "0":
Рис. 4 - Схема для второго источника
ток электрический цепь напряжение
Решив данную систему, находим:
Теперь, для нахождения токов исходной схемы необходимо
сложить значения полученных токов от каждого источника.
4. Баланс мощностей для заданной схемы.
Мощность источников питания:
Мощность, потребляемая схемой:
Различия незначительные, следовательно, можно сказать, что баланс мощностей сходится.
. Результаты расчетов по пунктам 2 и 3.
Таблица 1 - Результаты расчетов по пунктам 2 и 3
|
Результаты по п.2, А |
Результаты по п.3, А |
||
|
I1 |
0,429 |
I1 |
0,429 |
|
I2 |
0,081 |
I2 |
0,08 |
|
I3 |
0,51 |
I3 |
0,509 |
|
I4 |
0,291 |
I4 |
0,29 |
|
I5 |
0,219 |
I5 |
0,219 |
|
I6 |
-0,138 |
I6 |
-0,138 |
Из таблицы 1 видно, что полученные результаты по п.п. 2 и 3 идентичны.
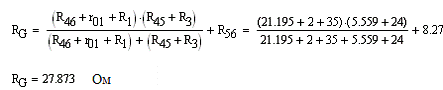
. Определение тока во второй ветви методом эквивалентного генератора.
Находим сопротивление схемы относительно ветви №2. Для
этого исключим из схемы источник ЭДС (рис. 5).
Рис. 5
Преобразуем "треугольник" сопротивлений в
"звезду":
Далее преобразуем параллельные и последовательные
соединения элементов и найдем эквивалентное сопротивление
"генератора":
Для нахождения напряжения "холостого хода"
воспользуемся рис. 6 и законами Кирхгофа.
Рис. 6
Составляем систему по 1-му и 2-му законам Кирхгофа:
Решая систему, находим токи I1 и I5
Далее, по 2-му закону Кирхгофа, находим напряжение
"холостого хода":
Тогда, ток во второй ветви рассчитывается по формуле:
Что совпадает со значением тока, рассчитанным в п.п. 2 и 3.
. Построить потенциальную диаграмму для любого
замкнутого контура, включающего обе ЭДС. Возьмем контур ABCA (рис. 1). Примем
потенциал в точке А равным "0":
Для проверки правильности решения, потенциал в точке
А, рассчитанный через потенциал в точке D должен быть равен "0":
С учетом погрешности правильность полученных результатов подтверждается.
Построим потенциальную диаграмму (рис. 7). По оси Х
расположим ось сопротивлений, по оси Y - потенциалы точек. Переходя от точки к
точке сопротивления суммируются. Где
Рис. 7 - потенциальная
диаграмма
После выполнения данной работы и расчетного задания, я закрепил знания в области применения электротехнических устройств постоянного тока, а также:
освоил методику составления уравнений электрического состояния линейных цепей постоянного тока;
понял эквивалентность схем источников ЭДС и тока;
разобрался в возможности осуществления взаимных преобразований схем соединений пассивных элементов;
- научился проводить анализ линейных электрических
цепей постоянного тока методом непосредственного применения законов Кирхгофа и
составлять уравнения баланса электрической мощности, а также определять ток
любой ветви сложной электрической цепи методом эквивалентного источника
напряжения (эквивалентного генератора).