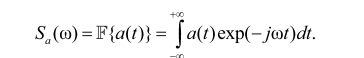
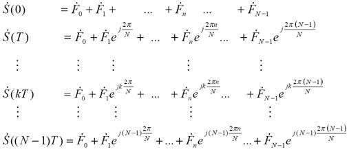
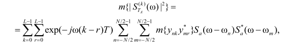
Материал: Аналіз побудови радіотрактів багаточастотних широкосмугових сигналів з OFDM

Внимание! Если размещение файла нарушает Ваши авторские права, то обязательно сообщите нам

Аналіз побудови радіотрактів багаточастотних широкосмугових сигналів з OFDM

Зміст

Перелік умовних скорочень

Вступ

Розділ 1. Аналіз побудови радіотрактів багаточастотних широкосмугових сигналів з OFDM

1.1 Часові характеристики сигналів з OFDM

1.2 Спектральні характеристики випадкової послідовності сигналів з OFDM

1.3 Смуга займаних частот і спектральні маски

1.4 Формування сигналів з OFDM

1.5 Прийом сигналів з OFDM

1.6 Стандарт IEEE 802.11а

1.7 Загасання і інтерференція

1.8 Методи модуляції OFDM - сигналу, зворотне дискретне перетворення Фур'є

1.9 Моделі каналів розповсюдження OFDM-сигналів

1.10 Параметри, що характеризують завадостійкість радіотрактів багаточастотних широкосмугових сигналів

1.11 Імітаційний метод оцінки завадостійкості

1.12 Постановка задачі дослідження

Висновки до розділу

Розділ 2. Розробка імітаційної моделі

2.1 Структура прикладу

2.2 Основні параметри фізичного рівня стандарту 802.11a

2.3 Структура фрейму

2.4 Математичний опис сигналів фрейму

2.5 Формування фрейму фізичного рівня стандарту IEEE 802.11a

2.6 Допустимі помилки в амплітуді при модуляції

Висновки до розділу

Розділ 3. Оцінка завадостійкості

3.1 Параметри що оцінюються

3.2 Планування експерименту

Висновки до розділу

Розділ 4. Охорона праці

4.1 Вимоги до виробничих приміщень для експлуатації ВДТ ЕОМ та ПЕОМ

4.2 Гігієнічні вимоги до параметрів виробничого середовища приміщень з ВДТ ЕОМ та ПЕОМ

4.3 Розробка заходів з забезпечення пожежної безпеки

4.4 Розрахунок штучного освітлення приміщення

Висновки до розділу

Висновок до роботи

Список використаної літератури

Перелік умовних скорочень


3G-HF (3 Generation - Huge Frequency) - широкосмугові короткохвильові радіостанції 3 покоління.

3GPP (англ.3rd Generation Partnership Project) - партнерська асоціація груп телекомунікаційних компаній, головною метою створення якої є розробка і затвердження стандартів для мережевих технологій третього покоління (3G)  <#"801047.files/image001.gif">

Мал.1. Схематичне уявлення сигналів з OFDM в частотній і тимчасової областях

Сигнали з OFDM широко застосовуються в каналах передачі з міжсимвольною інтерференцією, викликаною відображеннями від об'єктів. Ступінь заважає дії межсимвольной інтерференції і ймовірність помилкового прийому залежать від ступеня-перекриття переданіх інформаційних символів. Тому для поліпшення якості прийому сигналів в таких умовах доцільно збільшувати тривалість символу Т. Це можна зробити за рахунок зниження інформаційної швидкості передачі, що не завжди прийнятно.

Одним з відомих способів боротьби з міжсимвольною інтерференцією, засновані на збільшення тривалості символу Т, є застосування методів многопозиційної модуляції, при яких тривалість  символу на виході модулятора збільшується в log2 М порівняно з тривалістю Tb інформаційного символу: Тс = Tblog2M, де М - число можливих елементарних сигналів (сигнальних точок). При формуванні таких сигналів з OFDM використовуються методи фазової маніпуляції ФМ-2, ФМ-4, КАМ-16 і КАМ-64.

Для боротьби з міжсимвольною інтерференцією застосовується захисний інтервал, який додається до переданого сигналу з OFDM, пілотсигнали і завадостійке кодування в поєднанні з перемежуванням. Вставляючи захисний інтервал достатній тривалості на початку кожного блоку символів, можна практично повністю виключити вплив межсимвольної інтерференції. Захисний інтервал являє собою частину тимчасового інтервалу, відведеного для передачі блоку символів, який вставляється перед початком символу.

У сигналах з OFDM застосовуються ортогональні несучі, частоти яких вибираються з умови:


де Т - тривалість символу, fk, f - несучі частоти каналів к і l. При виконанні умови ортогональності міжканальний інтерференція відсутня. За рахунок більш щільного розташування підканалів за частотою спектральна ефективність сигналів з OFDM порівняно зі спектральної ефективністю класичних сигналів з частотною маніпуляцією значно вище.

На інтервалі часу від 0 до Т сигнали з OFDM на несучій частоті  мають вигляд:


Де  - н-а піднесуча частота, N - кількість піднесучих частот, уп - комплексний символ канального алфавіту, призначений для маніпуляції піднесучої н-ної частоти.

На мал.2 як приклад наведено форму послідовності сигналів з OFDM в основній смузі частот для значення числа піднесучих частот N = 1024 і смузі займаних частот сигналом з OFDM Fs = 10 МГц. На кожній частоті, використовується маніпуляція ФМ-4. Швидкість передачі даних на кожній частоті, складає 10,9 кбіт / с.

У тимчасовій області сигнал з OFDM являє собою суперпозицію великої кількості відрізків гармонійних коливань різної частоти (мал.2). Як видно з цього малюнка, пік-фактор такого сигналу може приймати відносно високі значення.

Мал.2: Вид сигналу з OFDM для N=1024, Fs=11,2 МГц

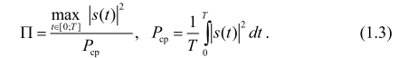
Пік-фактор П сигналів з OFDM являє собою відношення найбільшої (пікової) потужності до середньої потужності сигналу s (t):


Для сигналу з OFDM виду (1.2) з урахуванням того, що справедливо умова ортогональності:


маємо:


Миттєва потужність сигналу з OFDM дорівнює:


Тоді пік-фактор сигналу з OFDM визначається наступним виразом:


Для випадку, коли на піднесучих частотах використовується фазова маніпуляція, середня потужність сигналу  не залежить від значень символів канального алфавіту. Для багаторівневих видів фазової маніпуляції (амплітудно-фазова маніпуляція АФМ, квадратурна амплітудна маніпуляція КАМ) при досить великому N середня потужність сигналу також приблизно постійна. Таким чином:


На Мал.3 як приклад наведені значення миттєвої потужності сигналів з OFDM з використанням на кожній піднесучій частоті двійковій фазової маніпуляції ФМ-2 для значень числа піднесучих частот N = 64 і частоті дискретизації Fs = 11,2 МГц. Тут по осі ординат відкладені значення миттєвої потужності сигналу з OFDM, а по осі абсцис - час. З цього малюнка видно, що пік-фактор зображенного сигналу дорівнює 7.8 дБ, тоді як пік-фактор сигналів з одною несучою і фазовою маніпуляцією дорівнює двійці. При переході до багатопозиційним амплітудно-фазовим методам маніпуляції збільшення пік-фактора сигналів з OFDM ще більш значне.

При великому числі піднесучих частот і обсязі канального алфавіту можна вважати, що пік-фактор сигналу з OFDM є випадковою величиною, значення якої визначається конкретним набором випадкових символів Велика увага до вивчення можливостей зниження пік-фактора коливань пов'язано, в першу чергу, з тим, що саме цей параметр сигналів з OFDM істотно обмежує область їх застосування, особливо в портативних приймально-передавальних пристроях з малим поглинанням потужності. Високе значення пік-фактора коливань призводить до амплітудного обмеження сигналів з OFDM у вихідних ланцюгах передавача і появі в сигналі міжканальній перешкоді, як наслідок, до зниження завадостійкості прийому інформації та збільшенню значень рівня позасмугових випромінювань.

Fs = 11,2 МГц

Мал.3. Миттєва потужність сигналу з OFDM для N = 64,

1.2 Спектральні характеристики випадкової послідовності сигналів з OFDM


Визначимо спектральну щільність середньої потужності випадкової послідовності сигналів з OFDM. На інтервалі часу від - 772 до Т / 2 сигнал з OFDM з комплексними амплітудами yn може бути представлений у вигляді:

або:


Де

 - n-нна піднесуча частота, N - кількість частот, yn - комплексний символ канального алфавіту, призначений для модуляції n-ой частоти піднесучої, a (t) - огинає сигнал на кожній піднесучій.

Розглянемо випадковий процес такого вигляду:


і його усічену  реалізацію на інтервалі


Позначимо спектр обвідної a (t) у загальному випадку прямокутної форми у вигляді:


Тоді спектр  дорівнюэ:


Математичне сподівання енергетичного спектра дорівнюе:


причому у випадку статистично незалежних комплексних символів канального алфавіту:

та:


Зауважимо, що на відміну від випадку детермінованих сигналів складова енергетичного спектра досліджуваних випадкових послідовностей сигналів з OFDM, обумовлена ​​перехресними творами дорівнює нулю. Остаточно маємо:


Таким чином, спектральна щільність середньої потужності сигналу виду визначається наступним виразом:


тобто спектральна щільність середньої потужності сигналу з OFDM дорівнює сумі зрушених копій спектральних густин середньої потужності одночастотного сигналу:


Мал.4. Енергетичний спектр сигналу з OFDM c N = 64

Розглянемо приклад енергетичного спектру сигналів з OFDM для випадку, коли огинаюча сигналів, що застосовуються на кожній частоті, має прямокутний вигляд. Очевидно:


де А - амплітуда обвідної, Т - тривалість обвідної. Отримаємо спектральну щільність середньої потужності сигналу з OFDM з прямокутною огинаючою в квадратурних складових на кожній піднесучій:


де An - амплітуда n-нної піднесучої, рівна нулю, якщо піднесуча не використується в сигналі з OFDM, і одиниці, якщо використовується.

Енергетичний спектр сигналу з OFDM з 64 піднесучими, прямоугольно огинають на піднесучих і ФМ-2 представлений на Мал.4. Тут по осі ординат відкладені значення спектральної щільності середньої потужності сигналу, а по осі абсцис - частота, нормована до частоти дискретизації сигналу. Спектр сигналу з OFDM являє собою суперпозицію спектрів всіх піднесучих.

1.3 Смуга займаних частот і спектральні маски


Відповідно до норм ГКРЧ на ширину смуги радіочастот та позасмугових випромінювання цивільного застосування, контрольна ширина смуги частот випромінювання визначається за рівнем - 30 дБ. За межами такої смуги будь яка дискретна складова спектра позасмугових радіовипромінювань або спектральна щільність потужності позасмугових радіовипромінювань ослаблені не менше, ніж на 30 дБ відносно заданого (вихідного) рівня 0 дБ.

Внеполосним радивипромінюванням називається випромінювання на частоті або частотах, що безпосередньо прилягають до необхідної ширини смуги частот, і яке є результатом процесу модуляції, але не включае побічних випромінювань. Норми на поза смугові випромінювання встановлені за значеннями ширини смуги частот радіовипромінювання на рівнях - 40, - 50 і - 60 дБ відносно заданого (вихідного) рівня 0 дБ.

Розрізняють необхідну AF і займану AF смуги частот (Мал.5).

Мал.5. Необхідна і займана смуги частот і позасмугових випромінювання радіосигналу

В якості займаної смуги частот звичайно приймається смуга, за межами якої зосереджена деяка задана частина середньої потужності випромінюваних коливань.

Для чисельної оцінки AF вводять поняття обмежувальної лінії внелінійного випромінювання. Це лінія на площині координат (рівень - частота), яка встановлюється для кожного класу випромінювання і являється верхньою межею максимально допустимих значень рівнів складаючих внелінійній спектр випромінювання, виражених в децибелах відповідно заданого (вихідного) рівня 0 дБ. Нижнім рівнем вимірюваної потужності випромінювання зазвичай вважають - 60 дБ. При виборі форми застосовуваних сигналів, необхідно прагнути до того, щоб AF була якомога ближче за значенням до AFm.

Бездротові мережі широкосмугового доступу повинні задовольняти стандартам IEEE 802.11 b, g, n (Wi-Fi).

Так, наприклад, координати точок перегину масок спектру для сигна ¬ лов з OFDM з різною смугою частот представлені в табл.1. Допустимий рівень побічних випромінювань в діапазоні частот від 1 до 10 ГГц становить - 50 дБм.

Таблиця 1 Координати точок перегину масок спектра

Смуга частот, МГц

A

B

C

D

E

F

1,25

0,625

0,625

0,893

1,321

2,500

3,125

1,5

0,750

0,750

1,071

1,586

3,000

3,750

1,75

0,875

0,875

1,250

1,850

3,500

4,375

2,5

1,250

1,250

1,785

2,643

5,000

6,250

3

1,500

1,500

2,142

3,171

6,000

7,500

3,5

1,750

1,750

2,499

3,700

7,000

8,750

5

2,500

2,500

3,570

5,285

10,000

12,500

6

3,000

3,000

4,284

6,342

12,000

15,000

7

3,500

3,500

4,998

7,399

14,000

17,500

8,75

4,375

4,375

6,248

9,249

17,500

21,875

10

5,000

5,000

7,140

10,570

20,000

25,000

12

6,000

6,000

8,568

12,684

24,000

30,000

14

7,000

7,000

9,996

14,798

28,000

35,000

15

7,500

7,500

10,710

15,855

30,000

37,500

17,5

8,750

8,750

12,495

18,498

35,000

43,750

20

10,000

10,000

14,280

21,140

40,000

50,000

24

12,000

12,000

17,136

25,368

48,000

60,000

28

14,000

14,000

19,992

29,596

56,000

70,000


Визначення займаної смуги частот за рівнем - 60 дБ визначатиме і смугу частот сигналів з OFDM. У цьому зв'язку, смуга частот сигналів визначається видом енергетичного спектра випадкової послідовності сигналів. При цьому, оскільки швидкість спаду рівня нелінійних випромінювань у таких сигналів вельми низька, смуга займаних частот виявляється досить великою.

1.4 Формування сигналів з OFDM


Однією з переваг класичних сигналів з OFDM є використання при їх формуванні та прийомі методів дискретного перетворень Фур'є. Це істотно спрощує практичну реалізацію приймально-передавальних трактів радіомодемів. При формуванні сигналів з OFDM цифровий потік інформаційних символів надходить на блок завадостійкого кодування, з виходу якого канальні символи подаються на модулятор сигналів (Мал.6). Модулятор сигналів проводить перетворення канальних символів двійкового алфавіту в комплексні модуляційні символи у відповідності з обраним законом маніпуляції. Далі отримані символи надходять на перетворювач послідовного потіку даних в паралельний. Формування группо вого сигналу в цифровому вигляді здійснюється за допомогою зворотного (швидкого) дискретного перетворення Фур'є. На цьому етапі здійснюється додавання в груповий сигнал пілотних піднесучих, які використовуються для оцінки параметрів каналу. Перетворення сигналу в аналогову форму проводиться за допомогою ЦАП.

Спектр дискретного сигналу є періодичною функцією за період, рівний частоті дискретизації Fs. Відновлення аналогового сигналу здійснюється за допомогою ЦАП і фільтра нижніх частот (ФНЧ) із смугою пропускання ∆F. Амплітудно-частотна характеристика ФНЧ повинна бути плоскою в області основної пелюстки спектру сигналу з OFDM і швидко спадати поза основної пелюстки, щоб ефективно подавити копії спектра дискретного сигналу.

Мал.6. Узагальнена структурна схема пристрою формування сигналів з OFDM

У реальних умовах апаратура формування сигналів з OFDM включає в себе блоки завадостійкого кодування, перемежения, блоки тактовою і циклової синхронізації, блоки введення захисного інтервала та ін. Так, наприклад, при побудові апаратури формування сигналів з OFDM в стандарті IEEE 802.11а-205 в режимі WirelessLAN, використовуються наступні параметри:

Кількість точок ОБПФ N = 256;

Число використовуваних частот, 200 (192 інформаційних піднесучих і 8 піднесучих для пілот-сигналів);

Частота дискретизації Fs і тривалості сигналу Т визначаються з табл.2.

Таблиця 2. Параметри сигналу з OFDM в стандарті IEEE 802.16е-2005 для різних значень

, МГ ц

1,75

3,5

7

14

28

Fs, МГц

2

4

8

16

32

T = N/ Fs, мкс

128

64

32

16

8



1.5 Прийом сигналів з OFDM


Основним блоком пристроїв прийому сигналів з OFDM є цифровий блок дискретного (швидкого) перетворення Фур'є. Застосування БПФ істотно спрощує практичну реалізацію прийомних трактів радіомодемів. На Мал.7 наведена узагальнена структурна схема пристрою прийому сигналів з OFDM. На цій схемі вхідний сигнал надходить на змішувач, в якому здійснюється перенесення спектра сигналу в основну смугу частот, далі сигнал подається на ФНЧ з смугою пропукания ∆F і перетвориться в цифровий вигляд за допомогою АЦП. У цифровій частині приймача виконуються процедури тактовою та фазової синхронізації, корекції передавальної характеристики каналу (еквалайзер), демодуляціі і декодування. У бездротових системах передачі даних для реалізації тактової синхронізації застосовується преамбула - сигнал з OFDM з повністю відомими параметрами і хорошими автокореляційними властивостями. Також на етапі тактової синхронізації здійснюеться корекція можливого зсуву сигналу по частоті. Наявність блоку видалення частотного зсуву обов'язкова, тому що сигнали з OFDM чутливий до помилок неортогональності, що виникають унаслідок зсуву сигналу по частоті.

Мал.7. Узагальнена структурна схема пристрою прийому сигналів з OFDM

У приймачі, показаному на Мал.7, реалізується когерентний алгоритм прийому сигналів з OFDM, який забезпечується формуванням всередині блоку БПФ когерентних опорних коливань на кожній піднесучій, паралельного множення вхідного сигналу на опорні коливання і інтегрування творів на тривалості сигналу.

Всі зазначені операції здійснюються всередині блоку БПФ, на вихід блоку надходять результати інтегрування (підсумовування) для кожної піднесучої. Таким чином, когерентний прийом сигналів з OFDM з прямокутною обвідною в дискретній формі здійснюється на основі алгоритму швидкого перетворення Фур'є. Маємо:


Де  - Тимчасові відліки сигналу на виході ЦАП, Сп - вихід суматора на n-нній піднесучій в момент часу, відповідний закінченню сигналу. Таким чином, всі дії з реалізації когерентного прийому сигналів з OFDM здійснюються в блоці ШПФ паралельно. Блок БПФ реалізує банк корреляторів, кожен з яких налаштований на певну піднесучу.

Фазова синхронізація і корекція передавальної характеристики каналу здійснюється в еквалайзері на основі пілотних піднесучих. Пілотні піднесучі являють собою спеціально виділені частоти, рівномірно розподілені в смузі займаних частот, на яких передається заздалегідь відома інформація. На основі аналізу принятих і переданих символів на пілотних піднесучих можна оцінити комплексний коефіцієнт передачі каналу і зсув фази на цих частотах і далі вирішити завдання інтерполяції передавальної характеристики каналу у всій смузі займаних частот.

В демодуляторі здійснюється перетворення отриманих комплексних модуляційних символів у канальні символи довічного алфавіта. Канальні символи надходять на блок декодера завадозахищеного коду і далі до одержувача повідомлень.

1.6 Стандарт IEEE 802.11а


Технологія побудови радіоканалу на основі мультиплексування з ортогональним поділом частот була реалізована в стандарті IEEE 802.11а. Діапазон частот в сигналі OFDM складається з двох частотних смуг загальною шириною 300 МГц. Перша смуга 5,15-5,35 ГГц, друга - 5,725-5,825 ГГц. При цьому перша смуга розділена на дві 100-МГц частини. Таким чином, для передачі використовується три 100-МГц які не перекриваються, кожен з яких передбачає різні обмеження на потужність: 50 мВт в "нижньому", 250 мВт в "середньому" і до 1 Вт в "верхньому". Стандарт 802.11а наказує перехід на метод кодованого ортогонального частотного мультиплексування, швидкість передачі даних досягає 54 Мбіт / с. Робота з такою швидкістю можлива завдяки розбиттю одного "швидкого" 20-МГц каналу на 52 "повільних" 300-кГц несучих. Існуючі специфікації дозволяють одночасно працювати тільки одному пристрою (котрі використовують всі 52 несучих). У стандарті визначено три обов'язкові швидкості передачі даних (6, 12 і 24 Мбіт / с) і п'ять додаткових (9, 18, 24, 48 і 54 Мбіт / с). Є можливість одночасного використання двох каналів, швидкість при цьому подвоюється. Внаслідок складності виробництва більш високочастотного обладнання, реальний випуск пристроїв стандарту 802.11a почався тільки наприкінці 2001р. Відповідно до правил FCC частотний діапазон UNII розбитий на три 100-мегагерцевого піддіапазону, що розрізняються обмеженнями по максимальній потужності випромінювання. Нижчий діапазон (від 5,15 до 5,25 ГГц) передбачає потужність всього 50 мВт, середній діапазон (від 5,25 до 5,35 ГГц) - 250 мВт, а верхній діапазон (від 5,725 до 5,825 ГГц) - 1 Вт. Використання трьох частотних піддіапазонів із загальною шириною 300 МГц робить стандарт 802.11а самим, так би мовити, широкосмуговим з сімейства стандартів 802.11 і дозволяє розбити весь частотний діапазон на 12 каналів, кожен з яких має ширину 20 МГц, вісім з яких лежать в 200-мегагерцовому діапазоні від 5,15 до 5,35 ГГц, а решта чотири канали - у 100-мегагерцовому діапазоні від 5,725 до 5,825 ГГц. При цьому чотири верхніх частотних каналів, що передбачають найбільшу потужність передачі, використовуються переважно для передачі сигналів поза приміщеннями.

Передбачена протоколом 802.11а ширина каналу 20 МГц цілком достатня для організації високошвидкісної передачі. Використання ж частот понад 5 ГГц і обмеження потужності передачі призводять до виникнення ряду проблем при спробі організувати високошвидкісну передачу даних, і це необхідно враховувати при виборі методу кодування даних.

1.7 Загасання і інтерференція


Поширення будь-якого сигналу неминуче супроводжується його загасанням, причому величина загасання сигналу залежить як від відстані від точки передачі, так і від частоти сигналу. При вимірюванні в децибелах величини загасання сигналу користуються формулою:

,

де: X - коефіцієнт ослаблення, рівний 20 для відкритого простору, d - відстань від точки передачі, f - частота сигналу, с - швидкість світла.

З цієї формули безпосередньо випливає, що зі збільшенням частоти переданого сигналу збільшується і його затухання. Так, при поширенні сигналу у відкритому просторі з частотою 2,4 ГГц він слабшає на 60 дБ при видаленні від джерела на 10 м. Якщо ж частота дорівнює 5 ГГц, слабшанню сигналу при видаленні на 10 м складе вже 66 дБ. Враховуючи, що правила FCC диктують використання істотно меншої потужності випромінювання в нижніх піддіапазонах UNII, ніж в діапазоні ISM 2,4 ГГц, стає зрозуміло, що використання більш високих частот у протоколі 802.11а призводить до дещо меншому радіусу дії мережі, ніж в протоколі 802.11b, що представляє собою розширення базового стандарту IEEE 802.11, який припускав можливість передачі даних по радіоканалу на швидкості 1 Мбіт / с і опціонально на швидкості 2 Мбіт / с (у стандарті IEEE 802.11b були вже додані більш високі швидкість передачі - 5,5 і 11 Мбіт / с. Стандартом IEEE 802.11b передбачено використання частотного діапазону від 2,4 до 2,4835 ГГц, який призначений для безліцензійного використання в промисловості, науці та медицині).

Тепер розглянемо інтерференцію. У точці прийому результуючий сигнал являє собою суперпозицію багатьох сигналів з різними амплітудами і зміщеними відносно один одного за часом, що еквівалентно додаванню сигналів з різними фазами. Якщо припустити, що передавач поширює гармонійний сигнал:

 

yin=Asin (2vt)

з частотою несучої ν і амплітудою A, то в приймачі буде отриманий сигнал:

,

де ti - затримка поширення сигналу по i-му шляху

Найбільш негативно на спотворенні сигналу позначається міжсимвольні інтерференція. Оскільки символ - це дискретне стан сигналу, що характеризується значеннями частоти несучої, амплітуди і фази, то для різних символів змінюються амплітуда і фаза сигналу, тому відновити вихідний сигнал вкрай складно.

1.8 Методи модуляції OFDM - сигналу, зворотне дискретне перетворення Фур'є


OFDM модуляція передбачає використання ряду ортогональних піднесучих, модуляція яких здійснюється комплексними інформаційними символами. Введемо інтервал часу, на якому поднесущие будуть ортогональними. Ортогональность забезпечується умовами:

,

Комплексний інформаційний модулюючий символ має вигляд:

,

 - Амплітуда символу,  - фаза символу, n = 0, 1, 2, 3,., (N-1).

Безперервний сигнал на інтервалі часу, що складається з N піднесучих, модульованих символами:


Де

 - частота n - ної піднесучої.

Таким чином, для забезпечення ортогональності модульованих піднесучих, достатньо виконання умови:

.

Перейдемо від безперервного сигналу до дискретного:

=kT, k=0, 1, 2, 3, …, (N-1).

Період дискретизації виберемо з умови:

u/T = N.

В результаті отримаємо форму сигналу:

,

де - значення сигналу в момент часу kT.

Таким чином ми перейшли від безперервної форми опису OFDM - сигналу до дискретного. Отриманий вираз являє собою дійсну частину зворотного дискретного перетворення Фур'є. У збудниках ОДПФ здійснюється в комплексній формі, тому наш сигнал набуває вигляду:

.

Розкриємо цей вираз, попередньо опустивши коефіцієнт 1/N. В результаті отримаємо систему з N рівнянь, кожне з яких з точністю до постійного коефіцієнта визначає значення сигналу в момент часу (kT):


Дана система рівнянь відображає процес модуляції піднесучої інформаційними символами. При цьому:

·        Кожен символ модулює тільки одну поднесущую;

·        У формуванні кожного відліку беруть участь всі символи;

·        Процеси формування піднесучих і їх модуляції в рамках ОДПФ суміщені.

Для того щоб цей вид модуляції був застосуємо на практиці, а саме можна було як передавати так і приймати сигнал сформований таким чином, покажемо що його можна демодулювати. При цьому будемо вважати, що в приймальному пристрої на основі прийнятого сигналу сформовані відліки. Застосуємо до них пряме дискретне перетворення Фур'є:

.

Розкриємо отриманий вираз. В результаті отримаємо систему з N рівнянь, кожне з яких визначає значення комплексного інформаційного символу:


Аналіз цієї системи рівнянь показує, що виділення кожного символу реалізується шляхом інтегрування на інтервалі часу Tu твори комплексного значення OFDM-сигналу на певну комплексну експоненту і стає можливим завдяки ортогональності системи.

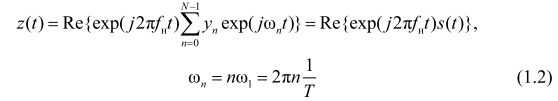
Таким чином ми показали можливість демодуляції OFDM - сигналу, смодулірованнго за допомогою ОДПФ. Тепер перетворимо формулу модуляції, виділивши дійсну і уявну частини:


За цією формулою і будемо здійснювати модуляцію з використанням емпіричних функцій синуса і косинуса.

У формулі по якій ми здійснюємо даний метод модуляції присутні тригонометричні функції sin () і cos (). Комп'ютер обчислює їх шляхом розкладання в ряд і внаслідок це займає багато часу. Розглянемо інші методи обчислення тригонометричних функцій на прикладі синуса. Якщо обчислювати синус звичайним оператором sin (), то це дає точний результат. Таким методом зручно користуватися, якщо значення синуса потрібно обчислити один або кілька разів. Якщо ж синус доводиться рахувати багато разів, то буде зручно скористатися іншим методом, який буде витрачати менше часу. Суть методу полягає в тому, що спочатку вираховуються значення синуса аргументів, які беруться з невеликим інтервалом. Ці значення запам'ятовуються. А потім, коли нам потрібно обчислити синус, то ми із заповнених значень відшукуємо те значення, яке відповідає аргументу, найбільш наближеному до того, який потрібно порахувати. При цьому може утворитися похибку. Вона буде тим менше, чим менше ми будемо вибирати крок, з яким вважалися значення синуса для запам'ятовування. Ще один метод обчислення синуса - за допомогою розкладання в ряд Маклорена.

Уявімо функцію синуса у вигляді перших двох членів розкладання ряду Маклорена:


Для того, щоб знайти коефіцієнти і спочатку візьмемо похідну цієї функції і знайдемо точки екстремумів, потім прирівняємо значення функції в точках, відповідних максимуму, - одиниці, як максимальному значенню синуса:


Для того щоб знайти коефіцієнти і потрібно ще одне рівняння. Підставами у вихідне розкладання синуса і прирівняємо до к :.


Виходить система рівнянь:


Вирішуючи цю систему, отримаємо:


Таким чином, синус в діапазоні від 0 до можна вважати за формулою:

(x) =x (0.99904-0.16037x)

 

Аналогічно можна зробити і для косинуса:

(x) =0.99809-0.4749x

1.9 Моделі каналів розповсюдження OFDM-сигналів


Канал з адитивним білим гаусовим шумом. Адитивний білий гаусів шум (АБГШ, англ. Additive white Gaussian noise, AWGN) - вид білого шуму, що заважає в каналі передачі інформації.

Широкосмуговий шум випромінюється від багатьох природних джерел, таких як теплові коливання атомів в провідниках (теплові шуми або шуми Найквіста), дробовий шум <#"801047.files/image081.gif"> на індекс подій дискретного часу i.  є сумою вхідного сигналу  і шуму, , де  є незалежні і однаково розподілені <#"801047.files/image084.gif"> (шум).  Далі планується не корелювати з :


Пропускна здатність каналу нескінченна, якщо шум n не дорівнює нулю, і  в достатній мірі обмежені. Найбільш поширеним обмеженням на вході є таке обмеження, при якому для кодового слова , переданого через канал, маємо:


де

 являє собою максимальну потужність каналу. Таким чином, пропускна здатність каналу <#"801047.files/image090.gif">

де

 це функція розподілу . Запишемо , в термінах диференціальної ентропії <#"801047.files/image094.gif">

Але  і  незалежні, тому:


Оцінюючи диференціальну ентропію як гауссову маємо:


Тому  і  незалежні і їх сума дає :


За цією оцінкою, з властивості диференціальної ентропії випливає, що


Тому пропускна здатність каналу задається максимально можливою границею взаємної інформації:


Де  максимізує, коли:


Таким чином, пропускна здатність каналу  для каналу з AWGN визначається за формулою:


Існує ряд моделей каналів, стандартизованих і рекомендованих до застосування при моделюванні систем рухомого зв'язку. Широке поширення отримали моделі, рекомендовані Міжнародним Союзом Електрозв'язку (ITU), такі як Channel model A, B, C та D.

Данні моделі розробленні для перевірки та визначення параметрів обладнання, але на відміну від таких же моделей 3GPP, націлені на мережевих проектувальників для побудови системи та перевірки працездатності. Оскільки не має сенсу для побудови моделей всіх можливих варіантів середовищ розповсюдження, МСЕ запропонувало набір тестових середовищ, що адекватно обхоплює загальний діапазон можливої експлуатації середовища та мобільність користувача.

У Табл.3 та Табл.4 наведені основні параметри для моделі каналу рухомого зв'язку Channel A та B.

Моделі мають 6 променів із заданими затримками і потужностями. Завмирання в каналі мають релеєвский розподіл, а доплерівська частота залежить від швидкості руху абонента.

Таблиця 3. Параметри моделі каналу Channel A

Промінь

Затримка, нс

Середня потужність, дБ

1

0

0.0

2

310

-1.0

3

710

9.0

4

1090

10.0

5

1730

15.0

6

2510

20.0


Таблиця 4. Параметри моделі каналу Channel B

Промінь

Затримка, нс

Середня потужність, дБ

1

0

-2.5

2

300

0

3

8910

-12.8

4

12900

-10.0

5

17100

-25.2

6

20000

-16.0


Моделі каналу Channel A та B використовуються для моделювання закритих (офіси, робочі приміщення, тощо) та відкритих (великі площі з можливим пересуванням значних мас людей) середовищ передачі, моделі C і D призначенні для розгляду каналу в середовищі швидкого переміщення абонентського терміналу (авто-, мототехніка, авіація, громадський транспорт).

1.10 Параметри, що характеризують завадостійкість радіотрактів багаточастотних широкосмугових сигналів


Завадостійкість - здатність обладнання функціонувати за призначенням без погіршення його роботи за наявності електромагнітних завад. Серед параметрів, що характеризують завадостійкість радіотрактів багаточастотних широкосмугових сигналів слід виділити відношення сигнал/шум та ймовірність помилки прийому сигналу.

Співвідношення сигнал/шум (ССШ або ВСШ, англ.  <#"801047.files/image105.gif">, де P середня потужність. Сигнал і шум обидва повинні бути виміряні в тій же або еквівалентній точці в системі, в межах однієї і тої ж смуги пропускання <#"801047.files/image106.gif">.

Імовірність помилки залежить: від виду модуляції, способу детектування (когерентний, некогерентний), способу фільтрації сигналів в приймачі (оптимальний фільтр, неоптимальний фільтр), потужності Pc (енергії Ec) сигналу, потужності Pп (спектральної щільності N0) перешкоди. Якщо в приймачі використовується неоптимальний фільтр, ймовірність помилки залежить від величини відношення потужності сигналу до потужності перешкоди (відношення сигнал/шум по потужності) h2 = Pс/Pп.

При використанні в приймачі оптимального фільтра ймовірність помилки визначається величиною відносини енергії елемента сигналу до спектральної щільності потужності перешкоди:

.

У приймачі з оптимальним фільтром відношення сигнал / шум більше, ніж в приймачі з неоптимальним фільтром і, відповідно, завадостійкість вище.

Приймач з оптимальним фільтром і когерентним способом прийому забезпечує потенційну перешкодостійкість для заданого виду модуляції.

1.11 Імітаційний метод оцінки завадостійкості


Під аналізом в режимі реального часу мається на увазі, що аналіз даних здійснюється відразу ж після їх збору. Якщо програма повинна виконувати якісь дії в залежності від зміни параметрів сигналу, отже, необхідно проводити аналіз даних відразу після отримання. Аналізуючи зміни сигналу, можна змінювати поведінку програми у відповідності з ними, наприклад, зберігати певні дані на диск або міняти частоту оцифровки, а також виконувати функції автоматичного керування. Це лише кілька прикладів, на ділі ж існують тисячі додатків, в яких потрібна та чи інша ступінь "інтелектуальності" і здатності приймати рішення в залежності від різних умов - адаптованості. Все це можна реалізувати тільки шляхом вбудовування алгоритмів аналізу в програму.

Зазвичай рішення, засновані на результатах вимірів, приймаються в автоматичному режимі, тобто в програму вбудовується логіка роботи в певних умовах. Наприклад, система автоматизації на виробництві може включити світлову індикацію, коли температура піднімається вище заданого порогу. Однак автоматичний режим прийняття рішення підходить не для всіх додатків. Дуже часто необхідно особисто контролювати процес виконання програми, щоб уникнути ситуацій, коли користувачі зберігають дані у файли або базу даних, а потім витягують і аналізують їх лише для того, щоб виявити помилки і скоригувати процес збору. У таких випадках застосування повинне надати користувачеві зібрані і оброблені дані в максимально зручному для сприйняття вигляді.

Незалежно від методу аналізу, програми надають користувачеві набори математичних функцій і функцій аналізу, які природним чином взаємодіють з функціями збору даних і відображення інформації. При цьому користувач позбавлений від необхідності конвертації даних з одних форматів в інші, що вимагається при роботі з декількома різними інструментами збору та аналізу даних. Крім цього, є можливість проведення аналізу по точкам - методу, найбільш відповідного для додатків, що працюють в режимі реального часу.

Більшість середовищ розробки не дозволяють вести одночасно і збір даних та їх відображення в одному додатку. Типовий продукт - це або мова програмування загального призначення з мінімумом бібліотек для обробки сигналів, придатний в основному для розробки додатків по збору даних, або середу з величезною кількістю інструментів для аналізу сигналів, але обмеженою підтримкою роботи з обладнанням. У результаті доводиться витрачати час на конвертацію та передачу даних з однієї програми в іншу.

Функції які повинна виконувати програма:

спектральні вимірювання

виміри спотворень

тональні вимірювання

вимірювання амплітуди та рівня

вимірювання перехідних процесів

апроксимація кривих

статистика

згортка та кореляційні функції

імітація та моделювання сигналів

маскування і обмеження

згладжування і пере дискретизація, Simulink і продукти для обробки сигналів дозволяють аналізувати сигнали, що надходять з інструментів та інших джерел даних. У цих продуктах реалізовано повноцінне середовище для отримання сигналу, аналізу, обробки, візуалізації і розробки алгоритму. Пропоновані підходи до вирішення завдань легко освоїти: розробник не зобов'язаний бути фахівцем в області цифрової обробки сигналів.

Продукти MathWorks дозволяють отримувати та обробляти сигнали в єдиному середовищі. Сигнали в реальному часі надходять в робоче середовище безпосередньо з підключених осцилографів, генераторів функцій і інших сумісних з персональним комп’ютером апаратних засобів і інструментів для тестування і вимірювань.

За допомогою вбудованих засобів можна проводити аналіз характеристик отриманих сигналів і використовувати різні варіанти візуалізації: графіки у часовій і частотній області, двовимірні та тривимірні графіки, об'ємні уявлення та ін.

Вбудовані бібліотеки дозволяють досліджувати ідеї і тестувати їх реалізацію в системі обробки сигналів. Для цього в них реалізована вся необхідна функціональність: перетворення сигналу, віконні функції, швидкісні і статистичні операції обробки сигналу, методи розробки фільтрів. Завдяки цим бібліотекам стає можливим прискорення ітерацій розробки, оптимізація швидкодії та точності, вибір кращого алгоритму для системи.

Для вирішення складних завдань, які зачіпають різні сфери інженерної діяльності, розробник може застосувати алгоритми обробки зображень, статистики, управління та бібліотеки сучасних чисельних обчислень.

Після розробки алгоритму для цифрової обробки сигналів можна негайно надати його кінцевому користувачеві, не переписуючи код на інші мови програмування.Compiler™ дозволяє створювати з додатків MATLAB незалежні виконувані модулі або спільні бібліотеки. При цьому кінцевий користувач може запускати додаток поза середовища MATLAB. Таким чином можна заощадити час розробника, не переписуючи код алгоритму на інші мови програмування.

Системи зв’язку MATLAB, Simulink і спеціальні інструменти для систем зв’язку надають відкрите розширюване середовище моделювання, взаємозв’язок з обладнанням третіх виробників і засоби для розробки C / C++ і HDL коду.

Інженери працюють в середовищі розробки і моделювання яка:

Надає великий набір інструментів для розробки алгоритмів і дослідження архітектури виробів

Дозволяє спільно працювати співробітникам займаються різними напрямками

Сприяє інтеграції зі старим кодом і обладнанням третіх виробників

Дозволяє проводити швидку верифікацію моделі і алгоритмів протягом всього циклу розробки

Програма Simulink є додатком до пакету MATLAB. При моделюванні з використанням Simulink реалізується принцип візуального програмування, відповідно до якого, користувач на екрані з бібліотеки стандартних блоків створює модель пристрою і здійснює розрахунки.

При цьому, на відміну від класичних способів моделювання, користувачеві не потрібно досконально вивчати мову програмування і чисельні методи математики, а досить загальних знань потрібних при роботі на комп’ютері і знань тієї предметної області, в якій він працює.є досить самостійним інструментом MATLAB і при роботі з ним зовсім не потрібно знати сам MATLAB і інші його додатки. З іншого боку доступ до функцій MATLAB і іншим його інструментам залишається відкритим і їх можна використовувати в Simulink. Частина входять до складу пакетів які мають інструменти, що вбудовуються в Simulink (наприклад, LTI-Viewer програми Control System Toolbox - пакету для розробки систем управління). Є також додаткові бібліотеки блоків для різних галузей застосування (наприклад, Power System Blockset - моделювання електротехнічних пристроїв, Digital Signal Processing Blockset - набір блоків для розробки цифрових пристроїв і т. д).

При роботі з Simulink користувач має можливість модернізувати бібліотечні блоки, створювати свої власні, а також складати нові бібліотеки блоків.

При моделюванні користувач може вибирати метод розв'язання диференціальних рівнянь, а також спосіб зміни модельного часу (з фіксованим або змінним кроком). У ході моделювання є можливість стежити за процесами, що відбуваються в системі. Для цього використовуються спеціальні пристрої спостереження, які входять до складу бібліотеки Simulink. Результати моделювання можуть бути представлені у вигляді графіків або таблиць.

Перевага Simulink полягає також у тому, що він дозволяє поповнювати бібліотеки блоків за допомогою підпрограм написаних як мовою MATLAB, так і на мовах С, Fortran і Ada.

Практична стійкість передачі інформації в каналах з шумами і перешкодами залежить від вибору канальних сигналів і від типу коригувальних кодів. Завадостійкість каналу передачі від інформаційного потоку на вході до вихідного потоку у споживача інформації зазвичай називають наскрізною. Навіть при простих моделях передачі виникає багато обчислювальних труднощів визначення кривих наскрізний завадостійкості. Особливо великі труднощі при складанні формул розрахунку наскрізних кривих виникають при використанні багатоступеневих каскадних кодів. Для подолання розрахункових труднощів хорошим засобом є моделювання в середовищі MATLAB, Simulink. Особливо цінним є моделювання в середовищі MATLAB, Simulink тому, що крім кривих завадостійкості можна порівнювати вхідні та вихідні потоки інформаційних символів і на основі цього визначати наскрізну завадостійкість. У добавок MATLAB дозволяє перевіряти деякі теоретичні передумови. Якщо в каналі використовувати різні M-ступінчасті каскадні коди і різні канальні сигнали, то отримаємо цілу серію кривих завадостійкості, на основі аналізу яких не так вже й легко вибирати оптимальні варіанти складових компонент.

Імітація моделей каналів передачі розроблялося в середовищі MATLAB за допомогою програмних модулів Simulink, Communication Toolbox і Communication Blockset. Це середовище дозволяє отримати результати моделювання або у вигляді кривих наскрізної завадостійкості (BER від відносини S/M в безперервної частини каналу передачі) шляхом порівняння вхідного і вихідного інформаційних потоків, або у вигляді прямого порівняння результатів (message error). При одноразовому випробуванні моделі результат прямого порівняння є випадковою величиною, але дозволяє при відповідній організації моделювання з'ясувати тонкі аспекти завадостійкості компонентів моделі. Коректність виконання процесів моделювання та отримання результатів для аналізу з допомогою програми MATLAB під сумнів не ставилися. Однак результати моделювання мають певний випадковий характер через кінцевий обсяг даних моделювання.

1.12 Постановка задачі дослідження


Розглянувши роль та важливість OFDM у застосуванні в нових системах передачі, як дротових так і радіо, стає зрозумілим що даний вид модуляції є перспективним. OFDM застосовується в багатьох сучасних стандартах бездротового доступу IEEE, ETSI та у стандартах інститутів інших країн, саме завдяки властивості зниження впливу різного виду завад. Але механізм реалізації є досить громістким, таким чином постає питання про вибір можливої альтернативи використанню OFDM-технології, з відповідним порівняльним аналізом та побудовою імітаційної моделі оцінки завадостійкості, для певного виду модуляції та відповідно стандарту бездротового широкосмугового доступу.

Для дослідження завадостійкості радіотрактів СБШС модель повинна враховувати особливості багатопроменевого розповсюдження зазначених сигналів, бути чутливою до бітового відношення сигнал/шум в каналі розповсюдження та повторювати механізм формування сигналу досліджуваного стандарту.

Операції завадостійкого кодування, перемежування та відповідні їм операції при демодуляції сигналу є незалежними від завадостійкості самих радіотрактів і в моделі можна їх не враховувати.

Оцінка завадостійкості радіотракту здійснюється за величиною імовірності помилки переданого біта (дискрета) на ділянці від входу модулятора передавача до вих. демодулятора приймача. Під демодулятором мається на увазі пристрій переносу спектру OFDM-сигналу з ВЧ несівного коливання на частоту обробки (відеочастоту) в приймачі.

Висновки до розділу


Сигнали з OFDM широко застосовуються в каналах передачі з міжсимвольною інтерференцією, викликаною відображеннями від об'єктів. Ступінь заважає дії межсимвольной інтерференції і ймовірність помилкового прийому залежать від ступеня-перекриття переданіх інформаційних символів. Тому для поліпшення якості прийому сигналів в таких умовах доцільно збільшувати тривалість символу Т. Це можна зробити за рахунок зниження інформаційної швидкості передачі, що не завжди прийнятно.

Одним з відомих способів боротьби з міжсимвольною інтерференцією, засновані на збільшення тривалості символу Т, є застосування методів многопозиційної модуляції, при яких тривалість  символу на виході модулятора збільшується в log2 М порівняно з тривалістю Tb інформаційного символу: Тс = Tblog2M, де М - число можливих елементарних сигналів (сигнальних точок). При формуванні таких сигналів з OFDM використовуються методи фазової маніпуляції ФМ-2, ФМ-4, КАМ-16 і КАМ-64.

Для боротьби з міжсимвольною інтерференцією застосовується захисний інтервал, який додається до переданого сигналу з OFDM, пілотсигнали і завадостійке кодування в поєднанні з перемежуванням. Вставляючи захисний інтервал достатній тривалості на початку кожного блоку символів, можна практично повністю виключити вплив межсимвольної інтерференції.

Розділ 2. Розробка імітаційної моделі


IEEE® 802.11a WLAN Physical Layer

Ця модель показує смуги модель кінця в кінець фізичного рівня бездротової локальної мережі (WLAN) за стандартом IEEE ® 802.11a. Модель підтримує всі обов'язкові і необов'язкові швидкісті передачі даних: 6, 9, 12, 18, 24, 36, 48 і 54 Мбіт / с. Модель також ілюструє адаптивну модуляцію і кодування над диспергирующей багатопроменевого завмирання каналу, в результаті чого моделювання змінюється швидкість передачі даних динамічно. Зверніть увагу, що модель використовує штучно високий рівень завмирання каналу, щоб зробити зміни швидкості передачі даних швидше і тим самим зробити візуалізацію більш анімованою і повчальною.

2.1 Структура прикладу


Модель містить компоненти, що моделюють основні функції стандарту WLAN 802.11a. Верхній ряд блоків містить компоненти передавача, а нижня рядок містить компоненти приймача.

Система зв'язку в даному прикладі виконує наступні задачі:

. Генерація випадкових даних на швидкості, яка змінюється в процесі моделювання. Різній швидкості передачі даних здійснюється періодично дозволяючи блок джерела протягом часу, який залежить від бажаної швидкості передачі даних.

Мал.8. Модель IEEE 802.11a WLAN PHY.

. Кодування, перемеженіє і модуляцію з використанням одного з декількох схем, визначених у стандарті.

Щоб дослідити ці операції, виберіть блок модулятор банку та оберіть подивіться під маскою з меню Правка вікна. Потім виберіть будь-який з модулятора блоків у підсистемі і виберіть подивитися під маскою з меню Правка вікна.

Зокрема, кожен модулятор блок в банку виконує такі завдання:

·        Згортального кодування і проколювання за допомогою коду темпи 1/2, 2/3 і 3/4

·        Дані чергування BPSK, QPSK, 16-QAM і 64-QAM модуляція

·        OFDM (мультиплексування з ортогональним частотним поділом каналів) передачі з використанням 52 піднесучих даних, 4 пілотів, 64-точкові БПФ і 16-зразок циклічний префікс.

·        PLCP (протоколу конвергенції фізичного рівня) преамбула моделюється як чотири довгих послідовностей навчання.

·        Дисперсійний багатопроменевого завмирання каналу. Ви можете налаштувати властивості каналу за допомогою діалогового вікна блоку багатопроменевого каналу.

·        Приймач вирівнювання.

·        Спрощення та допущення. Для простоти в цьому прикладі

·        Фіксує кількість символів даних у кожному пакеті і опускає майданчик біти

·        Працює постійно від кадру до кадру і, таким чином опускає хвостові біти, які були б використані для скидання стану декодера

·        Виправляе рівень потужності передачі, замість зміни середньої ЗСШ каналу

·        Передбачається придбання ідеалізована часу / частоти

Крім того, в прикладі не моделюються аспекти стандарту IEEE 802.11a:

·        MAC / PHY інтерфейс і PLCP заголовок (TXVECTOR / RXVECTOR)

·        Дані скремблірованіе, який є необхідним у цьому прикладі, оскільки дані випадковиі

·        Короткі послідовності навчання (для автоматичного регулювання посилення, різноманітність, вибір часу / придбання частота)

·        Кольорова схема. Модель використовує кольори на верхньому рівні ієрархії, щоб допомогти вам відрізнити блоки, які грають різні ролі.

2.2 Основні параметри фізичного рівня стандарту 802.11a


Стандарт 802.11a розроблений американським інститутом IEEE та специфікує фізичний рівень (PHY) передачі даних в локальних обчислювальних мережах нового покоління, що працюють в частотному діапазоні 5 ГГц і забезпечують швидкість передачі даних до 54 Мбіт / с. Основні параметри стандарту 802.11a наведені в табл.4 і будуть пояснені нижче.

Таблиця 4. Основні параметри стандарту 802.11a.

2.3 Структура фрейму

Стандартом 802.11a наказаний пакетний (фреймової) режим передачі даних. На Мал.9. показаний один фрейм. Видно, що він складається з трьох основних частин (субфреймів): преамбули ("PREAMBLE"), поля "SIGNAL" і переданих даних ("DATA"). Частотна структура OFDM-фрейма наведена на Мал.10, а тимчасова структура преамбули та поля "SIGNAL" показана на Мал.11.

Мал.9. Структура фрейма фізичного рівня стандарту 802.11a.

Мал.10. Частотна структура фрейма OFDM-системи стандарту 802.11a.

Мал.11. Тимчасова структура преамбули і заголовка кадру.

Таким чином, кожен фрейм починається з преамбули (субфрейм"PREAMBLE"). Тривалість преамбули становить 16 мкс. Вона складається з 10 коротких тренуючих OFDM-символів тривалістю 0.8 мкс кожен і з 2 довгих тренирующих OFDM-символів тривалістю 4.0 мкс кожен (див. Мал.9). Короткі навчальні символи необхідні для детектування (визначення наявності) сигналу, синхронізації і грубої оцінки зсуву частоти між приймачем і передавачем. Навчальна послідовність, що складається з двох довгих однакових навчальних символів Т 1, Т 2 і подвоєного захисного інтервалу G12, призначена для точного оцінювання частоти і частотної характеристики просторового каналу зв'язку. Для передачі преамбули використовується BPSK-модуляція з темпом 1/2. За стандартом 802.11a розстройка частоти між приймачем і передавачем (після точного підстроювання частоти) не повинна перевищувати 2 × 10 - 5 (0,002%) від несучої частоти, тобто в даному випадку (діапазон 5 ГГц) розстройка частоти між приймачем і передавачем повинна бути менше 100 кГц. Таким чином, при максимально можливій розстройке, фаза може збиватися на π за час 5 мкс. За цей час може бути переданий тільки один символ. Після преамбули передається субфрейм "SIGNAL", який являє собою один OFDM-символ тривалістю 4 мкс і показаний на Мал.10. Структура цього субфрейма показана на Мал.12. Заголовок складається з 24 біт. Перші 4 біта (R1 - R4) з поля "RATE" застосовуються для повідомлення про використаний темпі для передачі данних (див. табл.5).5-ий біт зарезервований на майбутнє. Наступні 12 біт (поле"LENGTH") застосовуються для повідомлення про тривалість даних, які будуть передано у цьому фреймі.18-ий біт - біт парності. Нарешті, останні 6 біт (поле"SIGNAL TAIL") - це нульові біти, необхідні для приведення регістрів декодерах в нульовий стан. Для передачі субфрейма "SIGNAL" використовується BPSK-модуляція з темпом 1/2.

Мал.12. Структура заголовка кадру.

Табл.5. Значення перших чотирьох біт заголовка кадру.


Після субфрейма "SIGNAL" починається передача субфрейма даних (див. Мал.10). З Мал.9 видно, що для передачі даних в системі використовуються 48 частотних підканалів (піднесучих). Решта 4 підканала, звані пілотними піднесучемі використовуються насамперед для синхронізації і підстроювання фази в процесі передачі інформації. Пілотні поднесучі розподілені в часі і в частотному спектрі OFDM-сигналу, їх амплітуди і фази відомі в точці прийому, тому їх можна використовувати також для отримання відомостей про характеристики каналу передачі. Субфрейм даних, у свою чергу, складається з чотирьох полів (див. Мал. (9.)): SERVICE, PSDU, TAIL, Pad Bits. Всі біти цього субфрейма піддаються операції шифрування (scrambling) шляхом їх перестановки. Поле SERVICE складається з 16 біт. Перших 7 біт - це нульові біти, які використовуються для синхронізації дешіфровщіка (дескремблера) на приймальному кінці лінії з шіфровщікі (скремблером) на передавальному кінці лінії. Решта бітів (Також нульові) зарезервовані на майбутнє. Поле PSDU (інформаційне поле) містить безпосередньо передаючі дані. Його тривалість є змінною і може досягати 3 мсек. Наступне поле TAIL складається з 6 нульових біт, необхідних для приведення регістрів декодера в нульовий стан. Поле Pad Bits складається з доданих біт, число яких вибирається з умови, щоб довжина поля PSDU була кратна числу кодованих біт в OFDM-символів (N CBPS). Щоб забезпечити виконання такої вимоги довжина повідомлення повинна бути збільшена, щоб бути кратною числу біт переданих даних на OFDM символ (N DBPS). Для цього використовуються спеціальні додаткові нульові біти (так звані "набивкові" біти), об'єднані в поле PAD. Число біт в поля PAD можна розрахувати за формулами


де функція ceiling (x) повертає найближче ціле значення, яка дорівнює або перевищує x, LENGTH - довжина поля PSDU.

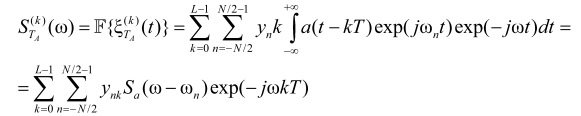
2.4 Математичний опис сигналів фрейму

Переданий OFDM-сигнал для довільного фрейма (пакета) фізичного рівня можна представити у вигляді


де Re {. } - реальна частина, fc - несуча частота, j - уявна одиниця, r (t) - вузькополосна комплексна обвідна.

Вузькополосна огинаюча складається з окремих OFDM-символів, що входять в склад фрейма, і може бути записана як:


де затримки t SIGNAL = 16 мкс і t DATA = 20 мкс показують, що передача субфрейма "SIGNAL" субфрейма "DATA" починається через 16 мкс і 20 мкс, відповідно, початку передачі кадру. Всі три субфрейма ("PREAMBLE", "SIGNAL" і "DATA") формуються з поміццю зворотного перетворення Фур'є від набору відповідних коефіцієнтів C k (будуть визначені нижче) і можуть бути представлені у вигляді


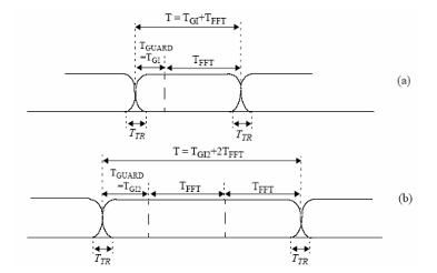
У цій формулі Δ F позначає розніс сусідніх піднесуть, а N ST - повне число піднесучих. Результуючий сигнал має період рівний T FFT = 1/Δ F. Тимчасова затримка T GUARD створює захисний інтервал, що використовується для придушення межсимвольной інтерференції, обумовленої дисперсією в просторовому каналі зв'язку. Тривалість захисного інтервалу для довгої тренирующей послідовності дорівнює 1.6 мкс (2 × T GI), а для даних - 0.8 мкс (T GI). В (3.15) - функція "вікна", що описує форму відповідного сигналу тривалості T. Ця тривалість може бути рівною одному або декільком періодам перетворення Фур'є (T w SUBFRAME T - FFT, що пояснюється Мал.13.)

Мал.13. Ілюстрація OFDM-фрейма із захисним інтервалом і функція "вікна" дляодного (a) і двох (b) періодів перетворення Фур'є.

Математичне представлення функції "вікна" має вигляд


Відповідний результуючий сигнал має період рівний 1/ (4Δ F). Розріджені частоти є ортогональними на меншому часовому інтервалі 0.8 мкс, а не на повному інтервалі 4.0 мкс. Амплітуди сигналів на піднесучих можна записати у вигляді 53-мірного вектора S (включаючи нульову амплітуду на нульовій частоті) з компонентами у вигляді


де

(13/6) 0.5 - нормуючий множник.

Тоді відповідний сигнал можна записати як


де w T-SHORT (t) - функція обвідної відповідного імпульсу.

Для передачі довгих тренирующих OFDM-символів використовуються всі 52 піднесучі частоти. Амплітуди на піднесучих можна записати у вигляді 53-мірного вектора L (включаючи нульову амплітуду на нульовій частоті) з компонентами у вигляді:


Тоді відповідний довгий навчальний OFDM-сигнал має вигляд:


де  - функція обвідної імпульсу,

В результаті маємо, що огинає сигналу преамбули дорівнює


де затримка показують, що передача довгих тренирующих OFDM-символів починається через 8 мкс, після початку передачі кадру. Спосіб застосування зворотного Фур'є-перетворення наступний. Використовується 64-точкове швидке Фур'є-перетворення, а число використовуваних в стандарті піднесучих одно 52. Тому 52 коефіцієнта C k доповнюються до 64 за допомогою 12 нульових коефіцієнтів.

2.5 Формування фрейму фізичного рівня стандарту IEEE 802.11a


Процедура формування фрейму. Шифрування / дешифрування даних:

·        Сверточне кодування і перфорування (punchuring). Перемеженіє даних (interleaving іdeinterleaving).

·        Модуляція даних.

·        Формування OFDM-символу.

·        Використовування діапазона частот (channelization).

·        Рівні потужності передавача.

·        Спектр випромінюваногосигналу (спектральна маска).

·        Допустимі помилки в амплітуді при модуляції.

·        Неоюхідна ймовірність фреймових (пакетних) помилок і необхідна чутливістьприймача.

Процедура формування фрейму.

Відповідно до стандарту IEEE 802.11а процес формування фрейму представляє собою послідовність кроків, короткий опис яких наведено нижче:

·        створення преамбули, що складається з 10 повторень короткої тренувальної послідовності і 2 повторень довгої тренувальної послідовності, представлена захисним інтервалом (GI);

·        створення заголовка кадру з полів RATE, LENGTH і SERVICE і заповнення відповідних полів. Кодування поля SIGNAL в OFDM символ також мае на увазі виконання наступних кроків: сверточне кодування, процедура перемежування (interleaving), BPSK модуляція, додавання пілотних сигналів, виконання зворотного перетворення Фур'є, додавання захисного інтервалу для передачі данних з темпом 6 Мбіт / с. Вміст поля SIGNAL нескремблируется;

·        на основі даних поля RATE здійснюється обчислення числа біт даних на OFDM символ, числа кодованих біт на піднесучу, числа кодованих біт на OFDM символ;

·        побудова поля DATA;

·        ініціалізація шифратора (scrambler) псевдослучайной послідовностю, генерація послідовності шифру і виконання шифровки бітів поляDATA;

·        заміна 6 зашифрованих бітів поля TAIL шістьма нульовими бітами.

·        кодування поля DATA сверточним кодером з темпом 1/2.

·        Виконання процедури виколювання (пунктуації) для досягнення бажаного темпу кодування (по даними поля RATE заголовка фрейму);

·        закодована послідовність бітів розбивається на групи за N CBPS

біт. Усередині кожної групи виконується процедура перестановки (interleaving) у відповідності з обраним темпом кодування;

·        отримана бітова послідовність розбивається на групи по N BPSС біт. Кожна група перетворюється в послідовність комплексних чисел згідно з таблицями модуляції;

·        послідовність комплексних чисел розбивається на групи по 48 чисел (По числу піднесучих, використовуваних для передачі даних). Кожна група асоціюється з одним OFDM символом. У кожній групі комплексні числа нумеруються від 0до 47 і передаються на піднесучі з наступними номерами: з - 26 до - 22, з - 20 до - 8, з-6 До - 1, з 1 до 6, з 8 до 20, з 22 до 26. Піднесучими з номерами - 27, - 7, 7, 21 пропускаються для додавання пілотних сигналів. Піднесуча з номером 0 "асоціюється з центральною частотою і заповнюється нульовим значенням;

·        здійснюється додавання пілотних сигналів на піднесучих з номерами 21, - 7, 7 і 21. Загальне число використовуваних піднесучих таким чином складе 52;

·        для кожного OFDM символу (група з 52 піднесучих з номерами від - 26 до+26, Включаючи центральну частоту) здійснюється перетворення в тимчасову область і формування захисного інтервалу;

·        формування послідовності з OFDM символів, отриманих на основі поля DATA;

·        переклад послідовності в радіочастотний діапазон відповідно до центральною частотою і передача даних приймача.

2.6 Допустимі помилки в амплітуді при модуляції


Відносні среднеквадратические помилки, усереднені по всіх частотах, не повинні перевищувати таких величин: - 5, - 8, - 10, - 13, - 16, - 19, - 22 і - 25 дБ для швидкостей передачі даних 6, 9, 12, 18, 24, 36, 48 і 54 Мбіт / сек, відповідно.

Необхідна ймовірність фреймових (пакетних) помилок і необхідна чутливість приймача. Імовірність фреймових (пакетних) помилок (packet error rate - PER) не повинна перевищувати 10% при довжині пакета 1000 біт і при рівні сигналу на вході антени - 82, - 81, - 79, - 77, - 74, - 70, - 66 і - 65 дБ щодо мВт, для швидкостей передачі даних 6, 9, 12,18, 24, 36, 48 і 54 Мбіт / сек, відповідно. Приймач повинен забезпечити максимальну ймовірність пакетних помилок не більше 10% при довжині пакета 1000 біт і при максимальній величині сигналу на вході антени - 30 дБ щодо мВт для всіх швидкостей передачі даних.

Висновки до розділу


Імітаційна модель показує загальний низхідний канал IEEE 802.11a WLAN фізичного рівня (PHY), специфікації, що розроблена 3GPP. IEEE 802.11a WLAN є однією з технологій четвертого покоління (4G) систем зв'язку, затверджених Міжнародним союзом електрозв'язку (МСЕ), з очікуваними швидкостями передачі даних по низхідній лінії понад 1 Гбіт/с (для Release10 і далі). Використовуючи специфікації Release10, цей приклад підкреслює багатоантенну схему передачі, яка дозволяє такі високі швидкості передачі даних.

Ключові компоненти виділені в прикладі включають:

.        Генерацію корисного навантаження змінного розміру.

2.      CRC вставки до блоку Transport.

.        Кодово-блочна сегментація з кодово-блочною вставкою CRC.

.        Канальне (турбо) кодування.

.        Узгодження швидкості з вибором біт.

.        Скремблювання на рівні бітів

.        Модуляції даних (QPSK, 16QAM або 64QAM).

.        Відображення рівня для двох і чотирьох антен.

.        Попереднє кодування на основі книги кодування.

.        Відображення ресурс-елемента.

.        Генерація OFDM-символів.

Параметри, що впливають на завадостійкість радіотрактів в даній моделі наступні:

.        Ширина смуги пропускання каналу.

2.      Кількість OFDM-символів на 1 субфрейм.

.        Конфігурація антен.

.        Тип модуляції.

.        Модель каналу завмирань.

.        Відношення сигнал/шум.

Розділ 3. Оцінка завадостійкості


3.1 Параметри що оцінюються


Основним параметром для оцінки завадостійкості радіотракту є частота бітових помилок (PER) при відповідних значеннях середнього відношення сигнал шум (SNR).

Відповідні вхідні значення параметрів моделювання що впливають на завадостійкість:

.        Ширина смуги пропускання каналу: 10МГц.

2.      Кількість OFDM-символів на 1 субфрейм: 2

.        Тип модуляції: QPSK.

.        Відношення сигнал/шум: від 0,1 до 3 дБ.

.        Час моделювання: T = 1

3.2 Планування експерименту


Для початку роботи над оцінкою завадостійкості радіотракту потрібне відповідне програмне забезпечення, одним з перспективніших є середовище моделювання MATLAB з пакетом Simulink.

Дане ПЗ дозволяє реалізувати моделі як програмно (написанням програми роботи моделі за допомогою відповідної мови програмування) так і імітаційно (використовуючи пакет Simulink з готовими функціональними блоками).

Першим етапом є запуск даного ПЗ та знаходження в базі моделі що буде використовуватись.

За замовчування застосунок програмного забезпечення знаходиться на системному диску персонального комп’ютера користувача за наступною адресою: "C: \Program Files\MATLAB\R2014a\bin\matlab. exe".

радіотракт багаточастотний сигнал завадостійкість

Після завантаження ПЗ потрібно запустити модель: "C: \ProgramFiles\MATLAB\R2014a\toolbox\comm\commdemos\ сommwlan80211a. mdl".

Наступним кроком є вибір параметрів моделювання в блоці параметрів моделі (Model Parameters). Обираємо попередньо визначені вхідні данні. Основним змінним параметром є відношення сигнал\шум з кроком в 0,1 дБ (від 0,1 до 3 дБ). Кількість експериментів прямо пропорційна кількості врахованих моделей каналів завад. Вихідні дані представленні в таблицях і графіках приведених нижче.

Табл.3.2

Залежність частоти бітових помилок (PER) від відношення сигнал\шум (SNR)

SNR

PER

0

84

0,1

74

0,2

68

0,3

62

0,4

60

0,5

54

0,6

50

0,7

42

0,8

38

0,9

34

1

28

2

4

3

0

Мал.3.1 Залежність частоти бітової помилки від середнього відношення сигнал\шум

На графіках показана зележність кількості помилок від залежності сигнал/шум. З цьго графіку ми можемо зробити висновки що чим менша заллежність сигнал/шум, тим більша кількість помилок.

Висновки до розділу


Узагальнюючи результати досліджень бачимо, що при збільшенні середнього відношення сигнал\шум частоти бітових помилок зменшується.

Дані результати повною мірою відповідають теоретично визначеним за допомогою відомих аналітичних методик. На графіку нижче вказані теоретично доведені залежності частоти помилок від середнього відношення сигнал шум.


Розділ 4. Охорона праці


4.1 Вимоги до виробничих приміщень для експлуатації ВДТ ЕОМ та ПЕОМ


Для аналізу умов праці за основне робоче місце працівника ми приймаємо робоче місце користувача ПЕОМ, для якого і здійснюємо розрахунки.

Дані вимоги регламентуються Державними санітарними нормами і правилами роботи з візуальними дисплейними терміналами електронно - обчислювальних машин ДСанПіН 3.3.2.007-98 [7]:

.        Об'ємно-планувальні рішення будівель та приміщень для роботи з ВДТ ЕОМ і ПЕОМ мають відповідати вимогам цих Правил.

2.      Розміщення робочих місць з ВДТ ЕОМ і ПЕОМ у підвальних приміщеннях, на цокольних поверхах заборонено.

.        Площа на одне робоче місце має становити не менше ніж 6,0 кв. м, а об'єм не менше ніж 20,0 куб. м.

.        Приміщення для роботи з ВДТ повинні мати природне та штучне освітлення відповідно до СНиП ІІ-4-79.

.        Природне освітлення має здійснюватись через світлові прорізи, орієнтовані переважно на північ чи північний схід і забезпечувати коефіцієнт природної освітленості (КПО) не нижче ніж 1,5 %. Розраховується КПО за методикою, викладеною в СНиП ІІ-4-79.

.        Виробничі приміщення для роботи з ВДТ (операторські, диспетчерські) не повинні межувати з приміщеннями, в яких рівні шуму і вібрації перевищують допустимі значення (виробничі цехи, майстерні тощо) за СН 3223-85, СН 3044-84, ЕР 2411-81, ТОСТ 12.1.003-83.

.        Звукоізоляція огороджувальних конструкцій приміщень з ВДТ має забезпечувати параметри шуму, що відповідають вимогам СН 3223-85, ТОСТ 12.1.003-83, ТОСТ 12.1.012-90.

.        Приміщення для роботи з ВДТ мають бути обладнані системами опалення, кондиціонування повітря, або припливно - витяжною вентиляцією відповідно до СНиП 2.04.05-91. Нормовані параметри мікроклімату, іонного складу повітря, вмісту шкідливих речовин мають відповідати вимогам СН 4088-86, СН 2152-80, ГОСТ 12.1.005-88, ГОСТ 12.1.007-76.

.        Віконні прорізи приміщень для роботи з ВДТ мають бути обладнані регульованими пристроями (жалюзі, завіски, зовнішні козирки).

.        Для внутрішнього оздоблення приміщень з ВДТ слід використовувати дифузно-відбивні матеріали з коефіцієнтами відбиття для стелі 0,7 - 0,8, для стін 0,5 - 0,6.

.        Покриття підлоги повинне бути матовим з коефіцієнтом відбиття 0,3 - 0,5. Поверхня підлоги має бути рівною, неслизькою, з антистатичними властивостями.

.        Забороняється для оздоблення інтер'єру приміщень ВДТ застосовувати полімерні матеріали (деревинно-стружкові плити, шпалери, що миються, рулонні синтетичні матеріали, шаруватий паперовий пластик тощо), що виділяють у повітря шкідливі хімічні речовини.

.        Полімерні матеріали для внутрішнього оздоблення приміщень з ВДТ можуть бути використані при наявності дозволу органів та установ державної санітарно-епідеміологічної служби.

.        Виробничі приміщення можуть обладнуватись шафами для зберігання документів, магнітних дисків, полицями, стелажами, тумбами тощо з урахуванням вимог до площі приміщень.

.        У приміщеннях з ВДТ слід щоденно робити вологе прибирання.

.        Приміщення з ВДТ мають бути оснащені аптечками першої медичної допомоги.

.        При приміщеннях з ВДТ мають бути обладнані побутові приміщення для відпочинку під час роботи, кімната психологічного розвантаження. В кімнаті психологічного розвантаження слід передбачити встановлення пристроїв для приготування й роздачі тонізуючих напоїв, а також місця для занять фізичною культурою (СНиП 2.09.04. - 87).

.        Вимоги для допоміжних приміщень повинні відповідати СНиП 2.09.04-87.

4.2 Гігієнічні вимоги до параметрів виробничого середовища приміщень з ВДТ ЕОМ та ПЕОМ

Вимоги до освітлення. Приміщення зі стаціонарним обладнанням повинно мати природне і штучне освітлення відповідно до ДБН В.2.5-28-2006 "Природне і штучне освітлення". [1].

Природне світло повинно проникати через бічні світлопрорізи, зорієнтовані, як правило, на північ чи північний схід, і забезпечувати коефіцієнт природної освітленості (КПО) не нижче 1,5%. Розрахунки КПО проводяться відповідно до ДБН В.2.5-28-2006.

Вікна приміщень з відеотерміналами повинні мати регулювальні пристрої для відкривання, а також жалюзі, штори, зовнішні козирки тощо.

Зазначення освітлення освітленості на поверхні робочого столу в зоні розміщення документів має становити 300 - 500 лк. Якщо ці значення освітленості неможливо забезпечити системою загального освітлення, допускається використовувати місцеве освітлення. При цьому світильники місцевого освітлення слід встановлювати таким чином, щоб не створювати бліків на поверхні екрана, а освітленість екрана має не перевищувати 300 лк.

Як джерела світла в разі штучного освітлення мають застосовуватись переважно люмінісцентні лампи типу ЛБ. У разі влаштування відбитого освітлення у виробничих та адміністративно-громадських приміщеннях допускається застосування металогалогенних ламп потужністю 250 Вт. Допускається застосування ламп розжарювання у світильниках місцевого освітлення.

Система загального освітлення має становити суцільні або преривчасті лінії світильників, розташовані збоку від робочих місць (переважно ліворуч), паралельно лінії зору працюючих. Допускається використання світильників таких класів світорозподілу:

.        прямого світла - П;

2.      переважно прямого світла - Н;

.        переважно відбитого світла - В.

Вимоги до шуму і вібрації. У приміщеннях з обладнанням системи квантової криптографії рівні звукового тиску, рівні звуку та еквівалентні рівні звуку на робочих місцях повинні відповідати вимогам ДСН 3.3.6.037-99 "Санітарні норми виробничого шуму, ультразвуку та інфразвуку" затверджених Міністерством охорони здоров'я України. Рівні шуму на робочих місцях осіб, що працюють з відеотерміналами та ЕОМ, визначені НПАОП 0.00-1.31-99 "Правила охорони праці під час експлуатації електронно-обчислювальних машин" [3].

Для забезпечення нормованих рівнів шуму у виробничих приміщеннях та на робочих місцях застосовуються шумопоглинальні засоби, вибір яких обґрунтовується спеціальними інженерно-акустичними розрахунками.

Як засоби шумопоглинання повинні застосовуватися негорючі або важкогорючі спеціальні перфоровані плити, панелі, мінеральна вата з максимальним коефіцієнтом звукопоглинання в межах частот 31,5-8000 Гц, або інші матеріали аналогічного призначення, дозволені для оздоблення приміщень органами державного санітарно-епідеміологічного нагляду. Крім того, необхідно застосовувати підвісні стелі з аналогічними властивостями. [2].

Рівні вібрації підчас виконання робіт у виробничих приміщеннях не повинні перевищувати допустимих значень, визначених в СН 3044-84 "Санитарные нормы вибрации рабочих мест", затверджених Міністерством охорони здоров'я СРСР, та ДСанПіН 3.3.2-007-98.

Вимоги до вентиляції, опалення та кондиціювання, мікроклімату. Приміщення повинні бути обладнані системами опалення, кондиціювання повітря або припливно-витяжною вентиляцією відповідно до ДСТУ 2388-94 "Системи вентиляції. Терміни та визначення" та ДСТУ EN 1886: 2005 "Системи вентиляції та кондиціонування повітря". Параметри мікроклімату, іонного складу повітря, вміст шкідливих речовин на робочих місцях, оснащених відеотерміналами, повинні відповідати вимогам ДСН 3.3.6.042-99 "Санітарні норми мікроклімату виробничих приміщень" [4].

Для підтримки допустимих значень мікроклімату та концентрації позитивних та негативних іонів необхідно передбачати установки або прилади зволоження та/або штучної іонізації, кондиціювання повітря.

Рівні інфрачервоного випромінювання не повинні перевищувати граничних відповідно до ТОСТ 12.1.005 та СН № 4088-86 з урахуванням площі тіла, яка опромінюється, та ДСанПіН 3.3.2-007-98.

Відповідно до ГОСТ 12.1.005-88 вміст озону в повітрі робочої зони не повинен перевищувати 0,1мг/м3; вміст оксидів азоту - 5мг/м3; вміст пилу - 4мг/м3.

Гігієнічні вимоги до організації робочого місця користувача з ВДТ ЕОМ і ПЕОМ. Організація робочого місця користувача обладнання системи повинна забезпечувати відповідність усіх елементів робочого місця та їх розташування ергономічним ДСТУ ISO 9241-5: 2004 "Ергономічні вимоги до роботи з відео терміналами" та НПАОП 0.00-1.28-10 "ОП при експлуатації ЕОМ"; характеру та особливостям трудової діяльності. [3]

Площа, виділена для одного робочого місця повинна складати не менше 6м2, а обсяг - не менше 25м3.

Робочі місця з обладнання системи квантової криптографії відносно світлових прорізів повинні розмішуватися так, щоб природне світло падало збоку, переважно зліва. При розміщенні робочих місць з обладнання системи квантової криптографії необхідно дотримуватись таких вимог:

.        робочі місця розміщуються на відстані не менше 1 м від стін зі світловими прорізами;

2.      відстань між бічними поверхнями відеотерміналів має бути не меншою за 1,2м;

.        відстань між тильною поверхнею одного відеотермінала та екраном іншого не повинна бути меншою 2,5м;

.        прохід між рядами робочих місць має бути не меншим їм. Вимоги цього пункту щодо відстані між бічними поверхнями відеотерміналів та відстані між тильною поверхнею одного відеотермінала та екраном іншого враховуються також при розміщенні робочих місць з обладнанням в суміжних приміщеннях, з урахуванням конструктивних особливостей стін та перегородок.

Організація робочого місця повинна забезпечувати відповідність усіх елементів робочого місця та їх розташування ергономічним вимогам відповідно до ГОСТ 12.2.032-78 "ССБТ. Рабочее место при выполнении работ сидя. Общие эргономические требования", з урахуванням характеру та особливостей трудової діяльності.

Конструкція робочого місця користувача відеотермінала (при роботі сидячи) має забезпечувати підтримання оптимальної робочої пози з такими ергономічними характеристиками: ступні ніг - на підлозі або на підставці для ніг; стегна - в горизонтальній площині; передпліччя - вертикально; лікті - під кутом 70-90 градусів до вертикальної площини; зап'ястя - зігнуті під кутом не більше 20 градусів відносно горизонтальної площини; нахил голови - 15-20 градусів відносно вертикальної площини.

Висота робочої поверхні столу для обладнання має бути в межах 680 - 800мм, а ширина - забезпечувати можливість виконання операцій в зоні досяжності моторного поля. Рекомендовані розміри столу: висота - 725мм, ширина - 600-1400мм, глибина - 800-1000мм.

Робочий стіл для відеотермінала повинен мати простір для ніг висотою не менше 600 мм, шириною не менше 500мм, глибиною на рівні колін не менше 450мм, на рівні витягнутої ноги - не менше 650мм. Він, як правило, має бути обладнаним підставкою для ніг шириною не менше 300мм та глибиною не менше 400мм, з можливістю регулювання по висоті в межах 150мм та кута нахилу опорної поверхні - в межах 200мм. Підставка повинна мати рифлену поверхню та бортик на передньому краї заввишки 10мм. [3].

Застосування підставки для ніг тими, у кого ноги не дістають до підлоги, коли робоче сидіння знаходиться на висоті, потрібній для забезпечення оптимальної робочої пози є обов'язковим.

Робоче сидіння (сидіння, стілець, крісло) користувача відеотермінала та персональної ЕОМ повинно мати такі основні елементи: сидіння, спинку та стаціонарні або знімні підлокітники. У конструкцію сидіння можуть бути введені додаткові елементи, що не є обов'язковими: підголовник та підставка для ніг.

Робоче сидіння користувача відеотермінала та персональної ЕОМ повинно бути підйомно-поворотним, таким, що регулюється за висотою, кутом нахилу сидіння та спинки, за відстанню спинки до переднього краю сидіння, висотою підлокітників. Регулювання кожного параметра має бути незалежним, плавним або ступінчатим, мати надійну фіксацію. Хід ступінчатого регулювання елементів сидіння має становити для лінійних розмірів 15-20мм, для кутових - 2-5 градуси.

Ширина та глибина сидіння повинні бути не меншими за 400мм. Висота поверхні сидіння має регулюватися в межах 400-500мм, а кут нахилу поверхні - від 15 градусів вперед і до 5 градусів назад.

Поверхня сидіння має бути плоскою, передній край - заокругленим. Висота спинки сидіння має становити 300 ± 20мм, ширина - не менше 380мм, радіус кривизни в горизонтальній площині - 400мм. Кут нахилу спинки повинен регулюватися в межах 0-30 градусів відносно вертикального положення. Відстань від спинки до переднього краю сидіння повинна регулюватись у межах 260-400мм.

Для зниження статичного напруження м'язів рук необхідно застосовувати стаціонарні або знімні підлокітники довжиною не менше 250мм, шириною - 50 - 70 мм, що регулюються по висоті над сидінням у межах 230 ± 30мм та по відстані між підлокітниками в межах 350-500мм.

Поверхня сидіння, спинки та підлокітників має бути напівм'якою, з неслизьким, ненаелектризовуючим, повітронепроникним покриттям та забезпечувати можливість чищення від бруду.

Екран відеотермінала та клавіатура мають розташовуватися на оптимальній відстані від очей користувача, але не ближче 600мм, з урахуванням розміру алфавітно-цифрових знаків та символів. Відстань від екрана до ока працівника повинна складати: при розмірі екрана по діагоналі З5/38см (14715") - .600-700мм; 43см (17"). - .700-800мм; 48см (19") - .800-900мм; 53см (21 "). - .900-1000мм

Розташування екрана відеотермінала має забезпечувати зручність зорового спостереження у вертикальній площині під кутом ±30 градусів від лінії зору працівника.

Клавіатуру слід розміщувати на поверхні столу або на спеціальній, регульованій за висотою, робочій поверхні окремо від столу на відстані 100-300 мм від краю, ближчого до працівника. Кут нахилу клавіатури має бути в межах 5-15 градусів. Робоче місце з відеотерміналом слід оснащувати пюпітром (тримачем) для документів, що легко переміщується.

Пюпітр (тримач) для документів повинен бути рухомим та встановлюватись вертикально (або з нахилом) на тому ж рівні та відстані від очей користувача.

Розміщення принтера або іншого пристрою введення-виведення інформації на робочому місці має забезпечувати добру видимість екрана відеотермінала, зручність ручного керування пристроєм введення-виведення інформації в зоні досяжності моторного поля: по висоті 900-1300мм, по глибині 400-500мм. Під матричні принтери потрібно підкладати вібраційні килимки для гасіння вібрації та шуму.

Організація робочого місця, яке передбачає для управління технологічним обладнанням (станки з програмним управлінням, роботизовані технологічні комплекси, обладнання для гнучкого автоматизованого виробництва тощо), повинна передбачати:

2.      вільну досяжність органів ручного управління в зоні моторного поля: відстань по висоті - 900-1330мм, по глибині - 400-500мм:

.        розташування екрана відеотермінала в робочій зоні, яке забезпечувало б зручність зорового спостереження у вертикальній площині під кутом ± ЗО градусів від лінії зору оператора, а також зручність використання відеотермінала під час коригування керуючих програм одночасно з виконанням основних виробничих операцій;

.        відстань від екрана до ока працівника повинна відповідати вимогам вищевказаних пунктів;

.        можливість повертання екрана відеотермінала навколо горизонтальної та вертикальної осі.

Вимоги до профілактичних медичних оглядів. Працюючі з ВДТ ЕОМ і ПЕОМ підлягають обов'язковим медичним оглядам: попереднім - при влаштуванні на роботу і періодичним - протягом трудової діяльності відповідно до наказу МОЗ України № 45 від 31.03.94 р.

Періодичні медичні огляди мають проводитися раз на два роки комісією в складі терапевта, невропатолога та офтальмолога.

До складу комісії, що проводить попередні та періодичні медичні огляди, при необхідності (за наявністю медичних показань) можуть залучатись до оглядів лікарів інших спеціальностей.

Основними критеріями оцінки придатності до роботи з ВДТ ЕОМ і ПЕОМ мають бути показники стану органів зору: гострота зору, показники рефракції, акомодації, стану бінокулярного апарату ока тощо. При цьому необхідно враховувати також стан організму в цілому.

Жінки, що працюють в ВДТ ЕОМ та ПЕОМ, обов'язково оглядаються лікарем акушером-гінекологом один раз на два роки.

Жінки з часу встановлення вагітності та в період годування дитини грудьми до виконання всіх робіт, пов'язаних з використанням ВДТ ЕОМ та ПЕОМ, не допускаються.

Протипоказання з боку органів зору:

.        гострота зору з корекцією не нижча ніж 0,5 на одному оці і 0,2 - на другому;

2.      рефракція: міопія вище 6,0 Д, гіперметропія вище 4,0 Д, астигматизм (будь-якого виду) вище 3,0 Д;

.        відсутності бінокулярного зору;

.        лагофтальм;

.        хронічні захворювання переднього відрізку очей;

.        захворювання зорового нерва і сітки;

.        глаукома.

Загальні (соматичні) протипоказання:

.        вроджені аномалії органів з вираженою недостатністю їхніх функцій;

2.      органічні захворювання центральної нервової системи з вираженими порушеннями функцій;

.        хронічні форми психічних захворювань і психогенні стани, при яких хворі підлягають обов'язковому динамічному нагляду у психоневрологічних диспансерах, епілепсія з пароксизмальними порушеннями. У разі виражених форм пограничних психічних захворювань питання про придатність до відповідних робіт вирішуються комісією психоневрологічної установи індивідуально;

.        ендокринні захворювання з вираженими порушеннями функцій ендокринних залоз;

.        злоякісні пухлини (після лікування питання про придатність до роботи може вирішуватись індивідуально за умови, якщо немає абсолютних протипоказань);

.        всі захворювання систем крові та органів кровотворення будь-яких

.        стадій;

.        гіпертонічна хвороба III стадії;

.        хронічні захворювання легенів з вираженою недостатністю серця і легенів;

.        тяжкий ступінь бронхіальної астми з вираженими функціональними порушеннями дихання і кровообігу;

.        активні форми туберкульозу будь-якої локалізації;

.        виразкова хвороба шлунку і дванадцятипалої кишки з хронічним рецидивуючим перебігом;

.        цироз печінки і активний хронічний гепатит;

.        хронічна форма хвороб нервової системи;

.        хронічні захворювання нирок з проявами ниркової недостатності;

.        вертебро-неврологічні захворювання (радикулярні синдроми шийного та попереково-крижового рівня);

.        колагенози;

.        вагітність і період лактації;

.        звичайні викидні аномалії плода в анамнезі жінок, які планують народження дітей;

.        порушення менструальної функції, що супроводжується матковими кровотечами.

При виявленні хронічних неспецифічних захворювань (гіпертонічна хвороба, виразкова хвороба шлунку та 12-палої кишки, хронічні захворювання бронхолегеневої, гепатобіліарної системи та ін.) працюючі з ВДТ ЕОМ та ПЕОМ повинні бути взяті на диспансерний облік з метою здійснення систематичного лікарського обстеження та лікування.

4.3 Розробка заходів з забезпечення пожежної безпеки


До приміщень у відношенні пожежної безпеки пред'являються наступні вимоги. Приміщення чергування технічного персоналу забезпечується протипожежним інвентарем та засобами пожежогасіння (вуглекислотними вогнегасниками типу ВВ-2). Проходи між рядами і вихід не повинні загромаджуватись.

Один вуглекислотний вогнегасник ВВ-2 розрахований на 40-5Ом2 приміщення. Для ліквідації невеликих пожеж можна використовувати деякі порошкові матеріали (хлориди лужних металів, соду, пісок і т.д.), що подаються в зону горіння порошковими вогнегасниками. [5].

Будівля повинна обов'язково мати резервний вихід на випадок екстреної евакуації працівників і неможливості використання основного виходу. За вибухопожежною і пожежною небезпекою приміщення і будівлі згідно НАПБ Б.03.002-2007, ДБН В.1.1.7-2002 "Пожежна безпека об'єктів будівництва" діляться на категорії.

Для приміщення де відбувається моя робота встановлена категорія пожежної небезпеки Д (СНІП 2.09.02-85), що означає наявність у приміщенні негорючих речовин та матеріалів у холодному стані, при ступені вогнестійкості II (СНІП П-90-81), що означає приміщення з несучими та огороджувальними конструкціями з природних матеріалів або штучного каменю, бетону або залізобетону з застосуванням листових і плиткових негорючих матеріалів. [5].

Для швидкого сповіщення пожежної охорони при виникненні пожежі в приміщенні використовується електрична пожежна сигналізація. Дана система сигналізації дозволяє виявляти пожежу на її початковій стадії і сповіщає про неї та місце її виникнення, а також автоматично включає стаціонарні установки пожежогасіння пожеж.

Для приміщення де буде здійснюватися робота я пропоную застосувати комбіновану пожежну сигналізацію яка буде складатися як з теплової (реагує на значне підвищення температури в приміщенні), так і димової (реагує на появу диму). У якості засобів пожежогасіння я пропоную використати теж комбіновані засоби, що складаються з стаціонарних та переносних засобів. Вибране приміщення потрібно підключити до дренчерної системи будівлі, а біля виходу на стіні закріпити порошковий вогнегасник (ВП-5).

Отже як ми бачимо правильне застосування засобів пожежної сигналізації та пожежогасіння дозволить попередити і усунути пожежу в приміщенні де здійснюється робота.

4.4 Розрахунок штучного освітлення приміщення

Відповідно до аналізу умов праці та специфіки роботи обладнанням головним напрямком охорони праці при роботі з комп'ютером є забезпечення безпечних та комфортних умов праці та відпочинку органів зору робітника. Вплив на очі здійснюється через недостатню яскравість відеодисплейного пристрою, бліки на екрані, малу частоту розгортки, а також недостатню освітленість на робочому місці. При цьому останній фактор має найбільш суттєвий вплив на органи зору, а тому правильне облаштування освітлення веде не лише до зменшення втоми очей працюючого, але й до підвищення ефективності умов праці. Особливо важливе біологічне і гігієнічне значення для людини має природне освітлення, тому при проектуванні виробничих приміщень важливо передбачити наявність штучного освітлення поверхні. [3].

Мінімальне освітлення приміщення, в якому виконується зорові роботи третього розряду становить E=300лм. Висота приміщень H=4м, довжина a=4м, ширина b=4м. Приміщення має світлу побілку коефіцієнт відбиття стелі pстелі=70%, pстін =50%. Висота робочої поверхні /гроб=0,7м.

Як світлові пристрої приймемо світильник типу ЛПО01 (з двома лампами ЛБ-40), які доцільно використовувати.

Висота світильників над підлогою майже рівна висоті приміщення h0=4м, а над робочою поверхнею:


Показник приміщення i становить:


При i=0,6, pстелі=70%, pстін=50% для світильників ЛПО01 коефіцієнт використання η=0,31 [17].

Необхідна кількість світильників, для забезпечення необхідної нормованої освітленості робочої поверхні можна визначити якщо врахувати, що в кожному світильнику потік одної такої лампи становить Фл=3200лм.


де S - площа приміщення, що освітлюється;

К3 - коефіцієнт запасу, що враховує зниження освітленості в результаті забруднення, старіння ламп;

Z - коефіцієнт нерівномірності освітлення (Z=1,1 - для люмінесцентних ламп).

Отже, для забезпечення норм освітленості приміщення необхідно 4 світильника. Для забезпечення рівномірності освітлення розташовуємо їх в два ряди по 2 штуки.

Загальна довжина усіх світильників у ряді становить:


Це значення менше довжини приміщення, тому між світильниками будуть розриви 0,5м.

Сумарна електрична потужність усіх світильників у приміщенні 2Х=РЛ-#-"

Висновки до розділу


Кожен працівник на конкретному робочому місці у процесі своєї діяльності стикається з рядом факторів, які безпосередньо впливають як на його працездатність, так і на його здоров'я. Дана робота дозволить здійснити оцінку умов праці на даному робочому місці, провести аналіз шкідливих факторів, що виникають під час виконання своїх службових обов'язків та здійснити розрахунок безпечних умов праці для даного робочого місця.

Основною метою даного розділу є уникнення можливості виробничого травматизму, професійних отруєнь і захворювань, пожеж і вибухів, аварій, забруднення довкілля при роботі та використанні об'єкта проектування.

У даному розділі було проведено аналіз приміщень на предмет вивчення шкідливих факторів та розглянуто загальні вимоги, які дозволяють запобігати впливу шкідливих виробничих факторів на робочих місцях. Було здійснено аналіз стану приміщення де знаходиться робоче місце оператора системи квантової криптографії та проаналізовано, які фактори найбільше впливають на нього.

Також було розглянуто питання профілактики, медичних оглядів та заходів пожежної безпеки у приміщеннях.

На основі вище розглянутого було здійснено розрахунок потрібного штучного освітлення приміщення, де знаходиться робоче місце оператора.

Отже як ми бачимо питання охорони праці є першочерговим при виконанні службових, виробничих та будь-яких інших завдань пов'язаних з виконанням своїх службових обов'язків. А також будь-яка важливість і терміновість роботи не можуть слугувати підставою порушення правил охорони праці та техніки безпеки.

Висновок до роботи


Задачею даної роботи була розробка (адаптація) імітаційної моделі завадостійкості радіотракту в умовах багатопроменевого розповсюдження при низькому відношенні сигнал\шум. Невідємною складовою розробки являється аналіз структури OFDM-сигналу, аналіз функціональних схем прийомопередавачів застосовуваних в технології радіоінтерфейсів, вибір середовища моделювання, структурний аналіз моделі низхідного каналу технології IEEE 802.11a.

Важливим фактором є визначення параметрів моделювання каналу АБГШ з багатопроменевим розповсюдження, що являється еталоном серед простору імітаційного моделювання.

Результатами даної розробки є визначення характеристик завадостійкості досліджуваних радіотрактів, а саме границь співвідношення сигнал\шум, при якому має місце дія завад та ймовірності помилки при данній границі співвідношення. Дані результати представлені в наведених нижче таблицях.

Залежність частоти бітових помилок (PER) від відношення сигнал\шум (SNR)

SNR

PER

0

84

0,1

74

0,2

68

0,3

62

0,4

60

0,5

54

0,6

50

0,7

42

0,8

38

0,9

34

1

28

2

4

3

0

Мал. 3.1 Залежність частоти бітової помилки від середнього відношення сигнал\шум

Як видно з таблиці проведено ряд досліджень. В усіх випадках різниця частоти бітових помилок в двох кодових словах не перевищуе 1,5 рази, а ймовірність помилок не перевищуе значення 10-6, що у відповідності до теорії вказує на правильність проведення досліджень. Також очевидним є залежність частоти бітових помилок від відношення сигнал\шум, а саме спостерігається зменншення частоти помилок при збільшенні значень співвідношення.

Оскільки радіотехнологія WI-FI є перспективою для нашої держави на майбутні 10-15 років, то досить доцільним є продовження досліджень за данною тематикою тим паче при наявності великої забудованості наших міст та щільністю частотного ресурсу.

Список використаної літератури


1.      E. Dahlman, S. Parkvall, and J. Skold, "4G LTE/LTE-Advanced for Mobile Broadband", Elsevier, 2011.

2.      Кожин І.А., Мілих М.Л., Чумак О.І. Синтез оптимального сигналу за умов відносної інваріантності до адитивної завади // Сб. докладов VІ Междунар. науч. техн. конф. (Ч.1)"Современные проблемы телекоммуникаций". - Украина. - Одесса, 19-22 авг. 2003 г.

.        Беркман Л.Н., Чумак О.І., Щербина І.С. Рангові методи прийому багатопозиційних сигналів // Вісник УБЕНТЗ. - 2010. - № 3.

.        Стеклов В.К., Беркман Л.Н., Мілих М. М.,Рудик Л.В. Завадостійкість когерентного прийому багатопозиційних сигналів // Зв’язок. - 2004. - №3. - С.58-60.

.        Прокис, Дж. Цифровая связь [Текст] / Прокис Дж. - М.: Радио и связь, 2000. - 800 с.

.        Гепко, И.А. Современные беспроводные сети: состояние и перспективы развития [Текст] / И.А. Гепко, В.Ф. Олейник. - К.: "ЕКМО", 2009. - 672 с.

.        Ramirez-Mireles F. The benefits of DMT modulation for VDSL systems [Теxt] / F. Ramirez-Mireles, Q. Albrudi, S. Heidari, P. Sevalia. - Ikanos: Communications, 2012.

.        Слюсар В. Системи МІМО: принципы построение и обработки сигналов / В. Слюсар / Связь и Телекоммуникация. Электроника: Наука, Технология, Бизнес. - 2005. - № 8. - С.52-58.

.        Alamouti S. M. A simple transmit diversity Technique for wireless communications / S. M. Alamouti // IEEE J. Select. Areas Commun. 2008. - № 8. - Vol.16. - Р.1451 - 1458.

.        Bertrand M. Space-Time Codes for High data Rate Wireless Communication: Performance criterion and Code Construction / [M. Bertrand, Hochwald. Tarokh V., N. Seshadri, A. R. Caldenbank] // IEEE Transactions on Information Theory, 2008. - № 2. - Vol.44. - Р.744 - 765.

.        Baro S. Improved Codes for Space-Time Trellis-Modulation / S. Baro, G. Banch, A. Hansnann // IEEE Communications Letters. - 2009.

.        Banket V. On the Signal-to-Code Construction of Space-Time Codes / [V. Banket, B. Janoudi, N. Michailov, A. Al-Dakdouki] // Modern Telecommunication Problems: рroceedings of 6-th International Conference, август 2003. - О., 2003. - Т.1. - С.154-158.

.        Банкет В.Л. Характеристики сверточных кодов для систем с пространственно-временным кодированием / В.Л. Банкет, Б.А. Жануди, Н.А. Ищенко // Праці УНДІРТ, 2009 - № 4 (40). - С.73-78.

.        Скляр Б. Цифровая связь. Теоретические основы и практическое применение / Скляр Б.; пер. с англ. [2-е изд., испр.]. - М.: Вильямс, 2003. - 1104 с.

.        Жидецький В.Ц., Джигирей В. С, Мельников О.В. Основи охорони праці: Підручник. - 5-те вид., перероб і доп. - Л.: Афіша, 2011. - 350с.

.        Охорона праці в Україні. - К.: Юрінком Інтер, 2009. - 400с.

.        Кодекс цивільного захисту України - Прийняття від 02.10.2012.

.        НПАОП 0.00-1.28.10 "Правила з охорони праці під час експлуатації електронно-обчислювальних машин".

.        ДСанПіН 3.3.2.007-98.

.        http // uk. wikipedia.org/wiki/OFDM.

21.     <http://www.mathworks.com/help/comm/examples/ieee-802-11a-wlan-physical-layer.html>

.        http://ru. wikipedia.org/wiki/Wi-Fi <http://ru.wikipedia.org/wiki/Wi-Fi>

.        http://snavi.ru/AutoGRAF-WiFi. htm <http://snavi.ru/AutoGRAF-WiFi.htm>

.        http://www.wireless-e.ru/articles/wifi/2011_01_22. php <http://www.wireless-e.ru/articles/wifi/2011_01_22.php>

.        http://www.lib.ua-ru.net/diss/cont/378821.html